Designing a flight information collection system for calculating the aerodynamic characteristics of a UAV
- Authors: Hamzah H.M.1,2
-
Affiliations:
- Kazan National Research Technical University named after A.N. Tupolev
- University of Technology (UOT)
- Issue: Vol 13, No 1 (2023)
- Pages: 90-98
- Section: APPLIED ONTOLOGY OF DESIGNING
- URL: https://journal-vniispk.ru/2223-9537/article/view/250232
- DOI: https://doi.org/10.18287/2223-9537-2023-13-1-90-98
- ID: 250232
Cite item
Full Text
Abstract
The article describes the development of an onboard information collection system for calculating the aerodynamic characteristics of unmanned aerial vehicles (UAVs), which can only be obtained under free flight conditions. A functional diagram is presented, a flight parameters registration system operation algorithm is described. The proposed solutions make it possible to collect a large amount of information and improve system efficiency through the selection and compression of information. The collected information is used to determine the aerodynamic characteristics, eliminating the need to test UAVs models in wind tunnels, which can save money and time on the development of new UAVs. The features of the information exchange between the system elements are considered, which make it possible to speed up the data transfer, and therefore improve the accuracy of measurements by increasing the frequency of polling measuring devices. The results obtained may be of interest to developers of autonomous measuring systems. Of particular importancce for calculating the aerodynamic characteristics of an UAV using the proposed method is the high accuracy of measuring the parameters of the aircraft trajectory, including the linear accelerations and angular velocities that occur in the course of motion. In addition, the article considers a variant of the hardware implementation of the proposed system for UAVs.
Full Text
Введение
Достижения в аэродинамике, навигационных системах, электронике, робототехнике, компьютерных технологиях и др. позволили выйти на новый уровень в разработке беспилотных летательных аппаратов (БПЛА) [1]. В числе приоритетных направлений применения БПЛА: военные, спасательные, правоохранительные и природозащитные операции [2-4], академические исследования [5-8].
При разработке крупноразмерных БПЛА (взлётная масса более 100 кг) исследования в аэродинамических трубах можно производить на небольших масштабных моделях, а полученные на них результаты можно экстраполировать на полноразмерный аппарат с помощью теории подобия.
Целью исследования является разработка системы сбора полётной информации высокой точности для получения аэродинамических характеристик летательного аппарата (ЛА) в условиях свободного полёта. Большинство аэродинамических характеристик при разработке БПЛА определяется путём продувок в аэродинамической трубе. Некоторые аэродинамические характеристики могут быть определены только в полёте. Разрабатываемая система предназначена для определения аэродинамических характеристик БПЛА в полёте.
По совокупности регистрируемых системой данных путём вычислений можно получить направление осей ЛА и направление вектора скорости. Например, есть возможность получить угол наклона траектории - угол между направлением земной скорости и горизонтальной плоскостью нормальной системы координат. Это позволит в дальнейшем рассчитать зависимости аэродинамических коэффициентов ( , , , , , , , ) от углов атаки и скольжения, а также от скорости полёта и от скоростей вращения вокруг осей.
Система сбора информации должна регистрировать проекции вектора истинной скорости по осям траекторной системы координат. В большинстве случаев бортовой самописец БПЛА регистрирует данные об угловых скоростях в системе координат ЛА, но не имеет возможности регистрировать истинную скорость.
Для получения данных о положении ЛА в траекторной системе координат используется приёмник аппаратуры RTK (Real Time Kinematic – «кинематика реального времени») [10] работающий с навигационными спутниковыми системами (GPS, США; ГЛОНАСС, Россия; Бэйдоу, Китай) по протоколу Национальной ассоциации морской электроники (National Marine Electronics Association - NMEA), формирующий пакет с информацией о положении БПЛА и векторе его скорости.
1. Структура системы сбора полётной информации
Система сбора информации для расчёта аэродинамических характеристик имеет следующую структуру (см. рисунок 1) и включает:
Рисунок 1 – Структура системы сбора информации для расчёта аэродинамических характеристик БПЛА
Figure 1 – Structure of the information collection system for calculating the aerodynamic characteristics of the UAV
- инерциально-магнитный (измерительный) блок (Inertial Measurement Unit - IMU) для определения ориентации ЛА в земной системе координат;
- приёмник сигнала RTK для определения положения ЛА в земной системе координат, в том числе для получения проекций векторов истинной скорости;
- вычислительный блок для реализации алгоритма регистрации получаемых данных от блоков IMU и RTK и для преобразования этих данных в формат, удобный для последующей обработки записи на накопитель.
В БПЛА в качестве бортовой электроники часто используются микроконтроллеры и межмашинные интерфейсы встраиваемых систем, такие как универсальный асинхронный приёмопередатчик (Universal Asynchronous Receiver Transmitter - UART) или последовательный асимметричный интерфейс для соединения низкоскоростных периферийных компонентов с микроконтроллерами (Inter-Integrated Circuit - I2C). IMU блок представляет собой микроэлектромеханический датчик (Microelectromechanical systems - MEMS), с встроенными трёхосевым акселерометром, магнитометром, барометром и вычислителем, способным возвращать данные в цифровом виде [11-13]. IMU передаёт следующий набор данных:
- ускорения ЛА по соответствующим трём осям системы координат БПЛА (в испытуемой модели оси направлены согласно обозначениям на датчике);
- угловые скорости ЛА относительно трёх осей системы координат БПЛА;
- три угловых параметра положения ЛА: тангаж , крен , рыскание .
Для записи данных в память устройства используется программная структура из девяти указанных параметров согласно документации на микросхему, используемую в нём. В случае выполнения задачи расчёта аэродинамических характеристик из блока RTK считывается пакет BESTXYZA (Best available cartesian position and velocity - наилучшее доступное декартово положение и скорость) [14].
- Пакет BESTXYZAсодержит полный набор данных, содержащих позицию (в метрах), скорость (в м/с) и время (в секундах) регистрации (position, velocity, time - PVT): статус пакета решения по точке; тип позиционирования: координата позиции X - P-X; координата позиции Y - P-Y; координата позиции Z - P-Z; стандартное отклонение от точки P-X - P-X ; стандартное отклонение от точки P-Y - P-Y ; стандартное отклонение от точки P-Z - P-Z .
- Пакет BESTXYZA содержит информацию об истинных скоростях по осям OX, OY и ОZ земной системы координат, а также статус считываемого сообщения для коррекции и соответствующие среднеквадратические отклонения от наземной станции: статус пакета решения по скорости; тип скорости; вектор скорости по оси О-X - V-X; вектор скорости по оси О-Y - V-Y; вектор скорости по оси О-Z - V-Z; стандартное отклонение V-X - V-X ; стандартное отклонение V-Y - V-Y ; стандартное отклонение V-Z - V-Z ; измерение задержки получаемого значения скорости по временной метке, его следует вычесть из текущего времени, чтобы получить улучшенные результаты; разность времени полученного пакета; время решения.
- Пакет BESTXYZA отправляется от корректирующей станции бортовой системе и содержит: идентификатор соответствующей станции; общее количество отслеживаемых спутников; количество спутников, используемых в решении; количество спутников первого уровня, используемых при генерации в решении; количество спутников первого и второго уровней, используемых при генерации в решении [15].
Изначально пакет представляет собой сборку данных для определения лучших значений по скоростям (в текущем случае - скорость БПЛА). При формировании пакета для записи на накопитель из получаемого пакета берутся значения P-X, P-Y, P-Z, а так же значения среднеквадратических отклонений P-X , P-Y и P-Z для получения информации об угловых скоростях БПЛА на момент регистрации состояния объекта.
2. Алгоритм сбора и регистрации полётной информации БПЛА
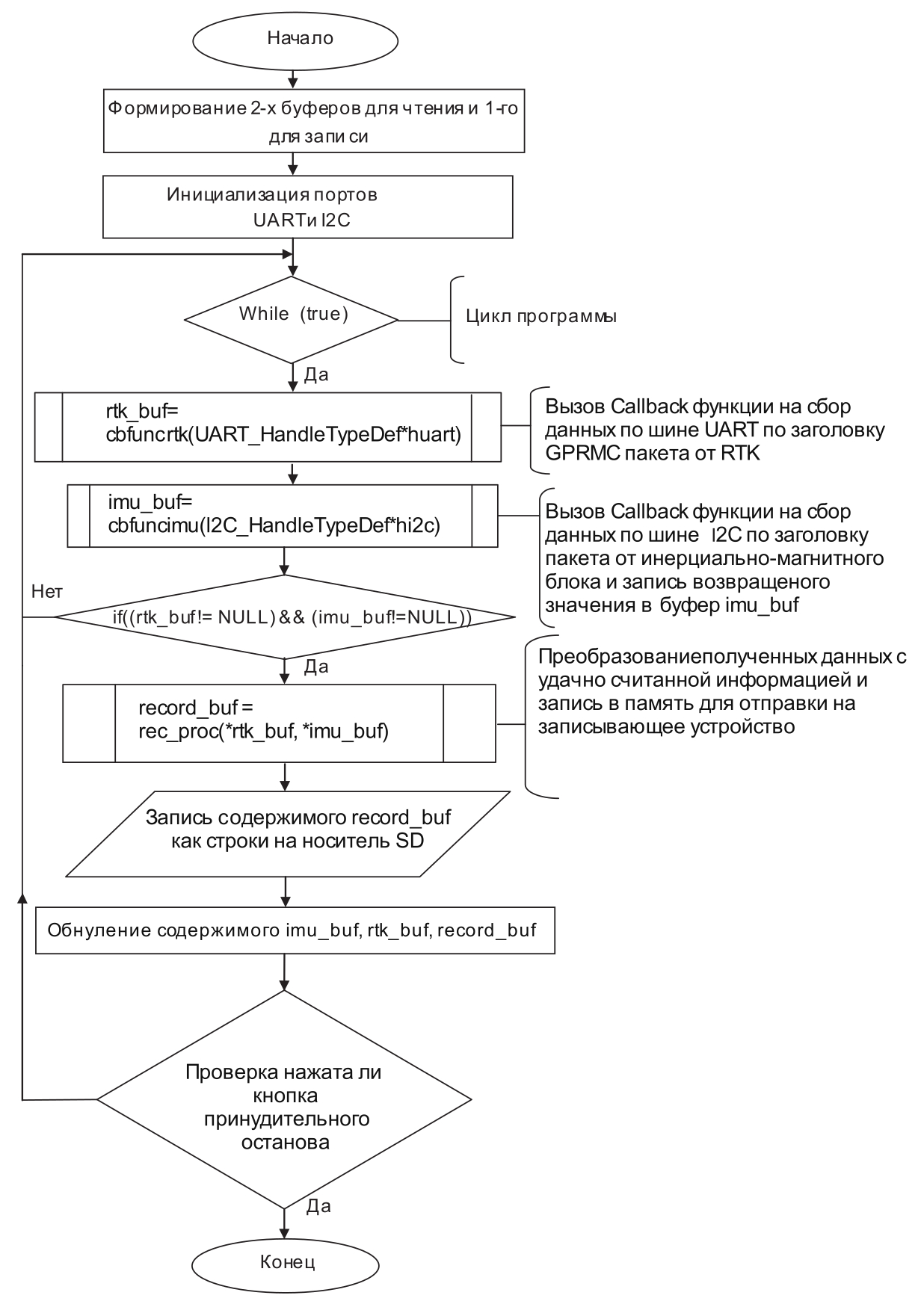
Алгоритм сбора и регистрации полётной информации о пространственном положении и движении БПЛА для расчёта его аэродинамических характеристик реализован в виде программы на языке С для микроконтроллера, являющегося вычислителем системы сбора полётной информации (см. рисунок 2). Программа разделяется на две части. В первой части создаются три структуры с полями, соответствующими принимаемым данным от IMU и RTK блоков и полям выходного пакета для формирования записи переработанных данных на внешний накопитель. Эти структуры являются буферами для чтения и записи данных. Вторая часть программы представляет из себя бесконечный цикл, в каждом проходе по циклу производится опрос шин, на которых находятся IMU и RTK блоки. Так как время регистрации данных от блоков не детерминировано, то принятые данные записываются в буферы, объявленные в первой части программы.
Рисунок 2 – Алгоритм сбора и регистрации полётной информации для расчёта аэродинамических характеристик БПЛА
Figure 2 – Algorithm for collecting and recording flight information to calculate the aerodynamic characteristics of a UAV
В структуре буферов во избежание наложения записей прописаны дополнительные поля для временно́й метки. Когда оба буфера принимаемой информации заполнены, программа переходит к считыванию необходимых полей для записи на внешний накопитель и формирует запись буфера выходного пакета. После формирования выходного пакета буферы, принимающие информацию, очищаются для следующей записи, а функция записи считывает данные из буфера отправки и записывает данные на внешний накопитель.
В бесконечном цикле последовательно считываются данные из шин I2C и UART (см. рисунок 1) с помощью функций cbfuncrtk и cbfuncimu (см. рисунок 2). Результатом является запись в буферные структуры. Если обе структуры были удачно записаны, то данные передаются функции rec_proc для преобразования в выходной формат, после чего производится запись на внешний носитель.
В результате получена схема, состоящая из двух структур, описывающих блок данных, полученных от инерциальной системы, и блок данных, полученный от RTK на борту ЛА. Из полученных структур формируется пакет для регистрации, выгрузки и последующего изучения полученных параметров. Пакет формируется в текстовом формате. Универсальная текстовая форма позволяет конвертировать полученные данные в форматы, удобные для машинной обработки или чтения их в текстовом редакторе (см. рисунок 3). На способ определения аэродинамических характеристик летательного аппарата по результатам лётного эксперимента получен патент на изобретение (см. рисунок 4).
Аппаратный блок (см. рисунок 5) выполнен в виде микроконтроллера, который выполняет функцию вычислителя разрабатываемой системы, и группы дополнительного периферийного оборудования для сопряжения с блоками RTK и IMU.
Аппаратный блок устанавливается на платформу в корпус испытательного БПЛА (см. рисунок 6), где он сопрягается с информационной сетью (UART) устройства автоматического пилотирования.
Рисунок 3 – Структурная схема получения и сохранения полётных данных
Figure 3 – Block diagram of receiving and saving flight data
Рисунок 4 – Патент на изобретение № 2790358 от 17.02.2023
Figure 4 – Patent for invention No. 2790358 dated 02/17/2023
Рисунок 5 – Общий вид аппаратного блока: контроллер (1), блоки RTK (2) и IMU (3)
Figure 5 – General view of the hardware unit: controller (1), RTK units (2) and IMU (3)
Рисунок 6 – Аппаратный блок, установленный в корпус перед монтированием основной системы управления БПЛА
Figure 6 – Hardware unit installed in the housing before mounting the main UAV control system
3. Использование накопленной информации для определения характеристик БПЛА
По накопленным данным можно определить параметры движения БПЛА, необходимые для вычисления аэродинамических характеристик:
, , (1)
где – угол наклона траектории, – угол направления горизонтального движения, VN – проекция истинной скорости на северное направление, VE - проекция истинной скорости на восточное направление, VH - вертикальная проекция истинной скорости.
Чтобы определить аэродинамические характеристики, необходимо построить модель пространственного движения БПЛА, которая имеет вид [16]:
, (2)
где – вектор вторых производных от перемещений в неподвижной системе координат, – вектор ускорения силы тяжести, P – вектор силы тяги двигателя и других сил, связанных с планером БПЛА, RA – вектор аэродинамических сил, m – масса БПЛА, M -1 – обратные матрицы поворота, необходимые для определения проекций сил, заданных в системе координат БПЛА или скоростной системе координат, на земную систему координат для углов поворота: γ – угол крена, ϑ – угол тангажа, ψ– угол курса БПЛА, Θ – угол наклона траектории, Ψ – угол направления горизонтального движения.
Зная уравнение движения, можно построить систему линейных уравнений [16]:
, (3)
где А – матрица коэффициентов, В – вектор правых частей, содержащий результаты измерений. Матрицы А и В имеют следующий вид:
,
. (4)
Прямые и обратные матрицы поворотов не являются перестановочными, поэтому заменить присутствующие в произведениях пары прямых и обратных матриц поворота вокруг одной и той же оси на единичную матрицу не получится. В системе уравнений не присутствуют в явном виде углы атаки и скольжения, что с одной стороны требует дополнительного их вычисления при обработке данных, с другой стороны облегчает использование в процессе лётного эксперимента высокоточных навигационных систем RTK. В процессе штатной работы определяются только проекции истиной скорости на земную систему координат, что позволяет легко определять углы наклона траектории и горизонтального направления движения, а не углы атаки и скольжения [16].
Рисунок 7 – Пример определения аэродинамического коэффициента подъёмной силы по результатам эксперимента
Figure 7 – An example of determining the aerodynamic lift coefficient based on the results of the experiment
После определения аэродинамических сил можно вычислить их коэффициенты.
Пример результата вычислительного эксперимента показан на рисунке 7. Этап первый – имитация движения с помощью динамической модели движения ЛА с заданными аэродинамическими коэффициентами (линия на рисунке 7). Этап второй – решение обратной задачи согласно предложенному алгоритму для получения аэродинамических коэффициентов ЛА (точки на рисунке 7), движение которого моделировалось на первом этапе. Высокая точность совпадения в данном случае объясняется тем, что исследовались результаты численного эксперимента, в котором все случайные факторы были заранее известны. Для проведения реального, лётного эксперимента необходима специальная измерительная система, проектированию которой и посвящена данная статья.
Заключение
Разработана программа, решающая две задачи - измерения и регистрации параметров полёта БПЛА. Задача записи на внешний носитель решается сразу после считывания, пошаговое преобразование внутри задач не вызывает задержек во время выполнения.
Разработанная система и программное обеспечение позволяют собирать информацию, необходимую для определения аэродинамических характеристик БПЛА с помощью метода, предложенного в статье [16].
About the authors
Hamzah M. A. Hamzah
Kazan National Research Technical University named after A.N. Tupolev; University of Technology (UOT)
Author for correspondence.
Email: mazinhamza641@gmail.com
ORCID iD: 0000-0003-2782-7000
SPIN-code: 8990-0688
4th year postgraduate student at the Department of Aerohydrodynamics
Russian Federation, Kazan; BaghdadReferences
- Prosvirina HV. Analysis and prospects for the development of unmanned aerial vehicles [In Russian]. Moscow Economic Journal. 2021; 10: 560-575. doi: 10.24412/2413-046X-2021-10619.
- Mammadov AZ. Model of inertial navigation for unmanned aerial vehicles [In Russian]. Universum: technical sciences: electron. scientific magazine 2021; 5(86): 5-9. doi: 10.32743/UniTech.2021.86.5.11683.
- Kuznetsov GA, Kudryavtsev IV, Krylov ED. Retrospective analysis, current state and development trends of domestic unmanned aerial vehicles [In Russian]. Engineering Journal: Science and Innovations. 2018; 9: 1-22. doi: 10.18698/2308-6033-2018-9-1801.
- Guo Hongtao, Yu Yan, Hongya Xia, Li Yu, Binbin Lv. The Prediction and Correction Method of Aircraft Static Aeroelastic Effects: A Review of Recent Progress. Actuators 2022 11, no.11: 309. (1-20) doi: 10.3390/act11110309.
- Hamzah MA, Mikhaylov S, Makhanko A. Algorithm for Determining Aerodynamic Characteristics based on the Results of a Flight Experiment. Design Engineering, 202214547-14559. http://thedesignengineering.com/index.php/DE/article/view/8638.
- Soldatkin VV, SoldatkinVM. Building a model and signal processing of a multifunctional receiver in aircraft aerometric systems [In Russian]. Izv. universities.instrumentation. 2021; 64(7): 551–558. doi: 10.17586/0021-3454-2021-64-7-551-558.
- Rendal W. Beard and Timothy W. McLain. Small unmanned aerial vehicles: theory and practice. TECHNOSPHERE, 2014. 312 p. ISBN 978-5-94836-393-6.
- Lukyanov OE, Barcenas OUE, Zolotov DV. Experimental Model of an Electric Power Plant for Small UAV's Automatic Control Systems, 2021 International Scientific and Technical Engine Conference (EC), Samara, Russian Federation, 2021, pp.1-4, doi: 10.1109/EC52789.2021.10016802.
- Lukyanov OE, Zolotov DV. Methodological support for the training of designers and operators of unmanned aerial vehicles [In Russian]. Bulletin of the Samara University. 2021; 20(1): 14-28, doi: 10.18287/2541-7533-2021-20-1-14-28.
- Mohsan SAH, Khan MA, Noor F, Ullah I, Alsharif MH. Towards the Unmanned Aerial Vehicles (UAVs): A Comprehensive Review. Drones 2022; 6, 147(1-27). doi: 10.3390/drones6060147.
- Pflüger J, Von Langsdorff M,Breitsamter C. Efficacy of an elasto-flexible morphing wing at high lift using fluid-structure-interaction simulations. Front. Aerosp. Eng. 2022. 1:975600. P.1-14. doi: 10.3389/fpace.2022.9756004.
- Stöcker C, Bennett R, NexF, Gerke M, Zevenbergen J. Review of the current state of UAV regulations. In: Remote Sensing 9.5 (2017). P.33–35. doi: 10.3390/rs9050459.
- Mikhailovsky KV, Baranovsky SV. Accounting for icing of the wing surface made of polymer composite materials in design calculations [In Russian]. News of higher educational institutions. Engineering. 2019; 3: 61–70. doi: 10.18698/0536-1044-2019-3-61-70.
- LIS331DLH.MEMS digital output motion sensor ultra low-power high performance 3-axes “nano” accelerometer. July 2009 Doc ID 15094 Rev 3. 38 p.https://www.st.com/resource/en/datasheet/lis331dlh.pdf.
- BESTXYZ. Best available cartesian position and velocity https://docs.novatel.com/OEM7/Content/Logs/BESTXYZ.htm.
- Mikhailov SA, Makhanko AA, Hamza MAH. Algorithm for determining aerodynamic characteristics based on the results of a flight experiment [In Russian]. Izv. universities. Aviation technology. 2022; 1: 123–130.
Supplementary files









