Regional peculiarities of dry matter content in the phytomass fractions of scots pine trees
- Authors: Usoltsev V.A.1,2, Plyukha N.I.1, Tsepordey I.S.2
-
Affiliations:
- Ural State Forest Engineering University
- Botanical Garden, Ural Branch of the Russian Academy of Sciences
- Issue: No 3 (63) (2024)
- Pages: 6-19
- Section: FORESTRY
- URL: https://journal-vniispk.ru/2306-2827/article/view/277993
- DOI: https://doi.org/10.25686/2306-2827.2024.3.6
- EDN: https://elibrary.ru/MQBVKU
- ID: 277993
Cite item
Full Text
Abstract
Introduction. Qualimetry of the aboveground and belowground biomass of trees is an integral part of studies on the biological productivity and carbon deposition capacity of the forest cover, necessary for the correct assessment of the carbon cycle in the terrestrial biosphere in relation to climate change. Dry matter content (DMC) in phytomass fractions determines the specificity of the tree productional process, so an appropriate database is needed for its assessment in transcontinental gradients.
The availability of the first author's database on the qualimetry of forest-forming species of Northern Eurasia made it possible to formulate the purpose of the study, which was to study the regional features of DMC in the aboveground and belowground phytomass of Scots pine in Northern Eurasia.
Objects and methods. To achieve the purpose of the research, 3,700 DMC indicators of the aboveground phytomass and 89 DMC indicators of the root phytomass of Scots pine obtained on the territory of eight regions of Northern Eurasia were selected from the author's database of qualimetric indices of major Northern Eurasian species. On their basis, mixed-type regression models were built that included two types of independent variables: numerical variables taking values from a continuous series of numbers, and dummy variables representing discrete qualitative characteristics, in particular, the belonging of data to a certain species.
Results. Models of the dependence of DMC on the tree age and the stem diameter at breast height including a set of dummy variables have been built. The regression coefficients for numerical variables are significant at the probability level from p<0.001 to p<0.05, which means that the constructed models, differentiated by regions of Northern Eurasia, are characterized by a statistically significant contribution of tree age and stem diameter to the explanation of DMC variability in all phytomass fractions.
Conclusion. The ranking of regions by the DMC value in phytomass fractions revealed significant differences between them. These differences reach 10, 14, 22 and 14 % for DMC in stem wood, stem bark, needle-foliage and branches, respectively. Of the phytomass fractions, the greatest interregional difference (22 %) falls on the DMC in the needle-foliage, with a maximum in Western Siberia and a minimum in the center of the Russian Plain. The presented patterns of DMC changes in various phytomass fractions can be useful in estimating the absolutely dry phytomass and carbon deposition capacity of pine forests in different regions of Northern Eurasia.
Full Text
Введение
В последние годы мировая лесная экология характеризуется интенсивными исследованиями биологической продуктивности лесов в предположении антропогенного изменения климата и поиска возможностей его стабилизации. Квалиметрия надземной и подземной фитомассы является одним из направлений в исследованиях биологической продуктивности и углероддепонирующей способности лесного покрова, необходимых для корректной оценки углеродного цикла в земной биосфере в связи с изменением климата [1].
Для глобального количественного описания биосферных функций лесного покрова, в частности, его углероддепонирующей способности, необходимы соответствующие базы данных, включающие в себя количественные характеристики мировых лесов. Развивающиеся возможности IT-технологий открывают для этого широкие перспективы, а термин Big Data становится одним из ключевых (https://www.osp.ru/iz/bigdata2018/). Основная цель Big Data, тесно связанных с облачными технологиями, заключается в использовании огромных вычислительных и депозитарных ресурсов под централизованным управлением. Развитие облачных вычислений решает проблему хранения и обработки больших данных. Технология распределённого хранения информации, основанная на облачных вычислениях, искусственном интеллекте и нейронных сетях, даёт возможность эффективно управлять «большими данными» [2]. В связи с наступлением эры больших данных (Big Data Era) [3] актуализируется формирование мировых баз данных о количественных и качественных показателях фитомассы растительного покрова. Наличие подобных планетарных баз данных даёт возможность корректной оценки глобальной биосферной роли лесного покрова планеты.
Известно, что квалиметрические характеристики деревьев и древостоев довольно изменчивы и варьируют с возрастом, а также в связи с экологическими и другими факторами [4]. В условиях непрерывно возрастающей глобальной роли лесного покрова планеты исследование квалиметрических показателей деревьев и древостоев становится одним из приоритетных направлений. Развитие неразрушающих методов оценки квалиметрических показателей фитомассы деревьев и технологий наземного и дистанционного лазерного зондирования создаёт условия для прогресса в этом приоритетном научном направлении. Оперативное прогнозирование содержания влаги в древесине методом спектроскопии в ближнем инфракрасном диапазоне позволяет снизить расходы на её обработку и оптимизировать процесс сушки за счёт предварительного распределения сортиментов по классам влажности [5].
Содержание сухого вещества во фракциях фитомассы деревьев (показатель, обратный влажности) является одним из ключевых признаков, дающих сведения о механических свойствах древесины и полезную информацию для многих промышленных и научных целей. Большинство физиологических процессов, связанных с транспирацией и фотосинтезом в листьях, невозможны без участия воды. Влажность растительных тканей определяет специфику физиологии растений. Для поддержания жизнедеятельности клеткам растений требуется 85–89 % воды, и от содержания воды в растительных тканях зависит рост и устойчивость растений [6]. ССВ в листве влияет на ход процесса фотосинтеза, продуцирования ассимилятов, связывания СО2 и выделения кислорода [7].
Одной из ключевых характеристик продуктивности ассимиляционного аппарата является удельная поверхность листвы или хвои (specific leaf area – SLA) как отношение поверхности к абсолютно сухой массе [8]. Она может быть определена по её связи с ССВ. Эта зависимость, описанная степенной функцией по эмпирическим данным 780 выборок листвы в совокупности древесных, кустарниковых и травянистых растений, объяснила 92 % изменчивости удельной поверхности листвы [9]. ССВ рассматривалось и как мера концентрации сухого вещества в объёме различных фракций фитомассы растений. Поскольку определение их объёма намного более трудоёмко, чем определение ССВ, при оценке SLA в качестве наиболее перспективной была признана её зависимость от ССВ [10]. Для совокупности древесных и травянистых видов на 49 пробных площадях в Англии было проведено сравнительное исследование зависимости надземной чистой первичной продукции сообществ от ССВ и от удельной поверхности листвы и установлено, что ССВ объясняет наибольшую долю изменчивости первичной продукции (55 %) по сравнению с удельной поверхностью листвы, оценка которой к тому же намного трудозатратнее, чем ССВ [11].
Показатель ССВ имеет также значение при оценке калорийности древесины [12]. Сведения о ССВ представляют наибольший интерес с точки зрения проблематики фитомассы деревьев, оцениваемой в абсолютно сухом состоянии. ССВ является одним из важных свойств растений, изучаемых в экологии, и объясняет наибольшую долю изменчивости первичной продукции растений. Моделирование ССВ во фракциях фитомассы деревьев даёт возможность селекции генотипов с максимальным его содержанием и формирования древостоев с повышенным ССВ путём лесохозяйственных мероприятий [12].
С целью изучения пространственной изменчивости ССВ в листве этот показатель был измерен у 5 641 вида растений из 72 растительных сообществ Китая, охватывающих большинство наземных экосистем. Было установлено, что ССВ в листве в среднем составляет 69 %, оно снижается с увеличением влажности почв и увеличивается в сухих условиях. Изменчивость ССВ в листве растительных сообществ была выше в засушливых районах, и виды с более низким ССВ были более чувствительны к изменениям окружающей среды [13].
Способность растительных тканей к горению является ключевой характеристикой для понимания режима пожаров, сформировавших территориальное распределение экосистем и влияющих на эволюцию растений и биогеохимические циклы по всему миру. Это связано с тем, что при наличии источника воспламенения большинство наземных растений могут гореть при заданных диапазонах влажности окружающей среды и горючих материалов, в том числе фракций фитомассы лесного полога. В частности, рассчитываются регрессионные зависимости видоспецифичных спектральных характеристик листвы от содержания в ней влаги с целью снижения риска возникновения пожара [14]. Поскольку водный статус разных фракций растений в различных экологических условиях может сильно различаться, предприняты попытки стандартизировать процедуры его определения [3, 9].
По сравнению с публикациями, посвящёнными изучению плотности древесины, количество работ с результатами по ССВ сравнительно меньше. Иногда приводятся данные ССВ как средние значения для той или иной фракции фитомассы исследуемого объекта [15], иногда они рассчитываются по связи с возрастом дерева и/или диаметром ствола [16]. Известно, что ССВ в древесине ствола у хвойных снижается в направлении от его основания к вершине в связи с увеличением доли заболони [17–19]. На Среднем Урале установлено изменение ССВ в древесине и коре стволов кедра сибирского, берёзы, сосны, ели и пихты в зависимости от диаметра ствола и положения вдоль оси ствола. На ССВ в ветвях влияло также положение вдоль оси кроны. У берёзы на статистически значимом уровне ССВ снижается при увеличении возраста дерева как в листве, так и в ветвях деревьев [18, 19], а у кедра сибирского ССВ с возрастом в хвое снижается, но в ветвях увеличивается [18]. Для трёх древесных пород лесостепной зоны были предложены четырёхэтапные алгоритмы определения ССВ в древесине и коре ствола по результатам обработки дисков, взятых на 10 относительных высотах ствола, и включающие в качестве одного из промежуточных этапов расчёт модели сбега древесины и коры стволов [20].
В хвое культур сосны обыкновенной в степной зоне Украины ССВ варьирует от 43 до 62 % (в среднем 53 %) и изменяется пропорционально возрасту дерева, а также – диаметру ствола и высоте дерева. Аллометрические модели связи ССВ в хвое с каждым из названных дендрометрических показателей объясняют изменчивость ССВ у сосны обыкновенной на 16–21 % и у робинии – на 31–36 % [21]. В древостоях пихты китайской и лиственницы корейской в Китае установлена положительная связь ССВ во всех фракциях дерева с его возрастом. В целом, в силу действия многих неучтённых факторов, связи ССВ во фракциях фитомассы с диаметром ствола и возрастом дерева могут быть неустойчивыми и у разных пород могут иметь противоположный характер [22].
При исследовании фитомассы ельников был сделан вывод, что ССВ в древесине не может быть определено с достаточной точностью не деструктивным способом, т. е. замером только дендрометрических показателей деревьев. Для этого необходимо взятие кернов в стволах исследуемых деревьев. Величину ССВ в растениях часто определяют на основе взаимосвязи с базисной плотностью [23], объясняющей 82–99 % общего варьирования искомого показателя, но подобные модели могут применяться только в случаях, когда известна базисная плотность растительной ткани.
Насколько нам известно, результаты исследований географических закономерностей изменения ССВ в надземной фитомассе довольно редки [24], а в подземной – отсутствуют. Наше предыдущее исследование было посвящено анализу изменения ССВ во фракциях надземной фитомассы для каждого из 13 лесообразующих родов в градиентах географической широты и долготы [24]. При этом из дендрометрических показателей деревьев, используемых в качестве независимых переменных, наряду с географическими координатами, оказались статистически значимы лишь возраст и диаметр ствола.
Наличие впервые сформированной базы данных о квалиметрии лесообразующих пород Северной Евразии [25] позволило сформулировать цель нашего исследования – выявить региональные особенности ССВ в надземной и подземной фитомассе сосны обыкновенной на территории Северной Евразии, для чего разработать региональные регрессионные модели ССВ в фитомассе, описывающие его зависимость от дендрометрических показателей деревьев.
Объекты и методы исследования
Из упомянутой базы данных [25] отобраны 3 700 показателей ССВ в надземной фитомассе и 89 – в фитомассе корней сосны обыкновенной, полученных на территории восьми регионов Северной Евразии. Их характеристика дана в табл. 1.
Таблица 1. Статистики показателей модельных деревьев, включённых в регрессионный анализ
Table 1. Statistics of indicators of model trees included in the regression analysis
Обозначение статистик(а) | Анализируемые показатели(б) | ||||||
A | D | Sw | Sbk | Sf | Sbr | Sr | |
Северо-Запад РФ | |||||||
Mean | 108,7 | 13,9 | 48,4 | 48,6 | 46,9 | 48,4 | 49,3 |
Min | 20,0 | 2,0 | 32,4 | 37,5 | 31,3 | 37,5 | 44,2 |
Max | 200,0 | 30,0 | 54,2 | 54,4 | 55,1 | 53,2 | 55,6 |
SD | 75,4 | 7,4 | 4,8 | 3,4 | 5,4 | 4,0 | 1,9 |
CV, % | 69,4 | 53,0 | 9,9 | 7,1 | 11,5 | 8,2 | 3,9 |
n | 33 | 33 | 33 | 33 | 33 | 33 | 33 |
Центр Русской равнины | |||||||
Mean | 81,2 | 23,4 | 49,6 | 48,8 | 36,0 | 46,1 | 48,3 |
Min | 10,0 | 2,0 | 27,3 | 33,8 | 31,0 | 33,9 | 30,7 |
Max | 150,0 | 52,0 | 68,8 | 75,0 | 55,8 | 57,0 | 67,0 |
SD | 46,4 | 14,1 | 7,6 | 6,0 | 4,9 | 5,4 | 6,5 |
CV, % | 57,2 | 60,1 | 15,2 | 12,3 | 13,6 | 11,8 | 13,5 |
n | 56 | 56 | 56 | 52 | 56 | 56 | 56 |
Украина | |||||||
Mean | 66,0 | 26,0 | 51,0 | 53,9 | 46,6 | 46,7 | - |
Min | 9,0 | 7,0 | 35,2 | 32,0 | 38,9 | 36,3 | - |
Max | 175,0 | 55,0 | 74,1 | 71,7 | 56,5 | 59,1 | - |
SD | 39,6 | 11,7 | 7,2 | 9,4 | 4,8 | 5,4 | - |
CV, % | 60,0 | 45,0 | 14,2 | 17,4 | 10,3 | 11,5 | - |
n | 47 | 47 | 47 | 47 | 42 | 46 | - |
Средний Урал | |||||||
Mean | 24,2 | 9,5 | 39,3 | 39,8 | 42,0 | 42,4 | - |
Min | 15,0 | 2,4 | 30,0 | 28,6 | 33,0 | 33,0 | - |
Max | 32,0 | 20,0 | 55,6 | 62,5 | 57,0 | 67,0 | - |
SD | 6,5 | 4,7 | 4,9 | 5,8 | 5,3 | 8,1 | - |
CV, % | 26,8 | 49,7 | 12,5 | 14,5 | 12,6 | 19,1 | - |
n | 144 | 144 | 105 | 105 | 68 | 68 | - |
Южный Урал | |||||||
Mean | 78,2 | 21,4 | 52,4 | 54,0 | 47,7 | 47,0 | - |
Min | 44,0 | 7,0 | 40,1 | 36,9 | 40,0 | 41,0 | - |
Max | 126,0 | 33,7 | 66,5 | 70,5 | 59,0 | 53,0 | - |
SD | 17,6 | 7,6 | 6,7 | 7,8 | 2,7 | 2,3 | - |
CV, % | 22,5 | 35,5 | 12,7 | 14,4 | 5,6 | 4,9 | - |
n | 185 | 185 | 126 | 126 | 101 | 101 | - |
Тургайский прогиб | |||||||
Mean | 26,6 | 7,0 | 44,2 | 48,3 | 47,1 | 45,1 | - |
Min | 9,0 | 0,3 | 27,1 | 28,6 | 30,6 | 32,6 | - |
Max | 110,0 | 34,5 | 75,0 | 83,5 | 61,2 | 66,6 | - |
SD | 17,9 | 5,3 | 7,3 | 11,5 | 5,4 | 5,4 | - |
CV, % | 67,3 | 75,5 | 16,4 | 23,8 | 11,6 | 12,0 | - |
n | 3246 | 3246 | 3246 | 3246 | 910 | 444 | - |
Западная Сибирь | |||||||
Mean | 33,6 | 12,6 | 43,7 | 42,0 | 53,7 | 53,1 | - |
Min | 10,0 | 1,9 | 30,0 | 31,0 | 38,0 | 40,3 | - |
Max | 90,0 | 50,4 | 61,0 | 60,0 | 72,0 | 67,0 | - |
SD | 17,7 | 6,7 | 6,5 | 6,2 | 7,7 | 6,4 | - |
CV, % | 52,5 | 53,4 | 14,9 | 14,7 | 14,4 | 12,1 | - |
n | 181 | 181 | 82 | 75 | 181 | 181 | - |
Средняя Сибирь | |||||||
Mean | 50,0 | 9,3 | 50,1 | 51,8 | 51,0 | 49,9 | - |
Min | 50,0 | 3,2 | 43,4 | 46,8 | 47,4 | 46,9 | - |
Max | 50,0 | 19,0 | 57,4 | 58,8 | 53,8 | 53,2 | - |
SD | - | 4,3 | 4,2 | 3,7 | 1,7 | 1,8 | - |
CV, % | - | 46,3 | 8,5 | 7,2 | 3,2 | 3,6 | - |
n | 15 | 15 | 13 | 13 | 15 | 15 | - |
Примечание: (a) Mean, Min и Max – соответственно среднее, минимальное и максимальное значения; SD – стандартное отклонение; CV – коэффициент вариации; n – число наблюдений. (б) A – возраст дерева, лет; D – диаметр ствола на высоте груди, см; Sw, Sbk, Sf, Sbr, Sr – соответственно ССВ в древесине ствола, коре ствола, хвое, ветвях и корнях, %.
Эмпирические данные ССВ на пробных площадях получены на спиленных модельных деревьях деструктивным методом [26]. Значения ССВ древесины и коры получены по 3–10 дискам, выпиленным вдоль по стволу, а значения для ствола в целом рассчитаны как средневзвешенные, пропорционально объёму отрезков ствола, от которых взяты диски. ССВ хвои и ветвей рассчитаны по навескам, взятым из средней части всей кроны или трёх равных секций, на которые делили крону вдоль по стволу. В последнем случае рассчитывали среднее для кроны значение. ССВ дисков (отдельно древесины и коры) и навесок хвои и ветвей рассчитано путём взвешивания, сушки до постоянной массы и повторного взвешивания.
При моделировании фитомассы деревьев получили распространение модели смешанного типа (mixed-effects modeling) [27]. Аллометрическая модель смешанного типа включает две разновидности независимых переменных – численные, принимающие значения из непрерывного ряда чисел, и фиктивные переменные, представляющие дискретные качественные характеристики, например, принадлежность данных к той или иной породе. Поскольку аллометрические закономерности относительно подобны у различных пород деревьев, строится модель фитомассы смешанного типа для нескольких древесных пород одновременно. Так были построены модели надземной и подземной фитомассы в зависимости от диаметра ствола для восьми пород Китая. Включение в модели блока фиктивных переменных дало возможность ранжировать древесные породы по величине фитомассы равновеликих деревьев [27].
Аналогичный принцип построения модели смешанного типа мы применили при решении задачи нашего исследования. Схема кодирования восьми регионов представлена в табл. 2.
Таблица 2. Схема кодирования восьми регионов Северной Евразии, в которых определено ССВ в фитомассе деревьев сосны обыкновенной
Table 2. The coding scheme of eight regions of Northern Eurasia, in which dry matter content in the phytomass of Scots pine trees is determined
Регион | Блок фиктивных переменных | ||||||
Х1 | Х2 | Х3 | X4 | X5 | X6 | X7 | |
Северо-Запад РФ (СЗР) | 0 | 0 | 0 | 0 | 0 | 0 | 0 |
Центр Русской равнины (ЦРР) | 1 | 0 | 0 | 0 | 0 | 0 | 0 |
Украина (Укр) | 0 | 1 | 0 | 0 | 0 | 0 | 0 |
Средний Урал (СУ) | 0 | 0 | 1 | 0 | 0 | 0 | 0 |
Южный Урал (ЮУ) | 0 | 0 | 0 | 1 | 0 | 0 | 0 |
Тургайский прогиб (ТП) | 0 | 0 | 0 | 0 | 1 | 0 | 0 |
Западная Сибирь (ЗС) | 0 | 0 | 0 | 0 | 0 | 1 | 0 |
Средняя Сибирь (СС) | 0 | 0 | 0 | 0 | 0 | 0 | 1 |
Результаты и их обсуждение
На основе изложенного выше, в качестве исходной мы приняли следующую структуру модели:
(1)
где Si – ССВ в i-й фракции фитомассы, а именно, Sw, Sbk, Sf, Sbr и Sr – соответственно в древесине и коре ствола, хвое, ветвях и корнях, %; А и D – соответственно возраст дерева, лет, и диаметр ствола на высоте груди, см; ΣaiXi – блок фиктивных переменных в количестве (i+1); a0, b1 и b2 – регрессионные коэффициенты уравнения. Результаты расчёта модели (1) для фракций надземной фитомассы приведены в табл. 3.
Таблица 3. Характеристики уравнения (1)
Table 3. Characteristics of equations (1)
Зависимые переменные | Регрессионные коэффициенты и независимые переменные | adjR2(2) | SE(3) | |||||||||
a0(1) | b1 ln(A) | b2 ln(D) | a1X1 | a2X2 | a3X3 | a4X4 | a5X5 | a6X6 | a7X7 | |||
ln(Sw) | 2,9961 | 0,2437 | -0,1003 | 0,1762 | 0,2806 | 0,1219 | 0,2049 | 0,1864 | 0,2137 | 0,1824 | 0,506 | 0,116 |
ln(Sbk) | 3,5153 | 0,1194 | -0,0542 | 0,0382 | 0,2004 | -0,0820 | 0,1378 | 0,0724 | -0,0263 | 0,0993 | 0,105 | 0,208 |
ln(Sf) | 3,6889 | 0,0227 | 0,0240 | -0,3069 | -0,0107 | -0,0846 | 0,0085 | 0,0514 | 0,1613 | 0,1088 | 0,352 | 0,116 |
ln(Sbr) | 3,7172 | 0,0553 | -0,0348 | -0,0093 | 0,0380 | -0,1348 | 0,0038 | -0,0220 | 0,1596 | 0,0575 | 0,326 | 0,118 |
ln(Sr) | 3,8368 | -0,0379 | 0,0926 | -0,0757 | - | - | - | - | - | - | 0,281 | 0,080 |
Примечание: здесь и далее: (1) свободный член в уравнениях скорректирован на величину поправки exp(SE2/2) [28]; adjR2(2) – коэффициент детерминации, скорректированный на число переменных; SE(3) – стандартная ошибка оценки.
Поскольку данные для ССВ в корнях имеются лишь для двух регионов, соответствующая модель рассчитана по иной схеме фиктивных переменных, а именно, Х0 – для Северо-Запада РФ и Х1 – для центра Русской равнины. Несмотря на сравнительно невысокие показатели коэффициентов детерминации (от 0,11 до 0,51), численные переменные во всех уравнениях (1) оказались значимыми на уровне от p < 0,001 до p <0,05.
Поскольку в модели (1) статистически значимыми оказались две независимые численные переменные, её геометрическая интерпретация может быть выполнена в 3D-формате. Однако 3D-формат модели исключает возможность наглядного сопоставления эмпирических и расчётных искомых показателей в изометрии или аксонометрии. Для обеспечения возможности показа зависимости ССВ от одной независимой переменной в 2D-формате, например, от возраста дерева на фоне эмпирических данных, мы рассчитали вспомогательные уравнения:
для надземной фитомассы
(2)
и для корней
(3)
Численные переменные в уравнениях (2) и (3) значимы на уровне p <0,001. Путём подстановки уравнений (2) и (3) в уравнение (1) и табулирования последнего по задаваемым значениям возраста и номерам фиктивных переменных мы получили графические изображения зависимостей ССВ от возраста по восьми регионам для надземной фитомассы и для двух регионов для корней на фоне эмпирических данных (рис. 1 и 2).
Рис. 1. Изменение расчётных значений ССВ в надземной фитомассе в зависимости от возраста дерева (A) на фоне эмпирических данных по 8 регионам Северной Евразии; а, б, в, г – соответственно ССВ в древесине ствола (Sw), коре ствола (Sbk), хвое (Sf) и ветвях (Sbr), %
Fig. 1. Change in the calculated values of DMC in aboveground phytomass depending on the tree age (A) in the context of empirical data for eight regions of Northern Eurasia; a, b, c, d – DCM in stem wood (Sw), stem bark (Sbk), foliage (Sf) and branches (Sbr), respectively (%)
Рис. 2. Изменение расчётных значений ССВ в корнях (Sr) в зависимости от возраста дерева (A) на фоне эмпирических данных по двум регионам Северной Евразии, %
Fig. 2. Change in the calculated values of DMC in the roots (Sr) depending on the tree age (A) in the context of empirical data for two regions of Northern Eurasia (%)
Мы видим на рис. 1 и 2, что ССВ во всех фракциях фитомассы увеличивается с возрастом деревьев, и благодаря использованию фиктивных переменных возрастные тренды ССВ взаимно согласованы по регионам. Наибольшие ССВ в древесине приходятся на Украину и Среднюю Сибирь и наименьшие – на Северо-Запад РФ; наибольшие значения ССВ в коре – соответственно на Украину, и наименьшие – на степи Тургайского прогиба; наибольшие значения ССВ в хвое – на Западную Сибирь и наименьшие – на Тургайский прогиб; наибольшие значения ССВ в ветвях – на Западную Сибирь и наименьшие – на Средний Урал. В корнях сосны ССВ на Северо-Западе РФ несколько выше, чем в центре Русской равнины (рис. 2).
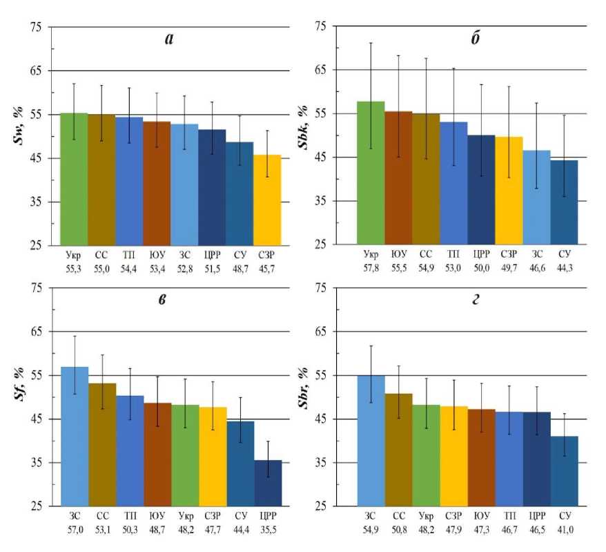
Для наглядности сопоставлений выполнено ранжирование регионов по величине ССВ в разных фракциях надземной фитомассы (рис. 3).
Рис. 3. Ранжирование регионов по величине ССВ в разных фракциях надземной фитомассы; а, б, в, г – соответственно ССВ в древесине ствола, коре ствола, хвое и ветвях, %. Обозначения регионов в табл. 2. Цифры вдоль оси абсцисс показывают значения ССВ для соответствующих регионов
Fig. 3. Ranking of regions by DMC in different fraction of aboveground phytomass; a, b, c, d – DMC in stem wood, stem bark, foliage and branches, respectively (%). See region designations in Table 2. The numbers along the abscissa axis show DMC values for the respective regions
Значения ССВ во фракциях фитомассы при среднем возрасте 100 лет в разных регионах показаны в табл. 4.
Таблица 4. Средние значения ССВ во фракциях фитомассы в разных регионах (среднее значение ± среднеквадратическое отклонение)
Table 4. Mean values of DMC in phytomass fractions in different regions (mean value ± standard deviation)
Регион | ССВ во фракциях фитомассы, % | ||||
Sw | Sbk | Sf | Sbr | Sr | |
Северо-Запад РФ | 45,7±5,3 | 49,7±10,4 | 47,7±5,5 | 47,9±5,7 | 51,8±5,2 |
Центр Русской равнины | 51,5±6,0 | 50,0±10,5 | 35,5±4,1 | 46,5±5,5 | 49,8±5,0 |
Украина | 55,3±6,4 | 57,8±12,1 | 48,2±5,6 | 48,2±5,7 | – |
Средний Урал | 48,7±5,7 | 44,3±9,3 | 44,4±5,2 | 41,0±4,9 | – |
Южный Урал | 53,4±6,2 | 55,5±11,6 | 48,7±5,7 | 47,3±5,6 | – |
Тургайский прогиб | 54,4±6,3 | 53,0±11,1 | 50,3±5,9 | 46,7±5,5 | – |
Западная Сибирь | 52,8±6,1 | 46,6±9,8 | 57,0±6,6 | 54,9±6,5 | – |
Средняя Сибирь | 55,0±6,4 | 54,9±11,5 | 53,1±6,2 | 50,8±6,0 | – |
Отмеченная выше положительная связь ССВ во всех фракциях фитомассы с возрастом дерева, полученная в нашем исследовании (рис. 1), согласуется с аналогичной зависимостью, полученной в кедровниках для ССВ в древесине и ветвях, но противоречит отрицательной зависимости с возрастом для ССВ в хвое [18].
Мы получили статистически значимые закономерности изменения ССВ в зависимости от возраста и диаметра ствола дерева, однако модели для коры ствола, хвои и ветвей характеризуются относительно низкими коэффициентами детерминации. Это означает, что в регрессионный анализ были привлечены необходимые и статистически значимые, но далеко не достаточные независимые переменные. В частности, содержание влаги в компонентах фитомассы варьирует даже в течение суток, оно сильно зависит от погодных условий дня и месяца, генетической изменчивости и других факторов, определяющих физиологическое состояние дерева, которые пока не подлежат учёту. Низкие коэффициенты детерминации были показаны также в работах, посвящённых исследованию ССВ в фитомассе других пород. Например, в кедровниках Урала возраст и диаметр ствола объясняли изменчивость ССВ в коре ствола на 37 %, а в хвое и ветвях – на 27 % [18]. В березняках Урала возраст дерева и диаметр ствола объясняли изменчивость ССВ в коре ствола на 12 %, в листве на 21 % и в ветвях на 35 %, но в наибольшей степени в древесине ствола – на 63 % [19].
Выводы
- Построенные в нашей работе модели зависимости ССВ в фитомассе деревьев от возраста дерева и диаметра ствола сосны обыкновенной, дифференцированные по регионам Северной Евразии, характеризуются статистически значимым вкладом возраста дерева и диаметра ствола в объяснение изменчивости ССВ во всех фракциях фитомассы.
- Ранжирование регионов по величине ССВ показало наличие существенных различий между ними. Эти различия достигают для ССВ в древесине ствола, коре ствола, хвое и ветвях соответственно 10, 14, 22 и 14 %. Из фракций фитомассы наибольшее межрегиональное различие (22 %) приходится на ССВ в хвое, с максимумом в Западной Сибири и минимумом в центре Русской равнины.
- Представленные закономерности изменения ССВ в различных фракциях фитомассы могут быть полезны при оценках углероддепонирующей способности сосновых лесов.
About the authors
Vladimir A. Usoltsev
Ural State Forest Engineering University; Botanical Garden, Ural Branch of the Russian Academy of Sciences
Author for correspondence.
Email: Usoltsev50@mail.ru
ORCID iD: 0000-0003-4587-8952
SPIN-code: 3668-6843
Doctor of Agricultural Sciences, Chief Researcher, Professor of the Department of Forest Mensuration and Management
Russian Federation, 37, Sibirskii Trakt, Yekaterinburg, 620100; 202а, 8 Marta St., Yekaterinburg, 620144
Nikolai I. Plyukha
Ural State Forest Engineering University
Email: Usoltsev50@mail.ru
SPIN-code: 4682-7412
Postgraduate student of the Ural State Forestry Engineering University
Russian Federation, 37, Sibirskii Trakt, Yekaterinburg, 620100Ivan S. Tsepordey
Botanical Garden, Ural Branch of the Russian Academy of Sciences
Email: Usoltsev50@mail.ru
ORCID iD: 0000-0002-4747-5017
SPIN-code: 3853-7684
Candidate of Agricultural Sciences, Researcher
Russian Federation, 202а, 8 Marta St., Yekaterinburg, 620144References
- Vaughan D., Auty D., Kolb T. E. et al. Climate has a larger effect than stand basal area on wood density in Pinus ponderosa var. scopulorum in the southwestern USA. Annals of Forest Science. 2019;76(3). Art. 85. doi: 10.1007/s13595-019-0869-0
- Chen M., Mao S., Liu Y. Big Data: A Survey. Mobile Networks and Applications. 2014;19(2):171–209. doi: 10.1007/s11036-013-0489-0
- Ocampo-Zuleta K., Pausas J. G., Paula S. FLAMITS: a global database of plant flammability traits. Global Ecology and Biogeography. 2023;33(3):412–425. doi: 10.1111/geb.13799
- Tomczak A., Jelonek T., Jakubowski M. et al. The effect of tree slenderness on wood properties in Scots pine. Part II: modulus of rupture and modulus of elasticity. Annals of Warsaw University of Life Sciences. Forestry and Wood Technology. 2016; 96(1):188–194.
- Defo M., Taylor A. M., Bond B. Determination of moisture content and density of fresh-sawn red oak lumber by near infrared spectroscopy. Forest Products Journal. 2007;57(5):68–72.
- Maiti R., González Rodríguez H., Ivanova N. S. Autoecology and ecophysiology of woody shrubs and trees: сoncepts and applications. Chichester: John Wiley & Sons Ltd.; 2016. 384 p. doi: 10.1002/9781119104452
- Nakvasina E. N. Assimilation apparatus as factor of Scotch pine adaptation to change of growth climatic conditions. Lesnoy Zhurnal (Russian Forestry Journal). 2009;(3):12–19. EDN: MUEKMV (In Russ.).
- Utkin A. I., Ermolova L. S., Utkina I. A. Surface area of forest plants: essence, parameters, use. Moscow: Nauka Publ., 2008. 292 p. EDN: QKQUAR (In Russ.).
- Garnier E., Shipley B., Roumet C. et al. A standardized protocol for the determination of specific leaf area and leaf dry matter content. Functional Ecology. 2001;15(5):688–695. doi: 10.1046/j.0269-8463.2001.00563.x
- Shipley B., Vu T.-T. Dry matter content as a measure of dry matter concentration in plants and their parts. New Phytologist. 2002;153(2):359–364. doi: 10.1046/j.0028-646X.2001.00320.x
- Smart S. M., Glanville H. C., del Carmen Blanes M. et al. Leaf dry matter content is better at predicting aboveground net primary production than specific leaf area. Functional Ecology. 2017;31(6):1336–1344. doi: 10.1111/1365-2435.12832
- Kumar H., Baredar P., Agrawal P. et al. Effect of moisture content on gasification efficiency in down draft gasifier. International Journal of Scientific Engineering and Technology. 2014;3(4):411–413.
- Wang R., He N., Li S. et al. Variation and adaptation of leaf water content among species, communities, and biomes. Environmental Research Letters. 2021;(16). Art. 124038. doi: 10.1088/1748-9326/ac38da
- Villacrés J., Arevalo-Ramirez T., Fuentes A. et al. Foliar moisture content from the spectral signature for wildfire risk assessments in Valparaíso-Chile. Sensors. 2019;19(24). Art. 5475. doi: 10.3390/s19245475
- Pozdnyakov L. K. Forest resource studies. Novosibirsk: Nauka Publ., 1973. 120 p. (In Russ.).
- Bi H., Murphy S., Volkova L. et al. Additive biomass equations based on complete weighing of sample trees for open eucalypt forest species in south-eastern Australia. Forest Ecology and Management. 2015;349:106–121. doi: 10.1016/j.foreco.2015.03.007
- Isaeva L. N. Features of moisture distribution in various parts of Siberian cedar trunks. In: Proceedings of the V.N. Sukachev Institute of Forest and Timber of the SB Academy of Sciences of the USSR. Moscow: Publishing House of the USSR Academy of Sciences, 1963. Pp. 77–82. (In Russ.).
- Usoltsev V. A., Lazarev I. S., Krudyshev V. V. et al. Quantitative and qualitative components of biological productivity of Pinus sibirica Du Tour forests of the Urals. In: Collection of scientific works of scientists and specialists of the Faculty of Economics and Management of the Ural State Forest Engineering University. Iss. 3. Yekaterinburg: USFEU Publ., 2012. Pp. 261–270. (In Russ.).
- Usoltsev V. A., Vorobeichik E. L., Bergman I. E. Biological productivity of Ural forests under conditions of air pollutions: a study of a system of regularities. Monograph. Yekaterinburg: USFEU Publ., 2012. 365 p. EDN: QLDEWD (In Russ.).
- Usoltsev V. A. Growth and structure of stand phytomass. Monograph. Novosibirsk: Nauka Publ., 1988. 253 p. EDN: SRBVNT (In Russ.).
- Sytnyk S., Lovynska V., Lakyda I. Foliage biomass qualitative indices of selected forest forming tree species in Ukrainian Steppe. Folia Oecologica. 2017;44(1):38–45. doi: 10.1515/foecol-2017-0005
- Zhou L., Saeed S., Sun Y. et al. The relationships between water storage and biomass components in two conifer species. Peer Journal. 2019;(7). Art. e7901. doi: 10.7717/peerj.7901
- Sulaiman S. A., Guangul F. M., Konda R. E. et al. Estimation of moisture content of oil palm fronds through correlation with density for the process of gasification. BioResources. 2016;11(4):8941–8952. doi: 10.15376/biores.11.4.8941-8952
- Usoltsev V. A., Tsepordey I. S. Dry matter content in the biomass of trees of 13 species of Eurasia: geographical aspects. Conifers of the Boreal Area. 2022;40(3):194–201. doi: 10.53374/1993-0135-2022-6-194-201 ; EDN IXXMOW (In Russ.).
- Usoltsev V. A. Stem taper, density and dry matter content in biomass of trees growing in Central Eurasia. CD-monograph. Yekaterinburg: USFEU Publ.; 2020. Available from: https://elar.usfeu.ru/handle/123456789/9649 [Accessed 20 December 2023]. EDN: GAVEGX (In Russ.).
- Usoltsev V. A. Modeling of the structure and dynamics of tree stand phytomass. Monograph. Krasnoyarsk: Publishing House of the Krasnoyarsk State University, 1985. 192 p. EDN: TFMPKD (In Russ.).
- Zeng W. S. Developing tree biomass models for eight major tree species in China. In: Biomass volume estimation and valorization for energy. J. S. Tumuluru (Ed.). Chapter 1. Rijeka, Croatia: Intech Publ., 2017. 516 p. Pp. 3–21. doi: 10.5772/65664
Supplementary files




