Конструкция и материал
- Авторы: Комаров В.А.1
-
Учреждения:
- Самарский национальный исследовательский университет имени академика С.П. Королева
- Выпуск: Том 13, № 2 (2023)
- Страницы: 175-191
- Раздел: ОБЩИЕ ВОПРОСЫ ФОРМАЛИЗАЦИИ ПРОЕКТИРОВАНИЯ: ОНТОЛОГИЧЕСКИЕ АСПЕКТЫ
- URL: https://journal-vniispk.ru/2223-9537/article/view/245641
- DOI: https://doi.org/10.18287/2223-9537-2023-13-2-175-191
- ID: 245641
Цитировать
Полный текст
Аннотация
Рассматриваются некоторые аспекты взаимосвязей двух инженерных дисциплин – материаловедения и строительной механики. Обсуждаются стержневые структуры от представительных ячеек и объёмов композитов, армированных длинными и короткими волокнами, до пространственных конструкций с регулярной структурой. Рассматриваются различные подходы к прогнозированию и оценкам минимальной массы стержневых систем на начальных стадиях проектирования конструкций. Основное внимание уделено исследованию возможности применения безразмерного критерия силового совершенства конструкции к оценке эффективности материалов с гетерогенной структурой. С этой целью поставлен и подробно описывается вычислительный эксперимент, в ходе которого на базе простейшей кубической решётки Браве генерируются последовательно ферменные структуры возрастающей сложности и методами строительной механики анализируются их свойства. Показано, что ферменное моделирование обладает определённым потенциалом для прогнозирования ряда механических характеристик гетерогенных материалов.
Ключевые слова
Полный текст
Предисловие
«При изучении наук примеры полезнее правил»
Исаак Ньютон
В 1933 году издана актуальная для своего времени книга с претенциозным названием «Материал и конструкция» [1]. Книга появилась в начале периода индустриализации страны и внесла весомый вклад в подготовку инженерных кадров. Её автор начинает повествование с описания шалаша первобытного человека из подручного материала – стволов небольших деревьев и веток. Минуя тысячелетия, переходит к обсуждению современной искусственной окружающей среды: мебели, объектов металлургии, высотных домов из стали и бетона, инструментов и др., подчёркивая при этом, что «выполнение вещами своего назначения сводится к способности материала выдерживать внешние воздействия», и рассматривает как важнейшее свойство материала – прочность. Далее с помощью примеров и иллюстраций подводит читателя к необходимости науки о механических свойствах материалов и рассматривает основные виды деформации конструкций под нагрузкой – растяжение, изгиб и кручение, – и проводит мысль о первичности материала по отношению к конструкциям.
Интересные факты и мысли по истории строительной механики в связи с появлением новых материалов и технологий можно найти в книгах С.П. Тимошенко [2] и С.А. Бернштейна [3]. Особое место среди работ, в которых затрагиваются связи между материалом и конструкцией, занимает книга Дж. Гордона «Почему мы не проваливаемся сквозь пол» [4]. Поучительно в ней откровенное признание крупным учёным того обстоятельства, что касательные напряжения трудны для понимания и учёта в практической деятельности как в исторические времена, так и по сей день.
В этой связи интересно рассказать об одной задаче, связанной с выяснением причины течи топливных баков в крыле одного самолёта по линии стыка обшивки с лонжероном. Автор этих строк в 70-е годы занимался разработкой уточнённого метода расчёта касательных напряжений и был приглашён к анализу причин течей. Совпадение картины мест течей с линиями максимумов напряжений, полученными по уточнённому методу, оказалось практически полным. Но ни прочнисты, ни конструкторы долго не могли согласиться с тем, что причина именно в касательных напряжениях, так как крыло имело достаточную изгибную прочность в этом месте. В книге Гордона обсуждается подобная проблема с течью воды через продольные швы в старинных деревянных судах!
Во второй половине прошлого века произошло открытие феноменальной прочности некоторых волокон и нитевидных кристаллов, и вскоре началась эра композиционных материалов (КМ) и конструкций. Сейчас достигнуты определённые успехи по повышению весовой эффективности1 конструкций в авиастроении и во многих отраслях строительства и машиностроения. Однако ожидаемый эффект получен в большинстве случаев не в полной мере. Идут поиски новых, более эффективных материалов и конструкций. Определённые надежды в этом направлении возлагаются на теоретическое материаловедение.
В заключительной главе книге [4] «Материалы будущего» Гордон обсуждает широкий спектр направлений развития материаловедения, в том числе взаимоотношения конструкторов и материаловедов. В начале главы говорится об отсутствии влияния конструктора на материаловеда: «Вопреки обычным представлениям не материал выбирается для изделия, а скорее наоборот – изделие проектируется в расчёте на материал… Так или иначе, но конструктор почти не направляет материаловеда в его работе. Больше того, даже подсказки конструктора материаловед обычно игнорирует». Гордон объясняет такое положение дел разной скоростью разработки материалов и конструкций. Завершаются глава и книга оптимистически: «Вплоть до настоящего времени технические идеи основывались (сознательно и подсознательно) на характеристиках и недостатках небольшого списка веществ; но стоит воображению инженеров проститься с мыслью о том, что все эти ограничения обязательны, а взамен этого понять, сколь созидающим может быть союз конструктора и материаловеда, – границы техники необычайно раздвинутся».
В наше время с приходом композитов появилась широкая номенклатура компонентов материалов, а число комбинаций из них – бесконечно. Условия для союза конструктора и материаловеда созданы.
Оптимизация силовых конструкций имеет большую историю и определённые достижения. Представляется естественным попытаться применить методы строительной механики к поиску рациональных структур, начиная с простейших – стержневых (ферменных), в надежде получить результаты, которые могут оказаться интересными для материаловедов и полезными для объединения таких важнейших направлений науки и техники, как конструкции и материалы.
Введение
Стержневые системы находят самое широкое применение в современном строительстве и технике. От крупноразмерных сооружений аэропортов и мостов до анизогридных (сетчатых) конструкций летательных аппаратов [5-7] и микроструктур композитов, армированных непрерывными и короткими волокнами. Методы расчёта напряжённо-деформированного состояния (НДС) этих объектов представляются в настоящее время достаточно проработанными благодаря успешным реализациям метода конечных элементов (МКЭ): РИПАК, NASTRAN, ANSYS, ЛОГОС и др.
Разнообразие используемых структур стержневых конструкций говорит скорее об их изобретательском происхождении, чем об использовании методов структурной оптимизации, разработке которых посвящена обширная литература [8]. Уместно отметить, что в отступлении от рациональных форм в некоторых проектах можно усмотреть достижение определённых эстетических и технологических целей. В большинстве случаев рациональные силовые конструкции обладают и несомненной (по мнению автора) красотой, если она умело показана и не затеняется архитектурным декором. В качестве примеров можно назвать башни Эйфеля и Шухова, здание театра оперы в Пекине и множество других исторических и современных сооружений.
Интересные по внешнему виду и эффективные по минимуму массы силовые конструкции различных размеров и назначения получаются методами топологической оптимизации. Существенное развитие и применение к настоящему времени в этой области получили два направления: использование модели тела переменной плотности (ТПП) [9, 10] и SIMP-метод [11, 12]. Стоит отметить, что SIMP-метод порождает, как правило, стержневые конструкции с определённым огрублением результатов оптимизации за счёт отбрасывания элементов с малой плотностью. В отличие от него, метод ТПП позволяет находить при одном случае нагружения математически доказуемое оптимальное решение. В [13] представлены результаты решения ряда задач с использованием метода ТПП, в которых оптимальные конструкции требуют заполнения внутренних объёмов материалом переменной плотности. Как один из путей создания такого материала видится проектирование и исследование стержневых микроструктур с ориентацией на известные аддитивные технологии, методы формования композитов, включая использование коротких волокон [14], и, возможно, другие методы формирования материалов с желаемой структурой.
В названных методах топологической оптимизации отсутствуют математически обоснованные подходы к оптимизации конструкций при многих случаях нагружения. Делаются попытки построения эвристических алгоритмов с использованием идеи достижения полнонапряжённости. Однако известен контрпример оптимизации статически неопределимой фермы, работающей на два случая нагружения, который показывает, что именно неполнонапряжённая конструкция может иметь минимальную массу [15]. Задача структурной оптимизации стержневых конструкций при нескольких случаях нагружения остаётся открытой. В этом плане представляется актуальным анализ свойств кристаллических структур [16] с позиций строительной механики и теории упругости.
Термин «структура» далее применяется к объектам, которые определяются количеством составляющих однородных элементов, способом соединения и расположением в пространстве. В инженерном деле, в частности в авиастроении, как синоним используется термин «силовая схема». При рассмотрении структур с материальным описанием элементов далее используется определение «конструкция с определённой структурой» или коротко «конструкция» в зависимости от контекста.
В данной работе рассматриваются прочностные характеристики гипотетического материала с регулярными стержневыми (ферменными) структурами с различной степенью внутренней статической неопределимости представительного объёма [17, 18] при различных внешних силовых воздействиях на материал конструкции.
Цель работы – поиск путей создания новых эффективных конструкций и материалов с использованием методов строительной механики. Соответствующая методологическая оптимизационная задача на вербальном уровне формулируется следующим образом. Найти квазиизотропную стержневую (ферменную) структуру минимального объёма (массы), удовлетворяющую ограничениям по прочности.
Методика исследований
Рассматривается квадратная плоская структура из некоторого материала, показанная на рисунке 1 и нагруженная внешними силами .
Рисунок 1 – Плоская структура из шести стержней
Стержни обозначены по номерам узлов. Приняты длины стержней и площади поперечных сечений . В данном примере стержни 13 и 24 называются прямыми в отличие от косых – 12, 23, 34, 41.
В качестве основного варианта конструкции приняты площади поперечных сечений из условия равенства объёмов прямых и косых стержней.
Для оценки эффективности силовых конструкций разработаны различные критерии [19-22], связанные в основном с соотношением таких противоречивых и конкурирующих характеристик, как прочность и вес.
1.1 Силовой фактор
Силовой фактор определяет одновременно величину и протяжённость действия внутренних усилий в конструкции. Для ферм - это сумма произведений модулей внутренних усилий в стержнях на длины стержней
(1)
где и – номер и число элементов.
Рассматриваемая конструкция является статически неопределимой. Для оценки значимости этого фактора образованы дополнительные варианты конструкции. На рисунке 2 обозначение б) соответствует основному варианту, варианты а) и в) - с площадями поперечных сечений косых стержней Fкосых = 1,0 и 0,5 соответственно. В предположении работы стержней только на растяжение-сжатие расчёты дают распределение усилий в конструкции, показанное на рисунке 2.
Рисунок 2 – Величины усилий в стержнях и значения силового фактора в вариантах конструкции с различными объёмами косых стержней. Здесь – коэффициент Пуассона, ε – относительное удлинение
Силовые факторы рассмотренных структур при различных соотношениях объёмов прямых и косых стержней приведены на рисунке 2 и сведены в таблицу 1.
Понятие силового фактора и обозначение через впервые было предложено А.А. Комаровым в 1965 году в [22] под названием «силовой вес». В монографии [23, с.107-156] в связи с особенностями перевода этого термина на английский язык В.В. Васильевым предложено использовать термин силовой фактор (Load-carrying Factor). Это предложение представляется удачным, так как обобщение этого понятия на объёмные конструкции со сложным напряжённым состоянием приводят к следующему выражению для вычисления силового фактора
(2)
или приближенно
(3)
где – среднее эквивалентное напряжение в i-том элементе, – объём элемента.
Силовой фактор – величина размерная (Н ∙ м). Вычисление по (3) удобно, когда расчёт НДС конструкции ведётся по МКЭ. Многочисленными вычислительными экспериментами установлено, что величина определяется, в основном, структурой, её геометрическими размерами и нагрузкой. На этом основании построены простые «весовые формулы», которые позволяют вычислять теоретические и практические объёмы материала конструкций различных структур на ранних стадиях проектирования
, (4)
где – допускаемое напряжение.
Однако размерность критерия не позволяет ранжировать различные структуры и конструкции по весовой эффективности.
1.2 Безразмерный критерий силового совершенства структуры Ск
Безразмерный критерий силового совершенства структуры Ск определяется как отношение силового фактора к характерной нагрузке и характерному размеру [24]
. (5)
В рассматриваемом примере (рисунок 1) целесообразно выбрать и . Так как приведённые на рисунке 2 результаты силового расчёта и вычисления сделаны для м и Н, то значения соответствующих величин Ск и G совпадают. В предельном случае, когда площади поперечных сечений косых стержней равны нулю, внешние силы передаются по кратчайшему пути между узлами 1 и 3 с усилием в стержне N13 = P и Ск = 1.0. В [13, 25] можно найти примеры вычисления Ск для разнообразных конструкций. На рисунке 3 приводятся простейшие конструкции с соответствующими величинами Ск.
Через Ск можно оценить минимальный объём материала геометрически подобной конструкции, задавая её габариты – величину характерного размера L и величину характерной нагрузки P
. (6)
Безразмерный коэффициент Ск связывает величину и протяжённость действия внутренних усилий в конструкции. Чем он меньше, тем совершеннее силовая конструкция.
Рисунок 3 – Примеры простейших конструкций с соответствующими величинами безразмерного коэффициента силового совершенства [24]
Замечания.
- В статически определимых конструкциях Ск не зависит от распределения материала по элементам конструкции и определяется только её структурой (силовой схемой) и способом приложения внешних сил.
- Вводимое здесь расширение понятия Ск на материалы предполагает возможность учёта неоднородности структуры материала и, в перспективе, управление её параметрами. Например, в случае слоистого КМ силовой фактор Gкм некоторого объёма V0 и коэффициент Ск км могут быть определены следующим образом
,
,
где – модуль напряжения в однонаправленном слое с номером армирующих волокон, – объёмная доля волокон с -той ориентацией в пакете, – эквивалентное напряжение в матрице, V0 – характерный объём, – среднее эквивалентное напряжение в объёме V0.
В [25] приводится значение Ск км = 3 для равнонапряжённых композитных баллонов давления, совпадающее с результатами, полученными ранее Васильевым В.В. [26].
Упрощённая оценка массы конструкций из КМ через эквивалентные напряжения оболочки [27, 28] без учёта одноосной работы волокон может быть недостаточно адекватной.
1.3 Учёт неравнопрочности
На рисунке 4 показаны напряжения в трёх вариантах конструкции в соответствии с обозначениями на рисунке 2.
Рисунок 4 – Величины напряжений, коэффициентов избытка прочности и значения потребных объёмов Vпр вариантов конструкций
Рассмотренные шестистержневые конструкции по своим механическим свойствам близки к хорошо изученным слоистым структурам КМ, образованного из однонаправленных слоёв с высокомодульным армированием. Можно видеть, что структура б) с равными объёмами прямых и косых стержней соответствует квазиизотропной структуре КМ со схемой укладки [0°, 90°, 45°]. Полученные деформационные, силовые и прочностные характеристики практически совпадают. Поэтому данная стержневая структура (рисунок 1) может рассматриваться как представительная ячейка [29] плоского мембранного слоистого композита.
Эти конструкции с одинаковыми структурами имеют различные суммарные объёмы материала стержней и большой разброс напряжений.
Удобно принять и оценивать влияние неравнопрочности конструкции с использованием понятия «избыток прочности» и безразмерного коэффициента избытка прочности , определяя его как отношение допускаемого напряжения к максимальному, действующему в конструкции
. (7)
В рассматриваемом примере на рисунке 4а максимальное напряжение имеет стержень 13. Его величина .
Коэффициент избытка прочности этой конструкции .
Для того, чтобы повысить напряжение в стержне 13 до допускаемого, необходимо уменьшить его площадь поперечного сечения путём деления на коэффициент избытка прочности
.
Чтобы распределение усилий в конструкции (рисунок 2а) не изменилось, необходимо в такой же пропорции изменить и сечения остальных стержней. Тогда суммарный объём материала всех стержней также изменится. Он назван потребным по прочности и обозначен
.
Для удобства сравнительного анализа весовых и прочностных характеристик рассмотренных вариантов конструкции с одинаковой структурой результаты выполненных расчётов сведены в таблицу 1.
Таблица 1 – Результаты расчётов трёх вариантов конструкции
Вариант | |||||||||||
а | 1,000 | 4,828 | 0,707 | -0,293 | 0,205 | -0,414 | 1,580 | 1,580 | 0,707 | 1,414 | 3,414 |
б | 0,707 | 4,000 | 0,750 | -0,250 | 0,177 | -0,333 | 1,500 | 1,500 | 0,750 | 1,333 | 3,000 |
в | 0,500 | 3,414 | 0,793 | -0,207 | 0,147 | -0,261 | 1,414 | 1,414 | 0,793 | 1,261 | 2,707 |
| 50 | 29 | 11 | 29 | 29 | 37 | 11 | 11 | 11 | 11 | 21 |
Здесь – отношение разности максимальной и минимальной величины в соответствующем столбце к максимальной.
Из данных таблицы 1 можно сделать следующие выводы.
- В простейшей статически неопределимой конструкции при изменении жёсткостей косых стержней вдвое усилия в них также существенно изменяются (до 29%).
- Характеристики G и Ск также изменяются, но значительно меньше.
- Использование безразмерного коэффициента Ск по (6) даёт прогноз минимального объёма конструкции значительно более точный, чем прогноз через коэффициент избытка прочности. Например, для базовой конструкции б) вдвое меньше, чем .
Это обстоятельство позволяет использовать безразмерный критерий силового совершенства конструкций для сравнения различных структур [20].
2. Исследование пространственных стержневых конструкций с регулярными структурами
2.1 Выбор структур и конструкций
Рассматривается представительный объём со структурой в виде кубической решётки Браве [16] (см. рисунок 5) с рёбрами единичной длины в координатах x, y, z. В качестве базовой конструкции принята структура из двенадцати ортогональных стержней, расположенных по рёбрам, с единичной площадью их поперечных сечений Fорт = 1,0. Объём материала этой конструкции Vорт = 12.
Рисунок 5 – Базовая кубическая структура
Можно предположить, что стержни линейно-упругие, соединены в узлах шарнирно и одинаково работают на растяжение – сжатие. Данная конструкция представляет собой механизм. Геометрически неизменяемые конструкции далее образуются добавлением стержней в плоскостях граней и внутри решётки. Для нумерации структур и соответствующих конструкций используется общее количество стержней. Рассматриваются следующие структуры возрастающей сложности.
Структура «16» образована добавлением четырёх стержней 1-7, 2-8, 3-5 и 4-6, которые называются диагональными (дг) длиной 1,732 с площадью поперечного сечения Fдг = 1,732. Объём этих стержней определён из условия равенства объёму стержней базовой конструкции.
Структура «18» образована добавлением к базовой шести косых стержней 1-3, 3-8, 8-6, 6-1, 1-8, 3-6 длиной 1,414 с Fкос = 1,414 из условия равенства объёму ортогональных стержней Vорт.
Структура «22» образована добавлением к структуре «18» четырёх диагональных стержней с Fдг = 1,732.
Структура «24». Двенадцать косых стержней длиной 1,414 и Fкос 12 = 0,707 расположены по два в каждой грани.
Структура «28» образована добавлением к структуре «24» четырёх диагональных стержней длиной 1,732 с площадью поперечного сечения 1,732.
На рисунке 6 показаны структуры «16», «18» и «24».
В сформированных структурах используется 13 возможных направлений ориентации стержней, считая базовые, с объёмом материала отдельно взятых стержней от 1 до 3. Этот набор конструкций – вариант 1. В качестве второго варианта набора конструкций рассматриваются те же структуры «16 – 28» с одинаковыми площадями поперечных сечений всех стержней .
Рисунок 6 – Примеры кубических структур с возрастающей сложностью
При разработке варианта 3 конструкций со структурами «16 – 28» в качестве референтного объёма стержней базовой конструкции использовался только объём стержней, имеющих одинаковое направление, например по оси . Соответственно по каждому из четырёх диагональных направлений площадь поперечного сечения стержня назначалась . Площади сечений шести косых стержней с оригинальной ориентацией каждого для структуры «18» назначались . Площади сечений двенадцати косых стержней для структур «24» и «28» назначались и располагались по два в каждой грани, из которых только один имеет оригинальную ориентацию, как в структуре «18». При таком подходе к распределению материала по стержням реализуется принцип равного обеспечения каждого оригинального направления в представительном объёме материала.
2.2 Выбор нагрузок и вычислительные эксперименты
Нагрузки на представительный объём, заполненный стержневыми конструкциями, могут быть приложены в узлах в виде сосредоточенных сил. При назначении нагрузок использовались следующие соображения. Предполагалось, что представительный объём находится внутри некоторой гипотетической упругой изотропной среды, в которой могут действовать однородные нормальные и касательные напряжения различной величины и ориентации. Узловые силы назначались из условия статической эквивалентности напряжениям, действующим на грани представительного объёма, и считались для стержневых конструкций внешними.
Для исследования прочностных характеристик сформированных структур и конструкций рассматривались четыре случая нагружения внешними силами в узлах представительного объёма, показанные на рисунке 7 и обозначенные римскими цифрами.
Рисунок 7 – Узловые нагрузки, действующие на рассматриваемые конструкции, и соответствующие характерные нагрузки (двойные стрелки)
I случай нагружения четырьмя узловыми силами соответствует растяжению сплошного тела 1-8 в направлении оси z (рисунок 7а) с напряжением Н/м2 и равнодействующей характерной нагрузкой Н, приложенной к грани 1234.
Три следующих случая нагружения соответствуют сдвигу представительного объёма с касательным напряжением Н/м2 и характерной касательной нагрузкой Н в различных направлениях (рисунки 7б, 7в, и 7г соответственно):
II случай – равнодействующая касательных сил, действующих на грани 1234 в направлении оси х;
III случай – равнодействующая касательных сил, действующих на грани 1234 под углом 45° к оси х;
IV случай – одновременное действие сил растяжения в направлении оси z и сжатия в направлении оси x, приложенных к граням 1234 и 4378 соответственно.
Выбор случаев нагружения обусловлен тем, что данные виды напряжённого состояния часто оказываются определяющими прочность конструкций из традиционных материалов. Величина характерного касательного напряжения задана из условия равенства эквивалентного напряжения, вычисленного по четвёртой теории прочности (Губера-Мизеса), соответствующему одноосному напряжению в первом случае. Расчёты описанных конструкций выполнялись по МКЭ с закреплениями, показанными на рисунке 5.
Примечания.
- Конструкция «16» способна воспринять самоуравновешенные нагрузки, показанные на рисунке 7а. Однако она геометрически изменяема. Поэтому в расчётах НДС конструкции с этой структурой добавлялись косые стержни, как в структуре «18», с площадью поперечного сечения на три порядка меньшей, чем в базовой конструкции Fорт.
- При вычислении Ск в качестве характерной нагрузки P использовалась равнодействующая сил, приложенных в узлах одной грани с уравновешиванием в узлах противоположной грани. При таком подходе в рассматриваемых задачах в качестве характерной одноосной нагрузки принималась Н и характерные касательные Н. В качестве характерного размера L конструкции выбиралось расстояние от плоскости приложения характерной нагрузки до противоположной – уравновешивающей. В данном случае – длина ребра L = l15 = 1,0 м. Таким образом конструкция рассматривается как устройство для передачи нагрузок P на расстояние L.
- Допускаемое напряжение во всех случаях нагружения.
Результаты расчётов НДС конструкций обрабатывались по методике раздела 1 и представлены на рисунке 8 и в таблицах 2 – 5.
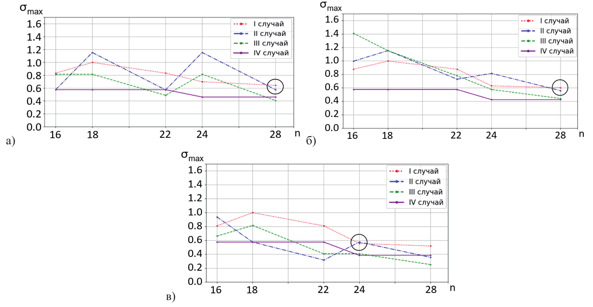
Рисунок 8 – Максимальные напряжения в стержнях: а) вариант 1, б) вариант 2, в) вариант 3
На рисунке 8 представлены максимальные напряжения для каждой структуры, выбранные из рассматриваемых случаев нагружения для каждого из трёх вариантов распределения материала в конструкциях.
Таблица 2 – Первый вариант распределения материала
16 | 24,00 | 7 | 0,833 (I) | 9,23 (II) | 4,00 (II) | 1,20 | 19,99 | 5,00 | 9,23 | 2,31 |
18 | 24,00 | 9 | 1,154 (II) | 11,42 (III) | 4,95 (III) | 0,87 | 27,70 | 6,92 | 11,42 | 2,86 |
22 | 36,00 | 13 | 0,833 (I) | 9,23 (II) | 4,00 (II) | 1,20 | 29,99 | 7,50 | 9,23 | 2,31 |
24 | 24,00 | 9 | 1,154 (II) | 6,53 (III) | 2,83 (III) | 0,87 | 27,70 | 6,92 | 6,53 | 1,63 |
28 | 36,00 | 13 | 0,644 (I) | 7,73 (I) | 3,18 (III) | 1,55 | 23,18 | 5,80 | 7,73 | 1,93 |
Таблица 3 – Второй вариант распределения материала
16 | 18,92 | 7 | 1,412 (III) | 9,22 (II) | 3,99 (II) | 0,71 | 26,72 | 6,68 | 9,22 | 2,30 |
18 | 20,48 | 9 | 1,154 (II) | 11,42 (III) | 4,95 (III) | 0,87 | 23,64 | 5,91 | 11,42 | 2,86 |
22 | 27,40 | 13 | 0,878 (I) | 9,23 (II) | 4,00 (II) | 1,14 | 24,06 | 6,02 | 9,23 | 2,31 |
24 | 28,97 | 9 | 0,816 (II) | 6,95 (I) | 2,83 (III) | 1,23 | 23,64 | 5,91 | 6,95 | 1,74 |
28 | 35,89 | 13 | 0,604 (I) | 10,63 (III) | 4,61 (III) | 1,66 | 21,68 | 5,42 | 10,63 | 2,66 |
Таблица 4 – Третий вариант распределения материала
16 | 28,00 | 7 | 0,938 (II) | 9,23 (II) | 4,00 (II) | 1,07 | 26,25 | 6,56 | 9,23 | 2,31 |
18 | 36,00 | 9 | 1,000 (I) | 11,42 (III) | 4,95 (III) | 1,00 | 36,00 | 9,00 | 11,42 | 2,86 |
22 | 52,00 | 13 | 0,810 (I) | 9,23 (II) | 4,00 (II) | 1,24 | 42,10 | 10,52 | 9,23 | 2,31 |
24 | 36,00 | 9 | 0,577 (II) | 7,55 (I) | 2,83 (III) | 1,73 | 20,78 | 5,19 | 7,55 | 1,89 |
28 | 52,00 | 13 | 0,521 (I) | 8,65 (I) | 3,10 (III) | 1,92 | 27,11 | 6,78 | 8,65 | 2,16 |
В таблице 5 даны вычисленные значения Ск для всех рассмотренных вариантов конструкций и всех случаев нагружения.
Таблица 5 – Значения коэффициента Ск
I вариант | II вариант | III вариант | ||||||||||
I | II | III | IV | I | II | III | IV | I | II | III | IV | |
16 | 1,67 | 4,00 | 3,53 | 2,00 | 1,49 | 3,99 | 3,53 | 2,00 | 1,76 | 4,00 | 3,54 | 2,00 |
18 | 1,00 | 4,00 | 4,95 | 2,00 | 1,00 | 4,00 | 4,95 | 2,00 | 1,00 | 4,00 | 4,95 | 2,00 |
22 | 1,67 | 4,00 | 3,54 | 2,00 | 1,49 | 4,00 | 3,53 | 2,00 | 1,76 | 4,00 | 3,54 | 2,00 |
24 | 1,60 | 2,00 | 2,83 | 2,40 | 1,74 | 2,00 | 2,83 | 2,52 | 1,89 | 2,00 | 2,83 | 2,67 |
28 | 1,93 | 3,00 | 3,18 | 2,40 | 1,92 | 2,63 | 4,61 | 2,52 | 2,16 | 2,76 | 3,10 | 2,67 |
3. Анализ результатов расчётов
Вычислительные эксперименты позволяют сформулировать следующие соображения.
- Относительная близость значений максимальных напряжений в конструкциях со структурами «24» и «28» в существенно различных случаях нагружения (рисунок 8) свидетельствует о том, что поставленная в работе задача найти квазиизотропную пространственную упругую систему из стержней имеет решение (с определённой точностью).
- Можно видеть (рисунок 8) практически полное совпадение максимальных напряжений (отмеченное кружками) в конструкциях «24» и «28» в случаях нагружения I и II. С точки зрения прочности сформированные стержневые конструкции ведут себя как изотропный материал, соответствующий критерию Губера-Мизеса.
- Свойство квазиизотропности в рассмотренных примерах обеспечено использованием кубической решётки Браве в качестве базовой структуры, последовательным наращиванием количества направлений дополнительных связей в структуре с сохранением симметрии относительно центра тяжести представительного объёма, а также назначением одинакового количества материала стержней по каждому направлению (рисунок 8в).
- Вычисление отношений потребных по прочности объёмов Vпр каждой из рассмотренных к минимальному объёму V4 = 4,0 конструкции из четырёх стержней, нагруженных только растяжением (рисунок 7а), даёт величины в среднем близкие к 6,0 (таблицы 2-4). Откуда следует, что хаотическое армирование в объёмных КМ позволяет реализовать не более 17% прочности армирующего материала. В примере раздела 2 соответствующее соотношение составило 3,0, которое хорошо известно для слоистых мембранных композитов и доказывается теоретически. Полученное в данной работе соотношение 6,0, по-видимому, соответствует теоретическому.
- Определённый интерес представляет анализ величин Ск. В таблицах 2 – 4 представлены результаты вычисления Ск max для конструкций в различных случаях нагружения. В эксперименте площади поперечных сечений стержней назначались от 0,707 до 2,828. Из полученных результатов следует, что величина Ск max определяется в основном структурой и ориентацией характерной нагрузки. Значительно меньше этот критерий зависит от распределения материала по элементам конструкции.
- В рассмотренных задачах величина Ск примерно одинакова по соответствующим случаям нагружения (таблица 5). Причём во втором случае эта величина, соответствующая сдвиговой нагрузке (рисунок 7б), примерно вдвое больше, чем при простом растяжении (рисунок 7а). Этот результат хорошо согласуется с примерами а) и в) на рисунке 3. Четвёртый вариант нагрузки (рисунок 7г, также сдвиговой), даёт вдвое меньшую величину Ск по отношению ко второму, что объясняется совпадением ориентации главных напряжений в этом случае нагружения с ориентацией стержней в базовой ортогональной конструкции (рисунок 5).
- В таблицах 2 – 4 дана выборка Ск max для каждой структуры из всех случаев нагружения. Через эти величины по (6) определены прогнозно-минимальные объёмы конструкции Vmin, которые могут быть получены в результате оптимизации поперечных сечений стержней по условию прочности. В этих результатах следует отметить существенное отличие Vmin от в меньшую сторону для всех структур в среднем в три раза.
- В таблицах 2 – 4 приводится информация о случаях нагружения, которые определили соответствующие значения и Ск max рассмотренных конструкций. В подавляющем большинстве – это сдвиговые нагрузки. Данный вывод соответствует выводам Дж. Гордона о важности понимания и учёта касательных напряжений конструкторами и материаловедами.
Заключение
В выполненной работе представляется наиболее существенным способ установления соответствия между пространственной структурой конструкции и величиной её безразмерного критерия силового совершенства. Методика генерации рациональных стержневых структур на основе решёток Браве может использоваться в проектной деятельности, например, для разработки модулей крупноразмерных космических конструкций и проектирования КМ различной природы. Как развитие данной работы представляет интерес проведение совместно с материаловедами силового анализа известных и перспективных кристаллических структур, которые должны обладать некоторыми экстремальными свойствами.
Таким образом, стержневое моделирование обладает определённым потенциалом для прогнозирования ряда механических характеристик материалов и конструкций.
1 В авиастроении исторически принято использовать термин вес (весовая эффективность) конструкции, понимая под этим оценку массы конструкции. Прим. ред.
Об авторах
Валерий Андреевич Комаров
Самарский национальный исследовательский университет имени академика С.П. Королева
Автор, ответственный за переписку.
Email: vkomarov@ssau.ru
Scopus Author ID: 23766833500
доктор технических наук, профессор, профессор кафедры конструкции и проектирования летательных аппаратов Самарского университета, директор научно-образовательного центра авиационных конструкций, член Российской академии инженерных наук и постоянный участник Европейского семинара в области обучения проектированию авиационных конструкций (EWADE)
Россия, СамараСписок литературы
- Архангельский В.А. Материал и конструкция. М.-Л.: Госмашметиздат, 1933. 119 с.
- Тимошенко С.П. История науки о сопротивлении материалов с краткими сведениями из истории теории упругости и теории сооружений. М.: Государственное издательство технико-технической литературы, 1957. 537 с.
- Бернштейн С.А. Очерки по истории строительной механики. М.: Государственное издательство литературы по строительству и архитектуре, 1957. 236 с.
- Гордон Дж. Почему мы не проваливаемся сквозь пол. / Пер. с англ. С.Т. Милейко; Предисл. акад. Ю.Н. Работнова. М.: Изд-во «Мир», 1971. 272 с.
- Шухов В.Г. Искусство конструкции. М.: Мир, 1994. 192 с.
- Васильев В.В. Идеи В.Г. Шухова в современной аэрокосмической технике / Сборник научных трудов: Актуальные проблемы механики: современная механика и развитие идей В.Г. Шухова. Отв. ред. Ф.Л. Черноусько. М.: Наука, 2011. 191 с. С.111-127.
- Васильев В.В. Анизогридные композитные сетчатые конструкции – разработка и применение в космической технике // Композиты и наноструктуры. 2009. №3. С.38-50.
- Перельмутер А.В. Задачи синтеза в теории сооружений (краткий исторический обзор) // Вестник Томского государственного архитектурно-строительного университета. 2016. №2. С.70-106.
- Комаров В. А. Проектирование силовых схем авиационных конструкций // Актуальные проблемы авиационной науки и техники. М.: Машиностроение, 1984. С. 114-129.
- Комаров В.А. Проектирование силовых аддитивных конструкций: теоретические основы // Онтология проектирования. 2017. Т.7 (№2). С. 191-206.
- Bendsoe M.P., Sigmund O. Topology Optimization: Theory, Methods and Applications. New York: Springer, 2003. 271 p.
- Кишов Е.А., Комаров В.А. Топологическая оптимизация силовых конструкций методом выпуклой линеаризации // Вестник Самарского университета. Аэрокосмическая техника, технологии и машиностроение. 2018. Т. 17. № 1. С. 137-149.
- Komarov V.A., Boldyrev A.V., Kuznetsov A.S., Lapteva M.Y. Aircraft design using a variable density model // Aircraft Engineering and Aerospace Technology. 2012. Vol. 84. Issue 3. P. 162-171.
- Kurkin E.I., Kishov E.A., Lukyanov O.E., Espinosa Barcenas O.U. Technique of considering the material anisotropy in topology optimization of short fibers composite structures // Journal of Physics: Conference Series. 2021. Vol. 1925. Issue 1.
- Разани Р. Поведение равнопрочной конструкции и её отношение к конструкции минимального веса // Ракетная техника и космонавтика. 1965. Том 3. №12. С.35-39.
- Горелик С.С., Расторгуев Л.Н., Скаков А.Ю. Рентгенографический и электроннооптический анализ. М.: Изд-во «Металлургия». 1970. 366 с.
- Lomov S.V., Huysmans G., Luo Y., Parnas R.S., Prodromou A., Verpoest I., Phelan F.R. Textile composites: modelling strategies // Composites Part A: Applied Science and Manufacturing. 2001. V. 32, № 10. P. 1379-1394.
- Комаров В.А., Павлов А.А., Павлова С.А. Экспериментально-аналитическое определение упругих характеристик слоистого тканевого композита // Вестник Самарского университета. Аэрокосмическая техника, технологии и машиностроение. 2022. Т.21, № 2. С. 65-79.
- Шэнли Ф.Р. Анализ веса и прочности самолетных конструкций. М.: Оборонгиз. 1957. 408 с.
- Комаров В.А. Весовой анализ авиационных конструкций: теоретические основы // Полёт. Общероссийский научно-технический журнал. 2000. №1. С. 31-39.
- Малков В.П., Угодчиков А.Г. Оптимизация упругих систем. М.: Наука, 1981. 288 с.
- Комаров А.А. Основы проектирования силовых конструкций. Куйбышев: Кн. изд-во. 1965. 88 с.
- Vasiliev V.V., Gurdal Z. Optimal Design: Theory and Applications to Materials and Structures. CRC Press, 1999. 320 p.
- Комаров В.А. Безразмерный критерий силового совершенства конструкций // Механика твёрдого тела. 2018. №4. С. 34-37.
- Болдырев А.В. Весовой анализ крыльев нетрадиционной конфигурации // Общероссийский научно-технический журнал «Полет». 2009. № 10. С. 57-60.
- Vasiliev V.V., Morozov E.V. Advanced Mechanics of Composite Materials and Structural Elements. Third Edition. Elsevier. 2013. 833p.
- Boldyrev A.V., Kozlov D.M., Pavelchuk M.V. Evaluation of Anisogrid Composite Lattice Structures Weight Ef-fectiveness using the Load-carrying Factor // Procedia Engineering. 2017. Vol. 185. P. 153-159.
- Кретов А.С., Шатаев П.А. К оценке массы фюзеляжа самолета при переходе на композиционные материалы // Известия вузов. Авиационная техника. 2020. №3. С. 17-26.
- Щербакова А.О. Тканевый композит. Оценка упругодиссипативных характеристик // Вестн. Южно-Ур. ун-та. Сер. Матем. Мех. Физ.. 2014. 6:2. С. 40–48.
Дополнительные файлы










