Features of the functioning of roadside parking space
- Authors: Boyarshinov M.G1, Shchukin Y.A.1,2
-
Affiliations:
- Perm National Research Polytechnic University
- Perm Directorate of Road Traffic
- Issue: No 6 (2024)
- Pages: 89-108
- Section: Transport
- URL: https://journal-vniispk.ru/2077-7175/article/view/278864
- DOI: https://doi.org/10.25198/2077-7175-2024-6-89
- ID: 278864
Cite item
Full Text
Abstract
The aim of the study is to investigate the natural quantitative characteristics of the functioning of a roadside (linear) parking area: the number of parking sessions, the occupancy of the parking space, the distribution of storage periods, the intensity of entry and exit of cars, the turnover of parking spaces, etc. The object of the study is the processes of functioning of a roadside parking lot located near an educational institution (school). The subject of the study is the features of the functioning of a parking space of this type. In contrast to well-known publications, the evolution of key indicators of roadside parking is considered, that is, their dependence on the time (quarter) of the year. Observations were carried out continuously for a week both in spring (April) and summer (July), autumn (October) and winter (February). The data for the study were obtained using the stationary measuring software and hardware complex «Azimuth DT», which monitors the movement of vehicles in the parking area continuously throughout the entire observation period. Digital processing of video recording data of cars entering and leaving the parking lot allowed us to establish that almost all the determined quantitative characteristics of the parking space are not constant and depend on the season, which must be taken into account when placing, planning and organizing the functioning of the parking area. It is noted that the specific generation of correspondence and the required number of parking spaces near the centers of mass gravity are sensitive to the characteristics of the urban area and, apparently, vary greatly across the regions of the country. The indicators obtained for urbanized areas of other countries are unique and are not applicable for practical use in Russia. It is advisable to extend the experience and methodology of studying the parking space to the study of the performance indicators of flat, including intercepting, and multi-level parking lots.
Keywords
Full Text
Введение
Федеральным законом1 «Об организации дорожного движения в РФ и о внесении изменений в отдельные законодательные акты РФ» определены полномочия органов власти и местного самоуправления по организации дорожного движения и обеспечению его эффективности, в том числе в отношении парковок общего пользования и платных парковок. В Постановлении Правительства Пермского края от 09.09.2020 №661-п «Об утверждении Порядка ведения реестра парковок общего пользования, расположенных на территории Пермского края», разъясняется термин «парковка»: «… специально обозначенное и при необходимости обустроенное и оборудованное место, являющееся в том числе частью автомобильной дороги и (или) примыкающее к проезжей части и (или) тротуару, обочине, эстакаде или мосту либо являющееся частью подэстакадных или подмостовых пространств, площадей и иных объектов улично-дорожной сети, зданий, строений или сооружений и предназначенное для организованной стоянки транспортных средств на платной основе или без взимания платы по решению собственника или иного владельца автомобильной дороги, собственника земельного участка либо собственника соответствующей части здания, строения или сооружения».
В Методических указаниях2 отмечается, что «… на этапе планирования создания и проектирования парковок необходимо обеспечить … удобный доступ с парковок в жилые, коммерческие и производственные здания; безопасность размещения парковок для участников дорожного движения».
В публикациях последнего времени значительное внимание уделяется изучению функционирования парковочного пространства как в российских городах, так и за рубежом: в Белгороде [30], Волгограде [5], Иркутске [11; 19; 20], Москве3, Перми [21], Туле [1; 13], Бельгии, Великобритании, Венгрии, Германии, Дании, Испании, Италии, Канаде, США, Финляндии, Франции, Чехии [20; 29] и других странах.
Результаты исследований показывают, что неудачное размещение и нерациональная организация функционирования парковочного пространства становятся препятствием для сквозного движения, причиной неэффективного использования имеющихся ресурсов [32]. В то же время рациональное решение проблемы парковки автомобилей обеспечивает снижение времени прибытия машин скорой помощи и пожарных расчётов, уменьшение нарушений правил остановки и стоянки, снижение объема транзитного транспорта и сокращение использования личных автомобилей, увеличивает скорость движения на дорогах и оборачиваемость парковочных мест, благоприятствует созданию безопасной и благоприятной среды для пешеходов, городского транспорта и автомобилистов4.
Вопросы сбора исходных данных при анализе размещения транспортных средств на внеуличных парковках рассмотрены в работе [10]. В труде [8] приведены данные о продолжительности парковки возле центров массового тяготения (ЦМТ). В работе [9] приводятся данные, полученные экспериментальным путем для более чем трех десятков типов ЦМТ; сравниваются результаты натурного наблюдения с нормативными значениями.
Использование камер видеонаблюдения позволяет определять государственные регистрационные знаки [4] и определять наличие свободных мест на парковке [26] в режиме реального времени. Изучение характеристик парковочного пространства [24] выполняется с использованием средств видеонаблюдения и планов различных масштабов, исследуемых ЦМТ. Применение видеонаблюдения в составе сетевой архитектуры [31] продемонстрировало значительные преимущества в обнаружении изучаемых объектов в режиме реального времени.
Анализ динамики парковок на городской улично-дорожной сети (УДС) позволил исследовать [29] поведение водителей при парковке. В статье [34] изучается влияние на выбор места парковки, ее продолжительности, количества пассажиров в машине, скорости и продолжительности пешего передвижения.
Проблема проектирования автостоянок и интеграция их в городскую структуру изучается в работе [16]; предлагаются некоторые варианты их структурирования. Классификация парковок, примеры их организации и сравнение потребности в них по некоторым городам приведены в статье [8].
Проблемы, связанные с парковочными территориями, их характеристики, поведение водителей при выборе места для паркования, разработка моделей спроса с учетом различных факторов и пересмотр правил парковки как неотъемлемой части городской транспортной системы рассматриваются в статье [32].
Для информационной модели [2] парковочного пространства определен набор входных количественных параметров, сформулированы функциональные требования и выходные данные программной информационной системы. В работе [6] рассмотрены подходы к построению транспортно-логистических комплексов на основе теории макросистем. Функционирование парковочного пространства изучается с применением модели5 системы массового обслуживания для определения средней продолжительности парковки автомобилей. В статье [28] предлагается модель глубокого обучения для прогнозирования доступности парковочных мест на основе дискретного вейвлет-преобразования, установления корреляционных связей между различными парковками.
Широкой популярностью пользуется имитационное моделирование с применением программного обеспечения AnyLogic, PTV VISUM и других. Имитационная модель [12] позволяет оптимизировать парковочное пространство на основе прогнозируемого экономического эффекта. Подобная модель [14] позволяет оценить потребное количество парковочных мест для участка городской УДС, оценить стоимость строительства парковочного объекта, прогнозировать его влияние на показатели транспортного потока. Модель [15] паркинга в центральной части крупного города описывает движение автомобилей к месту назначения, поиск и освобождение парковочного места с учетом поведения водителей. Имитационное моделирование [1] на основе программного обеспечения «TransNet» применяется для изучения придомовых территорий как источников формирования транспортных потоков и выявления их влияния на загрузку УДС.
С помощью строительства многоярусных парковок [17] предлагается решать проблемы автомобильных пробок. Проект строительства жилого комплекса с оптимальной организацией парковочного пространства рекомендуется в работе [7]; здесь же изучается целесообразность подземно-наземных автостоянок на территории жилой застройки. В работе [3] предлагается для скоординированного использования общественного и индивидуального транспорта размещать перехватывающие стоянки возле станций скоростного массового транспорта. Для управления ресурсами в среде смешанных автоматизированных транспортных средств целесообразно внедрять парковочную систему, которая рассматривается в работе [23] как задача линейного программирования с целью минимизации ресурсов.
В статье [25] обосновывается алгоритм планирования платных городских парковочных мест. Места оптимального размещения платных автопарковок [18] определяются на основе потенциала общественного транспорта, интенсивности транспортных потоков, плотности населения, обеспеченности парковочными площадками, размещения центров массового притяжения. Алгоритм [27] определения цен на парковочных территориях построен на использовании ГИС; предлагается определять цены на парковку из условия равномерной занятости парковочного пространства на всей городской территории. Для определения оптимальной стоимости места на парковке рекомендуется6 повышать цену машино-места до тех пор, пока не будет достигнута цель: наличие на парковочной территории хотя бы одного свободного места в течение суток.
Анализ публикаций показывает, что имеющиеся данные о функционировании городского парковочного пространства слабо структурированы, разрознены, требуют проведения глубокого изучения эволюции как основных детерминированных и стохастических показателей, так и их взаимного влияния. Целью выполненного исследования (в качестве некоторого приближения к фундаментальному изучению функционирования парковочного пространства) явился анализ информации, поступающей в режиме реального времени от стационарного комплекса измерительного программно-технического (КИПТ), установленного на территории придорожной парковки в городе Пермь. В результате статистической обработки данных за длительный период времени определено количество парковочных сессий, суточные заполняемости парковочного пространства, распределения продолжительностей хранения, интенсивности въезда и выезда автомобилей, оборачиваемости парковочных мест и проч.
Объект исследования
Рассматривается придорожное парковочное пространство в городе Пермь (рисунок 1), рассчитанное на размещение в штатном режиме 30 автомобилей. Наблюдение выполнялось весной (апрель), летом (июль), осенью (октябрь) 2023 года и зимой (февраль) 2024 года в течение одной недели каждого месяца.
Рисунок 1. Схема рассматриваемого придорожного парковочного пространства (город Пермь)
Источник: разработано авторами с использованием ресурсов 2GIS[7]
Парковочное пространство находится в области визуальной доступности стационарного КИПТ «Азимут ДТ»8, стационарно размещенного для контроля времени въезда автомобиля на территорию парковки и выезда с нее. Этот комплекс предназначен для распознавания государственного регистрационного знака, марки, модели, цвета и категории транспортного средства, фиксации моментов времени въезда на парковку и выезда с нее и ряда других временных и пространственных характеристик. Процент безошибочного распознавания государственных регистрационных знаков транспортных средств в светлое время суток составляет не менее 95% от общего количества автомобилей, проследовавших через зону контроля; в темное время суток – не менее 90% общего из количества автомобилей9. Данные КИПТ «Азимут ДТ» поступают в центр хранения и обработки информации непрерывно в режиме реального времени, что позволяет получать достоверные сведения о характеристиках функционирования исследуемого парковочного пространства.
Результаты натурного наблюдения
Первоначально приводятся данные, полученные с помощью КИПТ «Азимут ДТ» в течение произвольно выбранных суток наблюдения в октябре 2023 года (рабочий день, среда), и далее – обобщающие данные за весь период наблюдения 2023 и 2024 годов.
На рисунке 2 показано распределение по времени продолжительностей стоянок автомобилей на парковке в течение суток; на оси абсцисс указано время, соответствующее въезду автомобилей на территорию парковочного пространства, на оси ординат – продолжительность нахождения автомобилей на парковочной территории. На рисунке 3 представлены гистограммы количества автомобилей по продолжительности пребывания всех автомобилей на парковочном пространстве в течение суток наблюдения (рисунок 3а), в том числе автомобилей, которые посещали парковку на время не более 60 мин (рисунок 3б). На рисунке 3а продолжительности парковки ограничены 15 часами, так как более длительное время нахождения автомобилей на парковочной территории не зафиксировано.
Рисунок 2. Распределение по времени t (час:мин) продолжительностей T (мин) стоянок автомобилей на парковке в течение суток; а – общая продолжительность, б – парковки продолжительностью менее 60 минут, в – парковки продолжительностью не более 5 минут; рабочий день (среда), октябрь 2023 года
Источник: разработано авторами
Рисунок 3. Распределение количества m автотранспортных средств по длительности их нахождения на территории парковки; а – размещение в течение суток, б – при парковке длительностью не более 1 часа; рабочий день (среда), октябрь 2023 года.
Источник: разработано авторами
На рисунке 4 отражены зависимости от времени показателя заполняемости мест рассматриваемого парковочного пространства. На рисунке 5 представлены зависимости от времени суток интенсивностей заезда (рисунок 5а) автомобилей на парковочное пространство и выезда с него (рисунок 5б).
Рисунок 4. Зависимость от времени t (час:мин) заполняемости K (авт) парковочного пространства; рабочий день (среда), октябрь 2023 года
Источник: разработано авторами
Рисунок. 5. Зависимость от времени t (час:мин) интенсивности Nin (авт/час) въезда автомобилей на парковочное пространство (слева) и выезда Nout (авт/час) с него (справа); рабочий день (среда), октябрь 2023 года
Источник: разработано авторами
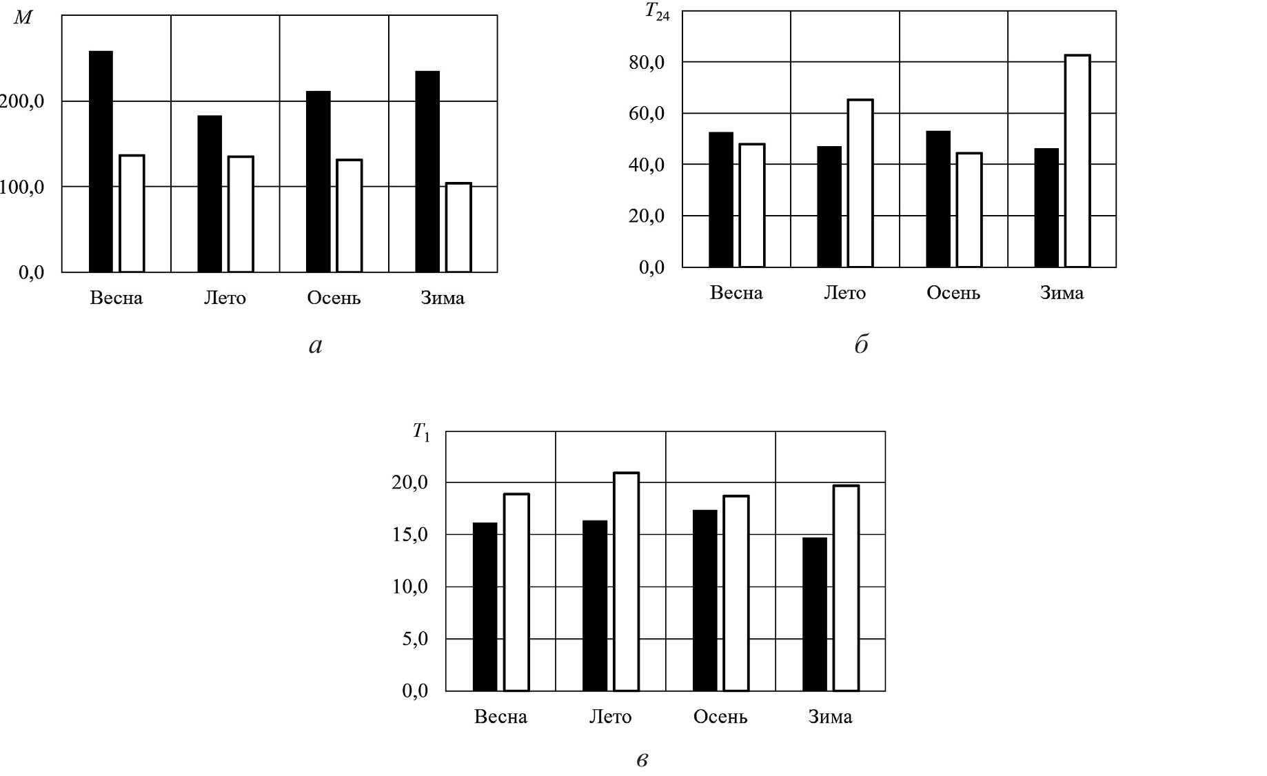
На рисунке 6 показаны осредненные количества парковочных сессий (рисунок 6а), продолжительностей парковок в течение суток (рисунок 6б) и продолжительностей размещения автомобилей менее 1 часа (рисунок 6в) в рабочие (с понедельника по субботу) и нерабочие дни (воскресенье) по соответствующим месяцам.
Рисунок 6. Средние значения количества M парковочных сессий (а), продолжительностей T24 парковок в течение суток (б) и продолжительностей T1 размещения автомобилей менее 1 часа (в); осреднение по рабочим (с понедельника по субботу, ■) и нерабочим дням (воскресенье, □) по соответствующим месяцам
Источник: разработано авторами
На рисунках 7 и 8 приведены осредненные зависимости от времени суток заполняемости парковочного пространства по рабочим (с понедельника по субботу) и нерабочим дням (воскресенье) по соответствующим месяцам.
Рисунок 7. Зависимости от времени t (час:мин) осредненной с понедельника по субботу заполняемости N (авт) парковочного пространства; а – апрель, б – июль, в – октябрь 2023 года, г – февраль 2024 года
Источник: разработано авторами
Рисунок 8. Зависимости от времени t (час:мин) заполняемости N (авт) парковочного пространства в воскресные дни; а – апрель, б – июль, в – октябрь 2023 года, г – февраль 2024 года
Источник: разработано авторами
На рисунок 9 представлены зависимости от времени осредненных по рабочим дням (с понедельника по субботу) интенсивностей въезда автомобилей на парковку и выезда с нее по соответствующим месяцам.
Рисунок 9. Осредненные интенсивности Nin (авт/час) въезда автомобилей на парковку (слева) и Nout выезда с нее (справа); рабочие дни; а – апрель, б – июль, в – октябрь 2023 года, г – февраль 2024 года
Источник: разработано авторами
В таблице 1 собраны данные о числе парковочных сессий и оборачиваемости10 парковочных мест, максимальном количество одновременно занятых парковочных мест в течение суток, средних продолжительностях парковок в течение суток, а также при стоянке менее 1 часа.
Таблица 1. Использование парковочного пространства в течение года; выборочные недельные данные за 2023 и 2024 годы
Месяц | День | Количество M парковочных сессий / оборачиваемость парковочных мест | Максимальное количество автомобилей на парковке | Средние продолжительности парковок, мин | |
в течение суток | менее 1 часа | ||||
Апрель 2023 | Понедельник | 235 / 7,83 | 23 | 49,0 | 19,4 |
Вторник | 250 / 8,33 | 25 | 45,2 | 16,5 | |
Среда | 247 / 8,23 | 28 | 61,2 | 14,7 | |
Четверг | 263 / 8,77 | 25 | 42,8 | 16,5 | |
Пятница | 266 / 8,87 | 30 | 61,5 | 14,8 | |
Суббота | 291 / 9,70 | 29 | 56,8 | 15,0 | |
Воскресенье | 136 / 4,53 | 16 | 48,0 | 18,9 | |
Июль 2023 | Понедельник | 219 / 7,30 | 14 | 29,6 | 11,4 |
Вторник | 175 / 5,83 | 24 | 55,3 | 16,5 | |
Среда | 189 / 6,30 | 18 | 56,5 | 18,2 | |
Четверг | 181 / 6,03 | 18 | 51,7 | 18,0 | |
Пятница | 178 / 5,93 | 20 | 40,9 | 17,0 | |
Суббота | 157 / 5,23 | 18 | 49,2 | 17,2 | |
Воскресенье | 135 / 4,50 | 20 | 65,3 | 20,9 | |
Октябрь 2023 | Понедельник | 217 / 7,23 | 23 | 54,8 | 16,5 |
Вторник | 244 / 8,13 | 23 | 41,4 | 16,2 | |
Среда | 205 / 6,83 | 25 | 56.8 | 17.4 | |
Четверг | 202 / 6,73 | 22 | 49,8 | 17,5 | |
Пятница | 222 / 7,40 | 30 | 59,8 | 18,0 | |
Суббота | 178 / 5,93 | 28 | 60,6 | 17,9 | |
Воскресенье | 131 / 4,37 | 19 | 44,4 | 18,7 | |
Февраль 2024 | Понедельник | 203 / 6,77 | 18 | 38,8 | 12,9 |
Вторник | 205 / 6,83 | 21 | 36,5 | 14,4 | |
Среда | 207 / 6,90 | 23 | 47,7 | 15,8 | |
Четверг | 287 / 9,57 | 25 | 60,7 | 19,7 | |
Пятница | 325 / 10,83 | 13 | 21,5 | 4,4 | |
Суббота | 182 / 6,07 | 30 | 73,3 | 20,7 | |
Воскресенье | 104 / 3,47 | 22 | 82,7 | 19,7 | |
Источник: разработано авторами
В таблице 2 указаны функции, аппроксимирующие зависимости от месяцев наблюдения (сезонов года) количеств парковочных сессий, продолжительностей парковок в течение суток, продолжительностей размещения автомобилей на время менее 60 мин.
Таблица 2. Полиномиальные аппроксимации количества парковочных сессий, продолжительностей парковок в течение суток, продолжительностей размещения автомобилей менее 1 часа; числитель – рабочие дни, знаменатель – нерабочие дни (данные за 2023 и 2024 годы)
Количество N парковочных сессий | N = – 18,06t3 + 160,17 t 2 – 429,61 t + 546,17 |
N = – 3,33 t 3 + 18,50 t 2 – 33,17 t + 154,00 | |
Продолжительности T24 парковок | T24 = – 4,10 t 3 + 30,39 t 2 – 68,05 t + 94,50 |
T24 = 16,23 t 3 – 116,48 t 2 + 253,17 t – 104,89 | |
Продолжительности T1 парковок менее 1 часа | T1 = – 0,74 t 3 + 4,78 t 2 – 9,01 t + 21,07 |
T1 = 1,23 t 3 – 9,48 t 2 + 21,87 t + 5,29 |
Переменная t принимает значения: 1 – весна, 2 – лето, 3 – осень, 4 – зима
Источник: разработано авторами
В таблице 3 приведены функции, аппроксимирующие зависимости от месяцев наблюдения (кварталов года) заполняемости парковочного пространства в рабочие дни (с понедельника по субботу) и в нерабочие дни (воскресенье); здесь же представлены показатели детерминации R2.
Таблица 3. Полиномиальные аппроксимации зависимостей от времени заполняемости парковочного пространства; осреднение с понедельника по субботу; числитель – рабочие дни (осреднение с понедельника по субботу), знаменатель – нерабочий день (воскресенье, данные за 2023 и 2024 годы)
Месяц | Аппроксимация полиномом заполняемости N парковочного пространства | Показатель детерминации R2 |
Апрель 2023 | N = – 4859,71t 6 + 14652,70 t 5 – 16319,86 t 4 + 7989,53 t 3 – 1570,19 t 2 + 104,58 t – 0,87 | 0,93 |
N = 1264,88t6 – 2469,90t5 + 1211,66t4 + 108,99t3 – 119,40t2 + 8,42t + 1,61 | 0,89 | |
Июль 2023 | N = – 1972,40t6 + 6199,20t5 – 7223,77t 4 + 3672,38t 3 – 716,88t 2 + 39,45t + 0,52 | 0,92 |
N = – 7 132,36t6 + 20650,05t5 – 22495,67t 4 + 11314,25t 3 – 2 564,31t 2 + 225,99t – 4,35 | 0,75 | |
Октябрь 2023 | N = – 3738,76t 6 + 11608,84t 5 – 13330,80t 4 + 6736,20t 3 – 1373,08t 2 + 95,75t – 0,97 | 0,94 |
N = 1417,75t 6 – 2655,41t 5 + 962,49t 4 + 575,40t 3 – 340,62t 2 + 44,59t – 1,09 | 0,89 | |
Февраль 2024 | N = – 1956,09t 6 + 6478,31t 5 – 7924,64t 4 + 4235,60t 3 – 897,32t 2 + 63,19t – 0,53 | 0,94 |
N = – 1855,51t 6 + 7192,19t 5 – 10082,05t 4 + 6221,77t 3 – 1625,65t 2 + 153,96t – 3,01 | 0,86 |
Переменная t – безразмерное время суток, t ∈ [0, 1].
Источник: разработано авторами
Обсуждение результатов наблюдения
В выбранный произвольно рабочий день наблюдения (среда, октябрь 2023 года) на территории придорожной парковки зафиксировано 205 парковочных сессий (таблица 1). Максимальное количество автомобилей, одновременно находившихся на территории парковки в течение суток, зафиксировано равным 25. Среднесуточное время нахождения транспортных средств на парковочной территории равно 56,8 мин. Среднее время парковки при ее продолжительности не более 60 мин составило 17,4 мин.
За сутки наблюдения наибольшая продолжительность стоянки составила 631 мин (10 час 31 мин, время заезда 8:33; рисунок 2а). Наименьшая продолжительность стоянки – 1 мин 31 с (время заезда 8:43; рисунок 2в).
Гистограммы суточного распределения количества автомобилей по продолжительности пребывания (рисунок 3а) показывают, что в этот день наибольшее число автомобилей – 148 от общего зафиксированного количества 205 автотранспортных средств (72,1%) – находились на территории парковки не более 60 минут.
Для парковок продолжительностью не более 60 минут (рисунок 3б) количество автомобилей, находившихся на парковочной территории от 5 мин до 10 мин, равно 45, что составило 22% всех парковочных сессий, или 30,4% всех автомобилей, находившихся на территории парковки в пределах 60 минут. Заезжали на парковку на время менее 5 минут 20 автомобилей, или 8,8% всех парковочных сессий в течение рассматриваемых суток.
Начало учебных занятий 1-й смены в 8:30, поэтому заполнение парковочного пространства (рисунок 4) начинается с 7:55 и активно растет вплоть до 11:15 (окончание занятий учащихся первых классов в 11:00); в этот промежуток времени занятость машино-мест достигает 70% емкости парковочного пространства (21 автомобиль). С 11:20 до 12:05 наблюдается резкий спад количества автомобилей до 12 автомобилей, что составляет 40% штатной емкости придорожной парковки.
Кривая заполняемости парковочного пространства имеет две выраженные области осциллирующих значений количества занятых машино-мест:
- с 12:10 до 14:25 – это интервал окончания учебных занятий 1-й смены (12:45 и 13:30) и начала занятий 2-й смены (14:00); в этот интервал времени заполненность парковочного пространства достигает 83% (25 автомобилей);
- с 17:15 до 19:00 – это время окончания учебных занятий 2-й смены (18:10 и 18:55), заполненность парковочного пространства достигает 73% (22 автомобиля).
Данные о заполняемости парковочных машино-мест, показанные на рисунке 4, используются для определения интенсивностей въезда автомобилей на парковочное пространство и выезда с нее (рисунок 5) с использованием соотношения
(1)
где
t – текущий момент времени,
– количество автомобилей, въехавших на парковочное пространство или покинувших его за интервал времени . Для вычисления интенсивностей согласно выражению (1) принят интервал времени, равный мин.
Из рисунка 5 следует, что наибольшие интенсивности выезда следуют с некоторым запаздыванием относительно максимумов интенсивности въезда на придорожную парковку. Первая группа пиковых значений интенсивности въезда на парковочное пространство (рисунок 5а) наблюдается с 9:10 до 11:20 (интенсивность выезда – с 11:00 до 11:50, соответственно, рисунок 5б), что согласуется с началом занятий 1-й смены и окончанием занятий учащихся первых классов.
Вторая группа наибольших значений интенсивности въезда – с 12:30 до 14:00 (интенсивность выезда – с 13:10 до 15:10), и это соответствует времени окончания занятий первой смены и начала уроков 2-й смены.
Третья группа максимальных интенсивностей – с 17:10 до 19:10 (интенсивность выезда – с 17:15 до 19:50) соответствует окончанию учебных занятий 2-й смены.
Общие данные о наблюдении за 2023–2024 годы представлены в таблице 1; из приведенных данных следует, что распределение количества парковочных сессий с понедельника по субботу различается незначительно, что определяется 6-дневной учебной неделей образовательного заведения. Поэтому осреднение показателей функционирования парковочного пространства для рабочих и нерабочих дней обусловлено этой особенностью: рабочими считаются дни с понедельника по субботу, нерабочим днем – воскресенье.
Весной в рабочие дни среднесуточное количество парковочных сессий составляет Мв = 258,7 при среднеквадратичном отклонении s = 19,4; летом Мл = 183,2, s = 20,5; осенью Мо = 211,3, s = 22,1; зимой Мз = 234,8, s = 57,1. Наибольший разброс значений наблюдается весной, наименьший – в зимний период.
Из данных, представленных в таблице 1 и на рисунке 6а, следует, что количество парковочных сессий летом (июль) существенно ниже, чем в остальные сезоны года, и это обусловлено каникулами школьников. Как и следовало ожидать, количество парковочных сессий по рабочим дням существенно выше, чем в нерабочие дни. Летом заполняемость парковочного пространства не превышает 80% (таблица 1), тогда как в другие кварталы она достигает 100% (как правило, в пятницу и субботу).
Зависимости от времени осредненных по соответствующим месяцам продолжительностей парковок приведены на рисунке 6б. Особенностью здесь является то, что летом и зимой продолжительности парковок автомобилей по нерабочим дням выше, чем в рабочие дни.
Весной в рабочие дни среднесуточная продолжительность парковки составляет Tв = 52,8 мин при среднеквадратичном отклонении s = 8,2 мин; летом Tл = 47,2 мин, s = 10,3 мин; осенью Tо = 53,3 мин, s = 22,9 мин; зимой Tз = 46,4 мин, s = 18,5 мин. Наибольший разброс значений имеет место осенью, наименьший – в весенний период.
Аналогичные результаты анализа данных по средней продолжительности парковки автомобилей, занимающих места не более 60 минут: весной Tв = 16,2 мин, s = 1,8 мин; летом Tл = 16,4 мин, s = 2,5 мин; осенью Tо = 17,4 мин, s = 0,8 мин; зимой Tз = 14,7 мин, s = 5,9 мин. В осеннее время среднесуточные и ограниченные 60 минутами парковки автомобилей становятся заметно продолжительнее, разброс значений – существенно шире.
Зависимости от времени осредненных по соответствующим месяцам заполняемостей парковочной территории в рабочие дни (с понедельника по субботу) приведены на рисунке 7. Весной, осенью и зимой осредненные кривые заполняемости выглядят практически однотипно, максимальная заполняемость принимает значения от 17 до 23 автомобилей; в то же время, согласно наблюдениям (таблица 2), в эти месяцы количество припаркованных транспортных средств достигает 30, то есть максимального числа (100%) парковочных мест. Летом наибольшее число автомобилей на парковке не превышает 14 (46,7%).
В нерабочие дни (воскресенье) в течение всех месяцев наблюдения зависимости от времени осредненной заполняемости парковочной территории практически однотипны (рисунок 8), максимальная заполняемость принимает значения от 15 (50% штатной емкости придорожной парковки) до 21 автомобиля (70%). Аномальным представляется резкий рост заполненности парковочной территории в июле (воскресенье, рисунок 11в) после 20:00. Возможно, это следствие встречи родителями детей, возвращающихся из мест загородного отдыха.
Для аппроксимации методом наименьших квадратов зависимостей от месяцев наблюдения (кварталов года) осредненных по соответствующим месяцам количеств парковочных сессий (рисунок 6а), продолжительностей парковок в течение суток (рисунок 6б), продолжительностей размещения автомобилей на время менее 60 мин (рисунок 6в) использованы кубические полиномы (таблица 2). Показатель детерминации во всех случаях R2 = 1,0 в силу выбора показателя степени аппроксимирующих функций.
Для аппроксимации осредненных по соответствующим месяцам зависимостей от месяцев наблюдения (кварталов года) заполняемости парковочного пространства (рисунки 7 и 8) использованы полиномы 6-й степени (таблица 3). Во всех рассмотренных случаях показатель детерминации превышает 0,75, что свидетельствует о хорошей аппроксимации построенными полиномами эмпирических зависимостей.
Осредненные по соответствующим месяцам интенсивности Nin и Nout въезда транспортных средств на парковочную территорию и выезда с нее, приведенные на рисунке 9, характеризуются значительной осцилляцией и в большинстве случаев однотипны, при этом, как правило интенсивности Nin и Nout имеют временной сдвиг относительно друг друга. В рабочие дни (с понедельника по субботу) интенсивность въезда не превышает 36,5 авт/час, интенсивность выезда – 40,0 авт/час; в нерабочие дни (воскресенье) интенсивность въезда не превышает 24,0 авт/час, интенсивность выезда – 39,0 авт/час;
Согласно работе [9] удельную генерацию корреспонденций рекомендуется определять выражением
(2)
В формуле (2) обозначено: M – количество парковочных сессий автомобильного транспорта за рассматриваемый период наблюдения (таблица 1), S – площадь помещения образовательного учреждения (для рассмотренного в настоящем исследовании учебного учреждения S = 3500 м2).
В таблице 4 представлены значения G по данным наблюдения для ЦМТ «образовательное учреждение (школа)» в зависимости от месяца наблюдения. Приведенные данные свидетельствуют о зависимости удельной генерации корреспонденций от квартала года. В рабочие дни максимальное значение G достигается весной, минимальное – летом. Для выходных дней удельная генерация корреспонденций в течение года изменяется незначительно. Ее среднее значение за весь период наблюдений составило G = 0,0595 корр/м2 для рассматриваемого ЦМТ.
Таблица 4. Удельная генерация корреспонденций G (корр/м2) для центра массового тяготения «образовательное учреждение (школа)» в рабочие и нерабочие дни; данные за 2023 и 2024 годы
Апрель 2023 | Июль 2023 | Октябрь 2023 | Февраль 2024 | |
Рабочие дни | 0,0739 | 0,0523 | 0,0604 | 0,0671 |
Нерабочие дни | 0,0378 | 0,0386 | 0,0374 | 0,0297 |
Источник: разработано авторами
Согласно работе [9] требуемое количество парковочных мест для средней школы определено в количестве 0,48 на каждые 100 м2 площади учебного заведения. В рассмотренном случае, с учетом максимальной заполняемости парковочного пространства (см. таблицу 1), этот показатель оказался равен
что практически вдвое превышает рекомендуемое [9] значение.
Оценка количества поездок и парковок для больниц и медицинских клиник Иордании выполнена в статье [22]; изучена динамика корреспонденций, а также спрос на парковку. Анализ показал невозможность использования результатов аналогичных исследований, выполненных в других странах, и необходимость проведения изучения соответствующих корреспонденций в национальном масштабе. Изучены удельные показатели въездов и выездов автомобилей на парковочное пространство лечебных учреждений, причем в качестве базы использованы количество коек, площадь помещений (на 100 кв. м), число врачей и обслуживающего персонала. Например, пиковые показатели относительно площадей помещений (на 100 кв. м; въезды/выезды) составили 2,28/2,97 до полудня и 0,57/2,50 после полудня (рекомендуемые [16] показатели имеют диапазон от 0,85 до 1,24).
Функционирование парковок возле ресторанов и кофеен в Аммане изучены в работе [33]; исследование показало, что число корреспонденций в пиковые часы коррелирует как с общей площадью и количеством этажей заведений, так и качеством обслуживания и числом сотрудников. Определена потребность в 2,36 парковочных места на 1000 жителей.
Выводы
Обработка значительного объема данных видеонаблюдения движения транспортных средств по придорожной парковке, размещенной возле образовательного учреждения, позволила исследовать количественные характеристики продолжительностей стоянок автомобилей на парковке в течение суток, распределения количества автомобилей по продолжительности нахождения транспортных средств на территории парковки, заполняемость парковочного пространства в рабочие и нерабочие дни, интенсивности въезда автомобилей на территорию придорожной парковки и выезда с нее, а также некоторые другие характеристики.
Установлено, что практически все измеренные показатели функционирования рассмотренного парковочного пространства зависят от времени (квартала) года, что необходимо учитывать при проектировании, размещении, планировании и организации функционирования парковочных пространств.
Удельная генерация корреспонденций и необходимое число парковочных машино-мест вблизи центров массового тяготения чувствительны к особенностям городской территории и существенно различаются по регионам страны. Показатели, полученные для урбанизированных территорий других стран, уникальны и неприменимы для практического использования на территории России.
Целесообразно распространить методику изучения и опыт получения характеристик парковочного пространства на исследование показателей функционирования плоскостных, перехватывающих и многоуровневых парковок, расположенных вблизи центров массового тяготения иного назначения и структуры.
Авторы надеются, что данные, представленные в настоящей статье, а также дальнейшие исследования в этом направлении будут способствовать практической работе по построению качественной системы формирования и развития объектов парковочного пространства и рациональному управлению их эксплуатацией.
1 Федеральный Закон № 443 от 29.12.2017 г. «Об организации дорожного движения в Российской Федерации и о внесении изменений в отдельные законодательные акты Российской Федерации». – URL: https://infrastruktura.gov39.ru/upload/2023/ФЗ_N_443.pdf?ysclid=lwpu398qht367211639 (дата обращения: 28.05.2024).
2 Методические рекомендации по разработке и реализации мероприятий по организации дорожного движения. Формирование единого парковочного пространства в городах Российской Федерации. – URL: https:// //mintrans.gov.ru/documents/10/9518?ysclid=lwpx4jubnn143145554. (дата обращения: 28.05.2024).
3 Машкова Е. С., Поляков И. В. Цифровизация как способ повышения эффективности платного парковочного пространства на территории г. Москвы // Национальная Ассоциация Ученых. – 2021. – № 66–3 (66). – С. 45–48. – https://doi.org/10.31618/nas.2413-5291.2021.3.66.412. – EDN: MLPVBO.
4 Там же.
5 Моделирование работы парковок / А. А. Блюдин [и др.] // Современная техника и технологии. – 2014. – № 12 (40). – С. 41–45. – EDN: TFQKPJ.
6 Машкова Е. С., Поляков И. В. Цифровизация как способ повышения эффективности платного парковочного пространства на территории г. Москвы // Национальная Ассоциация Ученых. – 2021. – № 66–3 (66). – С. 45–48. – https://doi.org/10.31618/nas.2413-5291.2021.3.66.412. – EDN: MLPVBO.
7 ООО «ДубльГИС». – URL: https://2gis.ru/perm (дата обращения: 06.06.2024).
8 КИПТ «Азимут ДТ» // Технологии безопасности дорожного движения. – URL: https://tbdd.ru/node/265 (дата обращения: 11.06.2024).
9 При условии чистых и неповрежденных государственных регистрационных знаков.
10 Под оборачиваемостью понимается отношение числа парковочных сессий в течение суток к штатному числу парковочных мест.
About the authors
Mikhail G Boyarshinov
Perm National Research Polytechnic University
Author for correspondence.
Email: mgboyarshinov@pstu.ru
ORCID iD: 0000-0003-4473-6776
Scopus Author ID: 6506008407
ResearcherId: ACE-0166-2022
Professor, Doctor of Technical Sciences, Professor of the Department of Automobiles and Technological Machines
Russian Federation, PermYuri A. Shchukin
Perm National Research Polytechnic University; Perm Directorate of Road Traffic
Email: cshukin-yura@mail.ru
ORCID iD: 0000-0002-9861-7134
postgraduate student, scientific specialty 2.9.5. Operation of Automobile Transport, Perm National Research Polytechnic University; Head of Parking Space Control Department, Perm Directorate of Road Traffic
Russian Federation, PermReferences
- Agureev, I. E., Yurchenko, D. A. (2019) [Setting the task of loading the city’s UDS, taking into account data on the functioning of house parking lots]. Vestnik SibADI [Bulletin of SibADI]. Vol. 16(6), pp. 670–679. – https://doi.org/10.26518/2071-7296-2019-6-670-679. – EDN: GXUYGZ. (In Russ.).
- Antipova, A. N., Kumaneva, A. V., Aksenov, D. V. (2019) [Information model of parking space formation in a large city]. Transport i mashinostroenie Zapadnoj Sibiri [Transport and mechanical engineering of Western Siberia]. Vol. 2, pp. 48–55. – EDN: LLUAAD. (In Russ.).
- Borovik, E. N. (2007) [The system of intercepting parking in Moscow: problems and prospects]. Arhitektura i stroitel’stvo Moskvy [Architecture and construction of Moscow]. Vol. 535, No. 5, pp. 7–10. – EDN: KJANGB. (In Russ.).
- Boyarshinov, M. G., Vavilin, A. S., Shumkov, A. G. (2021) [The use of a complex of photovideofixation of traffic violations to identify deterministic and stochastic components of traffic flow intensity]. Intellekt. Innovacii. Investicii [Intellect. Innovations. Investments]. Vol. 3, pp. 61–71. – https://doi.org/10.25198/2077-7175-2021-3-61. – EDN: BSXWOY. (In Russ.).
- Sapozhkova, N. V., et al. (2019) [The introduction of paid parking space on the Volgograd street and road network in order to unload public transport lanes]. Vestnik Volgogradskogo gosudarstvennogo arhitekturno-stroitel’nogo universiteta. Seriya: Stroitel’stvo i arhitektura [Bulletin of the Volgograd State University of Architecture and Civil Engineering. Series: Construction and Architecture]. Vol. 3 (76), pp. 81–91. – EDN: FXVOQC. (In Russ.).
- Agureev, I. E., et al. (2017) [Issues of urban transport systems management]. Sovremennye social’no-ekonomicheskie processy: Problemy, zakonomernosti, perspektivy [Modern socio-economic processes: Problems, patterns, prospects]. pp. 72–94. – EDN: YFKSHZ. (In Russ.).
- Duvanova, I. A. Simankina, T. L. (2016) [Optimization of parking space organization in residential development]. Stroitel’stvo unikal’nykh zdaniy i sooruzheniy [Construction of unique buildings and structures]. Vol. 2 (41), pp. 108–117. – EDN: VPWHRH. (In Russ.).
- Zedgenizov, A. V. (2016) [Assessment of factors affecting the duration of parking near territories / centers of mass gravity of different functional orientation]. Vestnik Moskovskogo avtomobil’no-dorozhnogo gosudarstvennogo tekhnicheskogo universiteta (MADI) [Bulletin of the Moscow Automobile and Road Transport State Technical University (MADI)]. Vol.1 (44), pp. 20–25. – EDN: VSKFUP. (In Russ.).
- Zedgenizov, A. V., Bazan, A. V. (2020) [Methodology for estimating the required number of parking spaces near mass gravity centers in urbanized territories]. Vestnik Sibirskogo gosudarstvennogo avtomobil’no-dorozhnogo universiteta [Bulletin of the Siberian State Automobile and Road University]. Vol. 17, No.1 (71), pp. 72–83. – https://doi.org/10.26518/2071-7296-2020-17-1-72-83. – EDN: GHXJBZ. (In Russ.).
- Zedgenizov, A. V., Zedgenizova, A. N. (2011) [Features of collecting initial data when estimating the number of parked cars near residential facilities]. Vestnik IrGTU [Bulletin of IrSTU]. Vol. 10 (57), pp. 105–108. – EDN: OIODPP. (In Russ.).
- Kazimirov, A. O., Burkov, D. G. (2018) [Forecasting the intensity of traffic and pedestrian flows to the centers of mass gravity on the example of supermarkets in Irkutsk]. Vestnik IrGTU [Bulletin of the IrSTU]. Vol. 22 (2), pp. 209–216. – https://doi.org/10.21285/1814-3520-2018-2-209-216. – EDN: YRRIBQ. (In Russ.).
- Kopylova, O. A., Mishkurov, P. N., Chetvergova, A. A. (2021) [Assessment of the feasibility of parking space for passenger cars based on simulation modeling]. Vestnik Ural’skogo gosudarstvennogo universiteta putej soobshcheniya [Bulletin of the Ural State University of Railway Engineering]. Vol. 3 (51), pp. 65–73. – https://doi.org/10.20291/2079-0392-2021-3-65-73. – EDN: TVDDQX. (In Russ.).
- Korzhankov, V. B. (2018) [Characteristics of the behavior of vehicles in the parking lot]. Al’ternativnye transportnye tekhnologii [Alternative transport technologies]. Vol. 5, No.1 (8), pp. 124–147. – EDN: OSHGIV. (In Russ.).
- Kornilov, S. N. (2022) [Methodology of expediency of placement and determination of parameters of parking spaces in the urban transport system]. Byulleten’ rezul’tatov nauchnyh issledovanij [Bulletin of the results of scientific research]. Vol. 2, pp. 92–103. – https://doi.org/10.20295/2223-9987-2022-2-92-103. – EDN: MPQYWS. ( In Russ.).
- Patrakeev, I. M., Zhukov, V. E., Leontieva, O. G. (2010) [Organization of parking in a large city based on spatially accurate modeling]. Uchenye zapiski Tavricheskogo federal’nogo universiteta imeni V. I. Vernadskogo. Seriya «Geografiya» [Scientific notes of the Tauride Federal University named after V. I. Vernadsky. The Geography Series]. Vol. 23 (62), No. 2, pp. 222–231. – EDN: UNXIYB. (In Russ.).
- Pitirimov, V. V. (2022) [Types of parking lots in the structure of cities]. Aktual’nye problemy stroitel’stva, prirodoobustrojstva, kadastra i zemlepol’zovaniya: trudy mezhdunarodnoj nauchno-prakticheskoj konferencii, Mahachkala, 2022 [Actual problems of construction, environmental management, cadastre and land use: proceedings of the international scientific and practical conference. Makhachkala, 2022]. Pp. 195–199. – EDN: ADHISQ. (In Russ.).
- Popova, I. M., Providonov, E. V. (2015) [Ways to increase the capacity of the street and road network]. Nauchno-metodicheskij elektronnyj zhurnal «Koncept» [Scientific and methodological electronic journal «Concept»]. Vol. 35, pp. 121–125. – EDN: VCHASB. (In Russ.).
- Sidorov, V. P., Sitnikov, P. Yu. (2021) [Geographical analysis of traffic and parking space in a large city (on the example of Izhevsk)]. Vestnik Udmurtskogo universiteta. Seriya Biologiya. Nauki o Zemle [Bulletin of the Udmurt University. Biology series. Earth Sciences]. Vol. 31, No. 4, pp. 474–483. – https://doi.org/10.35634/2412-9518-2021-31-4-474-483. – EDN: PIFMDU. (In Russ.).
- Tarasyuk, Yu. V., Fadeev, D. S., Mikhailov, A. Y. (2002) Issledovaniye parkovaniya v tsentral’noy chasti Irkutska [Research of parking in the central part of Irkutsk]. Available at: https://waksman.ru/Russian/Streets_net/Tarasyuk.htm. (accessed: 27.05.2024). (In Russ.).
- Fadeev, D. S., Prokof’eva, O. S. (2012) [Global trends in the formation of vehicle parking policy]. Vestnik IrGTU [Bulletin of the IrSTU]. Vol. 12 (71), pp. 170–176. – EDN: PLVEZN. (In Russ.).
- Shchukin, Yu. A., Boyarshinov, M. G., Artemenko, D. V. (2023) [Patterns of parking space use]. Transport Rossijskoj Federacii [Transport of the Russian Federation]. No. 3-4 (106-107), pp. 44–50. – EDN: SLAKFT. (In Russ.).
- Al-Masaeid, H. R., Khedaywi, T., Shehadeh, E. (2021) Trip and Parking Generation of Hospitals and Medical Centers in Jordan. Jordan Journal of Civil Engineering. Vol. 15, No.4, pp. 562–569. (In Eng.).
- Cong, Zhao, et al. (2019) Urban Parking System Based on Dynamic Resource Allocation in an Era of Connected and Automated Vehicles. IEEE Intelligent Transportation Systems Conference (ITSC), Auckland, NZ, October 27–30, pp. 9094–3099. – https://doi.org/10.1109/ITSC.2019.8916994. (In Eng.).
- Ding, X., Yang, R. (2019) Vehicle and Parking Space Detection Based on Improved YOLO Network Model. Journal of Physics: Conference Series. 1325, 012084, 7 p. – https://doi.org/10.1088/1742-6596/1325/1/012084. (In Eng.).
- Egorov, K., еt al. (2021) Research methodology for quantitative and qualitative parameters of parking space use. 10th International Young Scientists Conference in Computational Science. Procedia Computer Science. Vol. 193, pp. 62–71. – EDN: VWQMSB. (In Eng.).
- Farley, A., Ham, H., Hendra (2021) Real Time IP Camera Parking Occupancy Detection using Deep Learning. 5th International Conference on Computer Science and Computational Intelligence. Procedia Computer Science. Vol. 179, pp. 606–614. https://doi.org/10.1016/j.procs.2021.01.046. (In Eng.).
- Fulman, N., Benenson, I. (2019) Establishing Heterogeneous Parking Prices for Uniform Parking Availability for Autonomous and Human-Driven Vehicles. IEEE Intelligent transportation systems magazine. Vol. 11, No. 1, pp. 15–28. – https://doi.org/10.1109/MITS.2018.2879192. (In Eng.).
- Gao, L., et al. (2023) Prediction of Vacant Parking Spaces in Multiple Parking Lots: A DWT-ConvGRU-BRC Model. Appl. Sci. Vol. 13, p. 3791. –https://doi.org/10.3390/app13063791. (In Eng.).
- Gomari, S., Knoth, C., Antoniou, C. (2021) Cluster analysis of parking behaviour: A case study in Munich. Transportation Research Procedia. 23rd EURO Working Group on Transportation Meeting, EWGT 2020, 16–18 September 2020, Paphos, Cyprus. Vol. 52, pp. 485–492. – https://doi.org/10.1016/j.trpro.2021.01.057. (In Eng.).
- Kushchenko, L., et al. (2022) The paid parking space organization as one of the ways to increase the capacity of the road in Belgorod urban agglomeration. Transportation Research Procedi. X International Scientific Siberian Transport Forum Transsiberia 2022. Vol. 63, pp. 868–877. – https://doi.org/10.1016/j.trpro.2022.06.084. – EDN: AAKQGL. (In Eng.).
- Nguyen, D.-L., et al. (2023) YOLO5PKLot: A Parking Lot Detection Network Based on Improved YOLOv5 for Smart Parking Management System. Conference IW-FCV 2023, Yeosu, South Korea. Available at: https://www.researchgate.net/publication/368930907. (accessed: 26.05.2024) (In Eng.).
- Parmar, J., Das, P., Dave, S. M. (2019) Study on demand and characteristics of parking system in urban areas: A review. Journal of Traffic and Transportation engineering. Vol. 7, No. 1. 124 р. – https://doi.org/10.1016/j.jtte.2019.09.003. (In Eng.).
- Shehadeh, E. A. (2019) Trip Rates and Parking Requirements for Restaurants and Coffee Shops in Amman-Jordan. International Journal of Innovative Technology and Exploring Engineering. Vol. 9. No. 2, pp. 2898–2901. – https://doi.org/10.35940/ijitee.B7484.129219. (In Eng.).
- Shoup, D. (2021) Pricing curb parking. Transportation Research. Part A. Vol. 154, pp. 399–412. – https://doi.org/10.1016/j.tra.2021.04.012. (In Eng.).
Supplementary files











