Structural–Morphological and Rheological Features of Joint Solutions of Cellulose and PAN Copolymer in N-Methylmorpholine-N-Oxide
- Authors: Vinogradov M.I.1, Makarov I.S.1, Golova L.K.1, Bondarenko G.N.1, Kulichikhin V.G.1
-
Affiliations:
- Topchiev Institute of Petrochemical Synthesis, Russian Academy of Sciences
- Issue: Vol 65, No 3 (2023)
- Pages: 212-224
- Section: СМЕСИ ПОЛИМЕРОВ
- URL: https://journal-vniispk.ru/2308-1120/article/view/135334
- DOI: https://doi.org/10.31857/S2308112023700499
- EDN: https://elibrary.ru/MJWOLK
- ID: 135334
Cite item
Full Text
Abstract
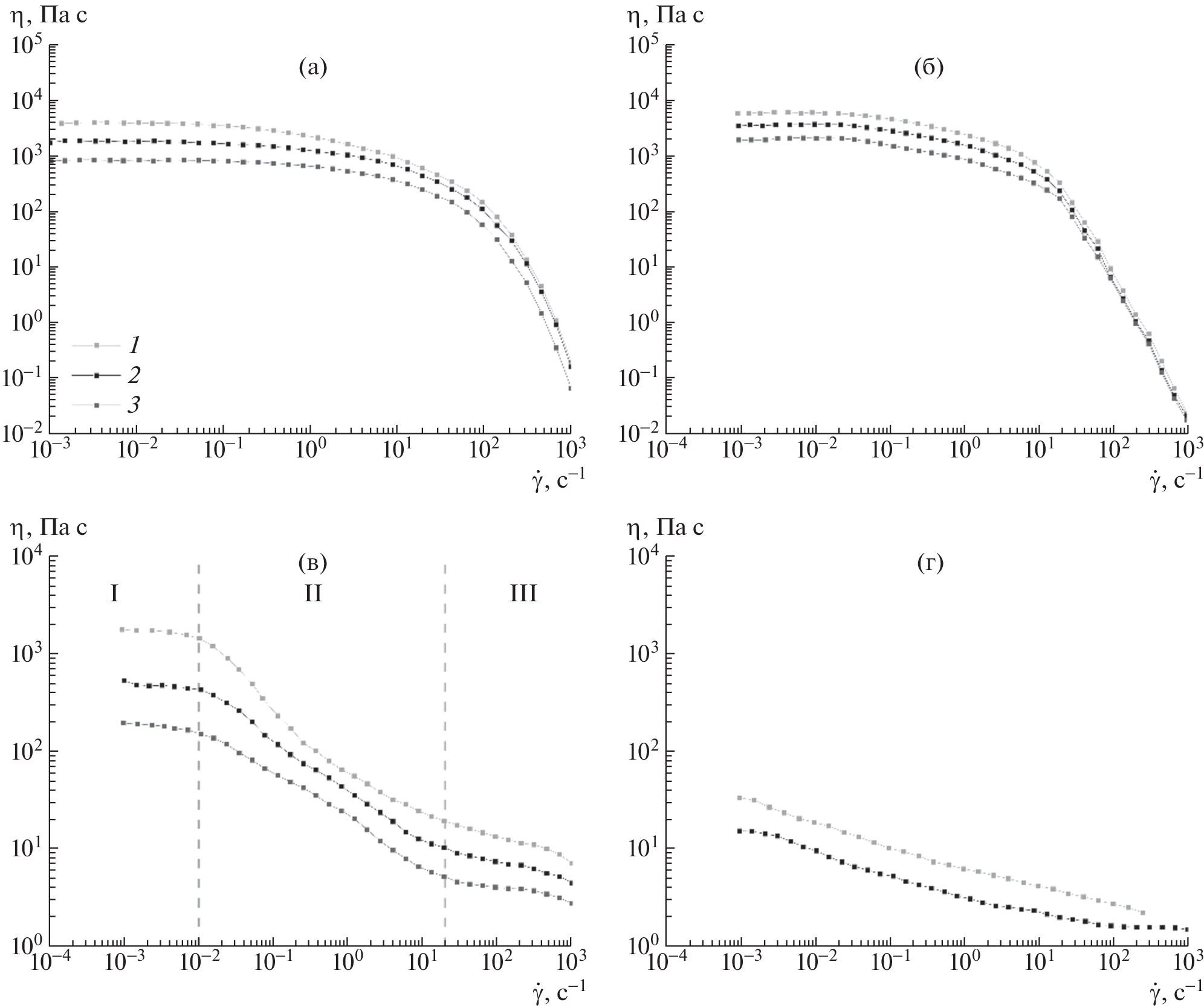
Mixed 18% solutions of cellulose and PAN terpolymer containing methyl acrylate and methylsulfonate comonomers in N-methylmorpholine-N-oxide have been obtained over the entire range of compositions. All the obtained systems based on cellulose and PAN are biphasic, and the morphological features of the emulsions change from highly dispersed isotropic to fibrillar depending on the phase composition and the intensity of the deformation effect. At high shear stresses that emerge during preparation of the solutions in an extruder, all emulsions are characterized by the same microheterogeneous morphology, which is transformed into fibrillar by deformation. An IR spectroscopic study has established that in the preparation process, specific interactions occur between the functional groups of macromolecules of the cocomponents, leading to the formation of PAN/cellulose associates, which undergo hydrophobic repulsion along the interfaces. It is this process that initiates the fibrillation of the cellulose solution phase in the presence of a PAN solution during deformation. The rheological behavior of mixed solutions over the entire range of concentrations in continuous and dynamic modes at temperatures of 110–130°C is a direct consequence of the phase composition and morphological transformations occurring during deformation. Emulsion compositions characterized by viscoelastic properties that make it possible to successfully form composite fibers have been chosen.
About the authors
M. I. Vinogradov
Topchiev Institute of Petrochemical Synthesis, Russian Academy of Sciences
Email: makarov@ips.ac.ru
119991, Moscow, Russia
I. S. Makarov
Topchiev Institute of Petrochemical Synthesis, Russian Academy of Sciences
Email: makarov@ips.ac.ru
119991, Moscow, Russia
L. K. Golova
Topchiev Institute of Petrochemical Synthesis, Russian Academy of Sciences
Email: makarov@ips.ac.ru
119991, Moscow, Russia
G. N. Bondarenko
Topchiev Institute of Petrochemical Synthesis, Russian Academy of Sciences
Email: makarov@ips.ac.ru
119991, Moscow, Russia
V. G. Kulichikhin
Topchiev Institute of Petrochemical Synthesis, Russian Academy of Sciences
Author for correspondence.
Email: makarov@ips.ac.ru
119991, Moscow, Russia
References
- Mikhailov N.V., Ukhanova Z.V., Karetina T.I. // Fibre Chem. 1959. № 1. P. 18.
- Mikhailov N.V., Smirnova B.N., Nessonova G.D. // Fibre Chem. 1971. V. 2. № 4. P. 314.
- Iovleva M.M., Smirnova V.N., Budnitskii G.A. // Fibre Chem. 2001. V. 33. P. 262.
- Hattori M., Yamazaki H., Saito M., Hisatani K., Okajima K. // Polym. J. 1996. № 28. P. 594.
- Zhang J., Yamagishi N., Gotoh Y. // Cellulose. 2019. V. 26. P. 889.
- Byrne N., Leblaisa A., Fox B. // J. Mater. Chem. A. 2014. V. 2. P. 3424.
- Golova L.K. // Fibre Chemisty. 1996. V. 28. № 1. P. 5.
- Куличихин В.Г., Голова Л.К. Растворы целлюлозы в оксидах третичных аминов: межмолекулярные взаимодействия, структура, реология. Научные основы химической технологии углеводов. М.: Изд-во ЛКИ, 2008.
- Makarov I.S., Golova L.K., Kuznetsova L.K., Rebrov A.V., Berkovich A.K., Skvortsov I.Yu., Kulichikhin V.G. // Russ. J. Gen. Chem. 2017. V. 87. P. 1351.
- Golova L.K., Makarov I.S., Vinogradov M.I., Kuznetsova L.K., Kulichikhin V.G. // Polymer Science A. 2018. V. 60. № 6. P. 756.
- Golova L.K., Bondarenko G.N., Makarov I.S., Kuznetsova L.K., Vinogradov M.I., Kulichikhin V.G. // Polymer Science A. 2020. V. 62. № 6. P. 597.
- Пат. 1645308 Россия. 1992.
- Пат. 2541473 Россия. 2014.
- Zhang W., Okubayashi S., Bechtold T. // Cellulose. 2005. V. 12. P. 267.
- Fink H.P., Weigel P., Purz H.J., Ganster J. // Prog. Polym. Sci. 2001. V. 26. P. 1473.
- Kulichikhin V., Golova L., Makarov I., Bondarenko G., Makarova V., Ilyin S., Skvortsov I., Berkovich A. // Eur. Polym. J. 2017. V. 92. P. 326.
- Тарасевич Б.Н. ИК-спектры основных классов органических соединений. Справочные материалы. М.: МГУ, 2012. С. 26.
- Feldstein M.M., Kiseleva T.I., Bondarenko G.N., Kostina J.V., Singh P., Cleary G.W. // J. App. Polym. Sci., 2009. V. 112. P. 1142.
- Nelson M.L., O’Connor R.T. // J. Appl. Polym. Sci. 1964. V. 8. P. 1325.
Supplementary files

















