Люминесцентные свойства фотоотвержденных акриловых полимерных матриц, содержащих органическую флуоресцентную диаду
- Authors: Матвеева И.А.1, Шашкова В.Т.1, Любимов А.В.1, Любимова Г.В.1, Кольцова Л.С.1, Шиёнок А.И.1, Зайченко Н.Л.1
-
Affiliations:
- Федеральный исследовательский центр химической физики им. Н.Н. Семёнова Российской академии наук
- Issue: Vol 66, No 2 (2024)
- Pages: 87-98
- Section: ФУНКЦИОНАЛЬНЫЕ ПОЛИМЕРЫ
- URL: https://journal-vniispk.ru/2308-1120/article/view/266565
- DOI: https://doi.org/10.31857/S2308112024020013
- EDN: https://elibrary.ru/MZSQAC
- ID: 266565
Cite item
Full Text
Abstract
Изучены люминесцентные свойства органической диады, молекула которой объединяет два разных люминофора – гидроксизамещенный 2,4,5-триарилимидазольный и 8-азометин-7-гидроксикумариновый, в полученных методом фотоотверждения семнадцати полимерных матрицах – линейных поли(мет)акрилатах, отличающихся содержанием гидроксильных групп, и в акриловых сетчатых полимерах, различающихся природой поперечных олигомерных блоков. Установлена зависимость люминесцентных свойств материалов от длины волны возбуждающего света, а также от наличия и количества гидроксильных групп в полимерах, наличия уретановых групп, простых эфирных связей, ароматических фрагментов (по отдельности или в их комбинации), гибкости и условной полярности матрицы.
Full Text
ВВЕДЕНИЕ
К числу наиболее важных материалов для новых технологий безусловно относятся органические люминесцентные, которые широко применяют в связи с прогрессом в области искусственного освещения, разработки дисплеев, флуоресцентных биомедицинских инструментов, люминесцентной дефектоскопии и для многих других специальных целей [1–6]. Соединения, характеризующиеся зависящей от длины волны возбуждения множественной люминесценцией, могут быть использованы для создания нового поколения так называемых “умных” материалов для молекулярной электроники – молекулярных переключателей, логических устройств и т. д. [2–5]. Среди этих соединений предпочтение отдается органическим материалам по сравнению с их неорганическими аналогами из-за их низкой стоимости, легкости настройки, получения в растворах, низкой токсичности и значительной гибкости [7].
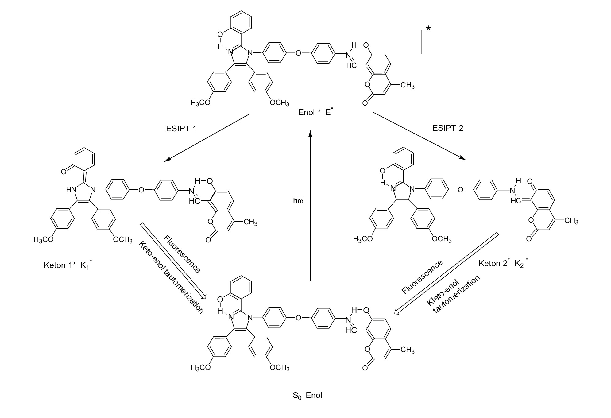
Ранее [8] была синтезирована органическая диада I, молекула которой вмещает два различных по природе люминофора – тетраарилимидазольный и азометинокумариновый, соединенных дифенилоксидным мостиком, чтобы препятствовать передаче энергии между ними (см. схему 1).
Схема 1
В каждом из представленных люминесцирующих фрагментов диады I может протекать внутримолекулярный перенос протона в возбужденном состоянии (ВППВС), приводя к появлению двух эмиссий – синей с максимумом при 430–450 нм и зеленой с максимумом при 530 нм, соотношение между которыми зависит от природы растворителя и длины волны возбуждающего света [8] (см. схему 2).
Схема 2
Поведение диады особенно отличается в растворе этанола: при возбуждении светом 330 нм прослеживаются уже три пика люминесценциис максимумами при 390, 445 и 530 нм. При возбуждении светом длиной волны 375 нм наблюдаются две эмиссии (445 и 530 нм), а при возбуждении светом длиной волны 460 нм – одна с максимумом при 530 нм. Для установления природы этих эмиссий были исследованы спектрально-люминесцентные свойства модели II, соответствующей азометинокумариновому фрагменту диады [8] (см. схему 3).
Схема 3
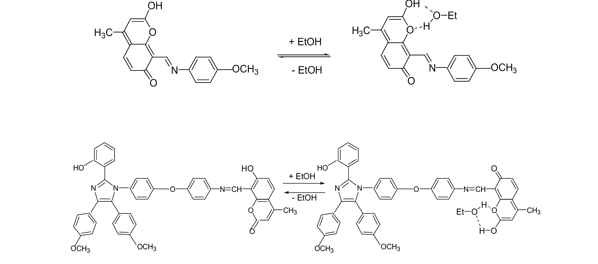
Соединение II в растворах существует в равновесии енол–кетон. Следует отметить, что в апротонных средах преобладает енольная форма, а содержание кето-формы, имеющей полосу поглощения ~450 нм, увеличивается в протонных растворителях, например в этаноле. Далее показаны таутомерные формы соединения II (см. схему 4).
Схема 4
В CH2Cl2 наблюдается одна полоса люминесценции соединения II с максимумом 535 нм, обусловленная ВППВС протона гидроксильной группы на атом N связи C=N. В этаноле присутствуют несколько полос эмиссии, их соотношение зависит от длины волны возбуждения: при возбуждении 330 нм – три полосы (390, 440 и 530 нм), при возбуждении 375 нм – две (440 и 530 нм) и при возбуждении 460 нм – одна с максимумом 530 нм. Полоса люминесценции с максимумом при 390 нм – это люминесценция енольной формы кумаринового фрагмента с максимумом при 440 нм – люминесценция ассоциата кумарина со спиртом или аниона, с максимумом при 530 нм – люминесценция, возникшая в результате ВППВС [9]. Предполагаемые структуры ассоциатов азометинокумарина и диады с этанолом (см. схему 5).
Схема 5
Очевидно, что сочетание двух люминесцирующих фрагментов в диаде I позволяет ожидать проявления различных комбинаций люминесцентных откликов гибридного соединения на световое возбуждение в зависимости от длины волны возбуждения и природы среды, в том числе и полимерных матриц.
В настоящей работе представлен обзор результатов изучения особенностей проявления люминесцентных свойств органической диады, характеризующейся множественной люминесценцией, в матрицах полимеров, полученных методом фотоотверждения акриловых композиций, широко используемых при производстве изделий различного назначения [10–12]. Известно, что изменение природы и строения олигомерных блоков, их длины, количества и природы реакционных групп в исходном олигомере не только влияет на кинетику и механизм превращения олигомеров в полимеры, но и на свойства образующихся сетчатых полимеров. Очевидно, что природа олигомерных блоков будет отражаться и на свойствах люминофоров, введенных в олигомер.
В качестве полимерных матриц были использованы линейные поли(мет)акрилаты, отличающиеся количеством гидроксильных групп, алифатические и ароматические сетчатые поли(мет)акрилаты и поликарбонатметакрилаты [13–15] с различной природой поперечных олигомерных мостиков. Также для полноты картины приведены неопубликованные данные по люминесцентным свойствам полиуретан(мет)акрилатов, содержащих эту диаду. Такое систематическое исследование соединений с множественной люминесценцией в полимерах проводится впервые.
ЭКСПЕРИМЕНТАЛЬНАЯ ЧАСТЬ
→ Синтез люминесцентной диады I и модельного соединения II был описан в работе [8].
→ Для получения полимерных пленок применяли низковязкие полимеризационноспособные акриловые мономеры, образующие линейные полимеры: монометакриловый эфир этиленгликоля (МЭГ), структурная формула СН2=С(СН3)‒СОО(СН2)2‒ОН ([ОН] = 13%), и метакриловый эфир метоксиформиата этиленгликоля (МОК), структурная формула СН2=С(СН3)‒СОО(СН2)2‒ОСООСН3 ([ОН] = 0%).
Чтобы оценить влияние концентрации гидроксильных групп на люминесценцию в пленках задействовали полимерные матрицы, содержащие 4.9% [ОН] (МЭГ/МОК-4) и 7% [ОН] (МЭГ/МОК-7).
Затем исследовали полимерные пленки, полученные из уретан(мет)акрилатов, образующих сетчатые полимеры с содержащими уретановые группы поперечными мостиками:
ОУМА-21
ROCONHC6H7(CH3)3CH2NHCOOR1OCNHCH2 ×
× C6H7(CH3)3NHOCOR
R = CH2=C(CH3) COOCH2CH2; R1 = CH2=(CH(CH3) O)n, где n = 30–35
ОУА-123
ROCONH[C6H7(CH3)3CH2]NHCOOR R = CH2=CHCOOCH2CH(CH3)
ОУМ-1
ROCONH[C6H3(CH3) NHCOOR1OCNH ×
× (C6H3(CH3))]NHOCOR
R = CH2=C(CH3) COOCH2CH2; R1 = ((CH2)4O)m, где m = 15‒20
Для получения пленок также использовали бифункциональные мономеры, образующие алифатические сетчатые полимеры:
Диметакрилат 1,4-бутандиола (МБ)
СH2=C(CH3)C(O)ОCH2CH2CH2CH2ОС(О) ×
× С(СН3)=СH2
Диметакрилат триэтиленгликоля (ТГМ-3)
СH2=C(CH3)C(O) ×
× OCH2CH2ОCH2CH2ОCH2CH2ОС(О) ×
× С(СН3)=СH2
Диакрилат дипропиленгликоля (ДАДПГ)
СH2=CHC(O)ОCH2CH(СН3) ОCH2CH(СН3) ×
× ОС(О)СН=СH2
Диакрилат полиэтиленгликоля (ДАПЭ 600)
СH2=CHC(O)О(CH2CH2О)nС(О)СН=СH2, где n ~ 13
Вместе с тем применяли бифункциональные мономеры, образующие ароматические сетчатые полимеры:
Диакрилат оксипропилированного бисфенола А (ФГА) (см. схему 6).
Схема 6
Диакрилат оксиэтилированного бисфенола А (ФЭА) (см. схему 7).
Схема 7
Также исследовали полимеры олигокарбонатметакрилатов (ОКМ) общей формулы
СН2=С(СН3)‒СО О‒СН2СН2О‒СО О R О‒
‒СО‒О‒СН2СН2О‒СОС(СН3)=СН2,
где ОКМ-1 ‒ R = ‒C2Н4‒; ОКМ-2 ‒ R = ‒(C2Н4) × × О(C2Н4); ОКМ-2/1 ‒ R = ‒(C2Н4)О(C2Н4)‒О‒
‒СО‒О(C2Н4)О(C2Н4)‒О‒СОО(C2Н4)О(C2Н4)‒; ОКМ-7 ‒ R = ‒C6Н4‒ (подсоединение в мета-положение); ОКМ-5 ‒ R = ‒C6Н4‒С(СН3)2‒C6Н4‒.
Мономеры МЭГ, ФГА и ФЭА были предоставлены фирмой “Aldrich”; ТГМ-3, ДАДПГ, ДАПЭ 600 – фирмой “Leman”. OУMA-21 УИФ – промышленный продукт Российского производства (г. Дзержинск) с М ~ 2.5 × 103, который получали взаимодействием изофорондиизоцианата, полипропиленгликоля (М = 2.0 × 103) и МЭГ; OУA-123 молекулярной массы 482 – это продукт взаимодействия изофорондиизоцианата и моноакрилата 1,2-изопропанола, МОК, МБ и OУМ-1 (М ~ 2.5 × 103). Методики и детальное описание получения всех представленных выше олигокарбонатметакрилатов приведены в работах [16–19].
Чистота указанных олигомеров составляла ~97%, все реактивы предварительно проверяли хроматографически. Для приготовления растворов применяли органические растворители фирмы “Acros Organics” марки “для спектроскопии”.
Полимерные пленки с добавкой исследуемых соединений готовили методом фотополимеризации мономеров МЭГ и МОК, или их смесей в присутствии добавки люминофора в метиленхлориде (с последующим его удалением) и фотоинициатора “Дарокур 4265” фирмы “Aldrich”. Фотоотверждение осуществляли облучением лампой “ДРТ 1000” через фильтр ПС-13 в течение 3 мин, тем самым обеспечивая глубину отверждения ~92–98% и сохранность спектров поглощения люминофоров в мономере. Концентрация люминофора во всех экспериментах составляла 10-4 м/л, фотоинициатора – 1 мас. %. Толщина полученной полимерной пленки ~800‒900 мкм.
Спектры поглощения растворов и пленок регистрировали на спектрофотометре “Cary 50 Scan”, спектры люминесценции – на спектрофлуориметре “Cary Eclipse” фирмы “Varian”. Щели монохроматоров эмиссии и возбуждения – 5 нм.
Подбор времени фотоотверждения для МЭГ и ФГА подробно описан в работах [13, 14] соответственно.
Конверсию двойных связей при полимеризации контролировали по золь-фракции на гель-хроматографе системы “БРИЗ”. Для диады в полимерной матрице, полученной из ОКМ-2, проводили тест на фотостойкость: пленку облучали галогеновой лампой с интенсивностью 50 W/м2 через светофильтр СС-4 (область пропускания 340–470 нм) на расстоянии 15 см от источника в течение 5 ч. Тест показал, что за это время видимых изменений в спектре поглощения диады не произошло [13].
РЕЗУЛЬТАТЫ И ИХ ОБСУЖДЕНИЕ
Изучение люминесцентных свойств материалов было начато с линейных полимеров МЭГ, МОК, МЭГ/МОК-4 и МЭГ/МОК-7, отличающихся количеством гидроксильных групп [13].
Люминесцентная диада во всех этих полимерных матрицах демонстрирует две полосы эмиссии, которые можно отнести к структурам с переносом протона в обоих фрагментах – имидазольном и азометинокумариновом. При этом наиболее интенсивная синяя эмиссия имидазольного фрагмента с максимумом при 440–460 нм накладывается на менее интенсивную полосу люминесценции от кумаринового ассоциата или аниона с максимумом при ~420 нм. Интенсивность зеленой эмиссии азометинокумаринового фрагмента (λmax = 530 нм) зависит от концентрации гидроксильных групп в полимере, т. е. чем больше [OH] в полимере, тем меньше ее интенсивность (рис. 1).
Рис. 1. Спектры люминесценции диады I в полимерных пленках МОК (1), МЭГ/МОК-4 (2), МЭГ/МОК-7 (3) и МЭГ (4) при разных значениях концентрации ОН-групп при λex = 350 нм. [OH] = 0 (1), 4.9 (2), 7.0 (3) и 13.0% (4)
Это можно объяснить образованием ассоциатов азометинокумаринового фрагмента с гидрокси-группами олигомера (аналогично схеме выше), которые сохранились затем и в полимерных матрицах. Такие ассоциаты характеризуются эмиссией при ~420 нм, и в них невозможно протекание ВППВС. В результате образования ассоциатов коротковолновая полоса эмиссии демонстрирует более сложную зависимость от концентрации OH в полимере.
Соотношение двух полос эмиссии зависит и от длины волны возбуждения. Особенно ярко зависимость спектра люминесценции диады от длины волны возбуждения проявляется в пленках, полученных фотоотверждением МЭГ: при возбуждении светом 330 нм преобладает полоса с максимумом при 450 нм, обусловленная ВППВС в имидазольном фрагменте, а при возбуждении 350 нм их интенсивности выравниваются (рис. 2). Это можно объяснить тем, что на длине волны 330 нм поглощение имидазольного фрагмента выше, чем азометинокумаринового [8], а на длине волны 350 нм наоборот. На рис. 2 видно, что возбуждение светом с λ ≥ 400 нм приводит к проявлению в МЭГ только одной длинноволновой эмиссии.
Рис. 2. Спектры люминесценции диады I в пленке МЭГ при длине волн возбуждения 330 (1), 350 (2) и 430 нм (3)
Таким образом, в исследованных линейных полимерах обнаружено две полосы люминесценции 440–460 и 530 нм, отмечено снижение интенсивности люминесценции в среде, содержащей гидроксильные группы, и замечен сложный характер этой зависимости от содержания гидроксильных групп.
Дальнейшее изучение люминесцентных свойств синтезированной диады происходило в среде сетчатых акриловых полимеров. Так, наличие двух концевых метакриловых групп в каждой молекуле выбранных акриловых олигомеров обеспечивает образование в процессе полимеризации пространственной сетки из поли(мет)акрилатных цепей, соединенных поперечными олигомерными блоками. Следовательно, поли(мет)акрилаты различаются по природе, длине, гибкости и полярности олигомерных мостиков.
Для получения полимерных матриц были использованы бифункциональные мономеры, которые при фотоотверждении образуют полиуретаны (ОУМА, ОУА, ОУМ), алифатические сетчатые полимеры (МБ, ТГМ-3, ДАДПГ, ДАПЭ 600), ароматические сетчатые полимеры (ФГА, ФЭА), алифатические и ароматические поликарбонаты (ОКМ-1, ОКМ-2, ОКМ-2/1, ОКМ-5 и ОКМ-7). Такое разнообразие химических и структурных фрагментов молекулярных цепей отражается не только на механических и эксплуатационных свойствах полимерных материалов, но и на их люминесцентных свойствах.
В качестве объектов исследования выступали полимерные матрицы олигомеров OУMA, ОУА и OУM, в цепи которых содержатся амидные и уретановые группы, способные образовывать водородные связи с молекулами диады, что может оказывать влияние на люминесцентные свойства отвержденных полимерных материалов.
Модель II в фотоотвержденной уретановой пленке ОУМА характеризуется одной полосой люминесценции с максимумом при 420 нм, которая относится к люминесценции ассоциата кумаринового ядра (например, с уретановой группой) или кумаринового аниона, и ее интенсивность практически не зависит от длины волны возбуждения. В фотоотвержденной пленке короткоцепного ОУА как при λ = 330, так и 350 нм прослеживаются две очень слабые полосы люминесценции с максимумами при 420 и 515 нм, последняя является флуоресценцией возбужденной цис-кето-формы азометинового фрагмента, которая может образоваться в результате ВППВС из енольной формы.
Люминесцентная диада I в фотоотвержденных пленках олигоуретан(мет)акрилатов аналогично модели II характеризуется одной широкой полосой высокоинтенсивной эмиссии в области 420–550 нм, которую можно отнести к структуре с переносом протона в имидазольном фрагменте. При этом наиболее интенсивная эмиссия имидазольного фрагмента с максимумом при 445–460 нм накладывается на менее интенсивную полосу кумаринового ассоциата или аниона с максимумом при 420 нм, а также, возможно, перекрывает малоинтенсивную полосу люминесценции возбужденной кето-формы (520 нм) (рис. 3).
Рис. 3. Спектры люминесценции диады I в фотоотвержденных уретановых полимерных пленках ОУМ (1), ОУА (2) и ОУМА (3) при λex = 330 нм
Из полученных результатов можно сделать вывод, что в олигоуретан(мет)акрилатах происходит очень сильное связывание гидроксила кумаринового фрагмента с уретановой группой, которое сохраняется в полимерной матрице и практически гасит люминесценцию азометинокумаринового фрагмента диады. Следует отметить, что среди всех изученных полимерных сред в полиуретан(мет)акрилатах наблюдается самая высокая интенсивность синей (~460 нм) люминесценции.
В алифатических сетчатых полимерах, характеризующихся наличием в структуре простой эфирной связи, полученных из ТГМ и ДАПЭ 600, при возбуждении светом 330 нм прослеживается одна коротковолновая флуоресценция при 450 нм, а при возбуждении светом 350 нм появляется длинноволновое плечо с максимумом при 530 нм, как показано на рис. 4а для ТГМ-3. В случае же полимеров, полученных из МБ и ДАДПГ, уже при возбуждении светом 330 нм появляются обе флуоресценции (рис. 4б). В них также сохраняется зависимость интенсивности флуоресценции от длины волны возбуждения: при возбуждении светом 330 и 350 нм наиболее интенсивной является эмиссия от имидазольного фрагмента, при возбуждении 350 нм интенсивность более длинноволновой эмиссии увеличивается, и обе эмиссии почти выравниваются в случае матрицы МБ [14].
Рис. 4. Спектры флуоресценции диады в сетчатом полимере ТГМ-3 (а) и MB (б) при возбуждении светом 330 (1) и 350 нм (2)
В отличие от линейных и сетчатых алифатических полимеров, в которых видны две полосы флуоресценции диады, в сетчатых полимерах, содержащих ароматический фрагмент ФГА и ФЭА, была лишь одна высокоинтенсивная эмиссия с максимумом 450 нм, обусловленная протеканием ВППВС в имидазольном фрагменте. При этом длинноволновая эмиссия с максимумом 530 нм, обусловленная протеканием ВППВС в азометинокумариновом фрагменте исчезает.
Данный факт можно объяснить тем, что в случае наличия ароматических фрагментов (ФГА, ФЭА) в результате возникших стерических затруднений, во-первых, уменьшается вклад безызлучательной релаксации, что должно повлечь рост интенсивности обеих этих флуоресценций; во-вторых, затрудняется цис-, транс-изомеризация в азометинокумариновом фрагменте, которая включена в ВППВС, что должно приводить к уменьшению интенсивности флуоресценции азометинокумаринового фрагмента и, соответственно, увеличению интенсивности флуоресценции имидазольного фрагмента.
Сравнение результатов для полимеров, характеризующихся одинаковым равным 7% содержанием гидроксильных групп (МЭГ/МОК-7 и ФГА), показало, что в молекуле линейного полимера, полученного фотоотверждением МЭГ/МОК-7, наблюдались обе эмиссии, а в случае ФГА – только одна коротковолновая. Таким образом, характер люминесценции в бóльшей степени определяется структурой полимерного звена и содержанием ароматических фрагментов в полимерной матрице, чем наличием гидроксильных групп в полимере.
Также в настоящей работе изучены люминесцентные свойства диады I в олигокарбонатметакрилатах, полученных методом фотоотверждения [19].
Все эти соединения выступают сложными эфирами угольной кислоты и содержат карбонатные группы ‒O‒CO‒O‒. Полимеры, полученные из OКM-1, OКM-2 и OКM-2/1, являются алифатическими полимерами, а полимеры, полученные из OКM-7 и OКM-5, содержат ароматические фрагменты. Кроме того, наличие простых эфирных групп в полимерах влияет на только на физические свойства полимеров, но и на люминесцентные свойства введенной в них диады.
Диада почти во всех изученных фотоотвержденных образцах олигокарбонатметакрилатов характеризуется двумя полосами эмиссии с максимумами при 450 и 535 нм.
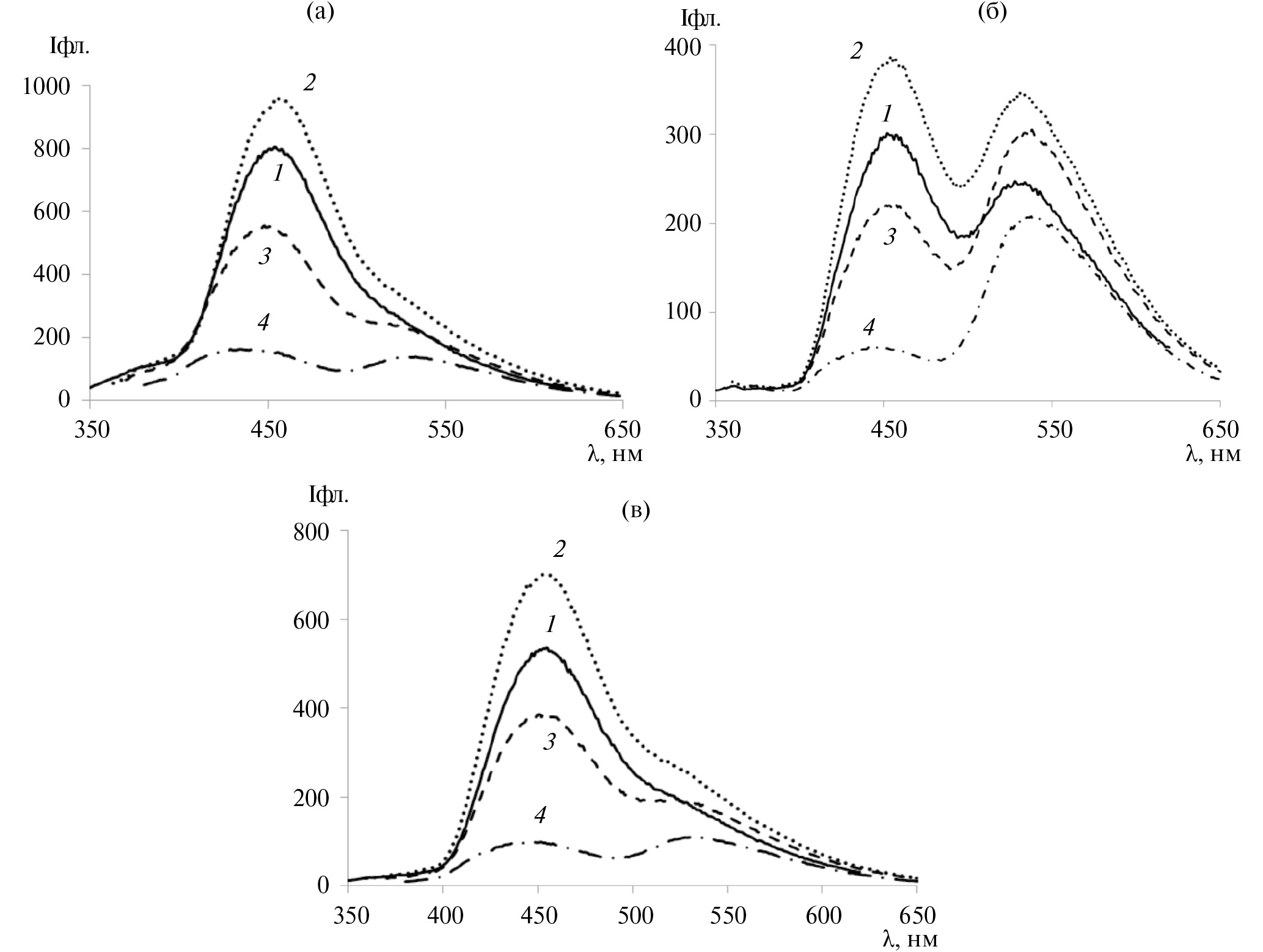
Рассмотрим свойства алифатических поликарбонатметакрилатов. На рис. 5а видно, что интенсивность флуоресценции в алифатическом полимере OКM-1 с наименьшей длиной связи зависит от длины волны возбуждения. Наиболее интенсивная синяя полоса с максимумом при 450–460 нм при коротковолновом возбуждении имеет только асимметричное длинноволновое плечо, которое переходит в четко выраженную зеленую полосу 530–550 нм при λex = 350–360 нм.
Рис. 5. Спектры люминесценции диады в полимерной пленке, полученной фотоотверждением OКM-1 (а), OКM-2 (б) и OКM-2/1 (в) при λex = 330 (1), 340 (2), 350 (3) и 360 нм (4)
Изменение олигомерного мостика с C2H4 в полимерной пленке, полученной из OКM-1, на (C2H4)–O–(C2H4) в полимерной пленке, полученной из OКM-2, приводит к увеличению межузлового расстояния, гибкости пленки и изменению в спектре люминесценции (рис. 5б).
В этом случае во всей области возбуждения от 330 до 440 нм присутствуют две полосы эмиссии и соотношение интенсивностей полос зависит от длины волны возбуждения, причем в большинстве случае преобладает полоса с максимум при 550 нм (эмиссия от азометинокумаринового фрагмента).
При использовании в качестве полимерной матрицы OКM-2/1, отличающегося еще более длинным и гибким олигомерным мостиком благодаря наличию ряда простых эфирных и карбонатных групп, спектр люминесценции диады (рис. 5в) становится аналогичным ее спектру в OКM-1 (рис. 5а).
Так, флуоресценция диады в полимере, полученном из OКM-2/1 (рис. 5в), характеризуется интенсивной синей полосой с максимумом при 450 нм и гораздо менее интенсивной полосой (иногда проявляющейся только как плечо) с максимумом при 530 нм. При этом соотношение интенсивности эмиссий зависит от длины волны возбуждения. Вероятно, это вызвано межмолекулярными взаимодействиями длинных олигомерных блоков в сетчатом полимере, ведущих к образованию ассоциатов, способных упрочнять полимер, как показано в работе [15].
Отсюда следует, что OКM-2 является наиболее подходящим из изученных алифатических поликарбонат метакрилатов для наблюдения дуальной флуоресценции диады.
Влияние природы олигомерного мостика в исследованных сетчатых поликарбонатметакрилатах на особенности проявления флуоресценции диады, введенной в полимер, продемонстрировано на рис. 6.
Рис. 6. Спектры люминесценции диады в полимерных пленках, полученных фотоотверждением ОКМ-1 (1), ОКМ-2 (2), ОКМ-2/1 (3), ОКМ-5 (4) и ОКМ-7 (5) при λex = 350 нм
В отличие от спектров люминесценции диады в алифатических поликарбонатметакрилатах, в которых преобладала эмиссия имидазольного фрагмента с максимумом при 450 нм, в случае полимерной пленки, полученной фотоотверждением ОКМ-7, характеризующимся присутствием одного ароматического фрагмента в олигомерном блоке, при λex = 330 нм интенсивности обеих эмиссий одинаковы, а при λex = 350 нм преобладает длинноволновая эмиссия. То же явление прослеживается и в пленке, полученной из ОКМ-5, олигомерный блок которой имеет уже два ароматических фрагмента. Следует отметить, что в этих обоих случаях интенсивности коротковолновой эмиссии практически совпадают.
Однако, как было показано ранее, в сетчатых полимерных матрицах ФЭА и ФГА, содержащих аналогичные ароматические фрагменты, дуальная флуоресценция диады не наблюдается [14]. На рис. 7 представлены спектральные характеристики диады в ароматических поликарбонатметакрилатах в сравнении с ее спектрами люминесценции в ароматических сетчатых полимерах ФГА и ФЭА.
Рис. 7. Спектры флуоресценции диады в ФГА (1), ФЭА (2), ОКМ-5 (3) и ОКМ-7 (4) при λex = 330 нм
Видно, что дуальная люминесценция диады в пленках, полученных фотоотверждением ОКМ-5 и ОКМ-7, отличается двумя полосами эмиссии: малоинтенсивной при 450–460 нм от имидазольного фрагмента молекулы, независящей от длины волны возбуждения и содержания ароматических фрагментов в полимерной матрице, и превалирующей полосой 530 нм (кумариновый фрагмент люминофора). Интенсивность люминесценции диады I в этой полосе зависит от длины волны возбуждения и содержания ароматических фрагментов в полимере.
В то же время интенсивность люминесценции (450 нм) в 4–6 раз выше в акрилатных пленках ФГА и ФЭА, содержащих кроме ароматики гидроксильные (ФГА) и простые эфирные (ФЭА) группы.
Также в настоящей работе рассмотрено влияние полярности полимерной матрицы на проявление люминесцентных свойств диады. В данном случае полярность молекулы олигомера была представлена как векторная сумма полярностей отдельных связей. Это предполагает зависимость полярности молекулы не только от полярности отдельных связей, но и от их направления, т. е. от геометрии молекулы. Учитывая сложное строение исходных молекул олигомера и, соответственно, полимера, применение справочных значений используемых параметров носит, скорее, оценочный характер.
Такой подход к оценке полярности сложных молекул по аддитивной полярности отдельных связей подробно описан в работе [20]. И хотя геометрия самого полимера здесь не учитывается, проводимые многочисленные систематические исследования флуоресценции как для линейных, так и для сетчатых полимеров свидетельствуют о том, что эффективность процесса ВППВС в разных фрагментах введенного в олигомер люминофора по-разному зависит именно от этой условной полярности матрицы.
В табл. 1 представлены значения интенсивности флуоресценции диады при возбуждении светом 330 нм в полимерных матрицах с разными значениями диэлектрической проницаемости. Условная полярность P полимерных матриц оценивалась по формуле P = ε1/2Mс использованием справочных данных диэлектрической проницаемости e [20]. Зависимость интенсивности флуоресценции от полярности матрицы показана на рис. 8.
Таблица 1. Зависимость люминесценции диады для полимерных матриц от условной полярности при возбуждении светом длиной волны 330 нм
Мономер | Условная полярность | λфл | Интенсивность люминесценции, отн. ед. |
МБ | 3.07 | 450 530 | 612 337 |
ТГМ-3 | 3.02 | 450 | 914 |
МЭГ | 3.07 | 450 530 | 555 339 |
МОК | 3.27 | 450 530 | 593 459 |
ОКМ-5 | 3.19 | 450 530 | 239 303 |
ДАПГ | 2.86 | 450 530 | 970 398 |
ДАПЭ 600 | 2.59 | 450 | 1690 |
ОКМ-7 | 3.36 | 450 530 | 257 246 |
Рис. 8. Зависимость интенсивности люминесценции диады от условной полярности полимерных матриц при возбуждении светом длиной волны 330 нм; λфл = 450 (1) и 530 нм (2)
Из приведенных данных очевидно, что эффективность процесса ВППВС в различных фрагментах молекулы по-разному зависит от полярности матрицы: в кумариновом фрагменте практически не зависит, а в имидазольном фрагменте уменьшается с увеличением полярности [19].
ЗАКЛЮЧЕНИЕ
Методом фотоотверждения полeчены люминесцирующие полимерные пленки, содержащие гибридное органическое соединение, молекула которого объединяет два разных люминофорных фрагмента. Установлено, что в целом ряде полимеров наблюдаются две эмиссии, обусловленные протеканием ВППВС в двух фрагментах молекулы – имидазольном с максимумом при 450 нм (синей) и азометинокумариновом с максимумом при 550 нм (зеленой). Соотношение их интенсивностей зависит от природы полимерной матрицы и длины волны возбуждающего света.
В линейных акриловых полимерах, содержащих гидроксильные группы, видна зависимость интенсивности люминесценции от концентрации гидроксильных групп. Это обусловлено образованием прочных ассоциатов кумаринового фрагмента молекулы диады с гидроксильными группами олигомера, а затем и полимера, что приводит к подавлению ВППВС в этом фрагменте, появлению флуоресценции ассоциата с максимумом при 420 нм и таким образом к суммарному росту интенсивности коротковолновой эмиссии. В полиуретанакрилатах прослеживается очень сильное связывание кумаринового фрагмента с уретановыми группами, что обусловливает появление только одной коротковолновой флуоресценции от имидазольного фрагмента. В линейных сетчатых полимерах, полученных фотоотверждением МБ и ДАДПГ, наблюдаются эмиссии от обоих фрагментов молекулы, интенсивность которых зависит от длины волны возбуждения и полярности матрицы. Вместе с тем в сетчатых полимерах, содержащих ароматические фрагменты (ФГА и ФЭА), имеет место только эмиссия с максимумом при 450 нм, так как, вероятно, в результате стерических затруднений невозможен ВППВС в азометинокумариновом фрагменте, и вся энергия возбуждения скачивается на имидазольный фрагмент.
Во всех изученных сетчатых алифатических и содержащих ароматические фрагменты поликарбонатметакрилатах наблюдаются обе эмиссии и их соотношение зависит от длины волны возбуждающего света. Вероятной причиной этого является большое межузловое расстояние в этих полимерах по сравнению с ФГА и ФЭА.
Таким образом, продемонстрировано, что имидазольный и азометиновый фрагмент диады по-разному реагируют на свойства полимерной матрицы. Наилучшими матрицами для наблюдения дуальной флуоресценции от обоих фрагментов, зависящей от длины волны возбуждающего света, являются полимеры, полученные из МОК или смеси МЭГ/МОК и поликарбонатметакрилатов.
Работа поддержана Министерством науки и высшего образования Российской Федерации в рамках Госзадания FFZE-2022-0009 Федерального исследовательского центра химической физики им. Н.Н. Семёнова РАН.
About the authors
И. А. Матвеева
Федеральный исследовательский центр химической физики им. Н.Н. Семёнова Российской академии наук
Email: zaina@chph.ras.ru
Russian Federation, Москва
В. Т. Шашкова
Федеральный исследовательский центр химической физики им. Н.Н. Семёнова Российской академии наук
Email: zaina@chph.ras.ru
Russian Federation, Москва
А. В. Любимов
Федеральный исследовательский центр химической физики им. Н.Н. Семёнова Российской академии наук
Email: zaina@chph.ras.ru
Russian Federation, Москва
Г. В. Любимова
Федеральный исследовательский центр химической физики им. Н.Н. Семёнова Российской академии наук
Email: zaina@chph.ras.ru
Russian Federation, Москва
Л. С. Кольцова
Федеральный исследовательский центр химической физики им. Н.Н. Семёнова Российской академии наук
Email: zaina@chph.ras.ru
Russian Federation, Москва
А. И. Шиёнок
Федеральный исследовательский центр химической физики им. Н.Н. Семёнова Российской академии наук
Email: zaina@chph.ras.ru
Russian Federation, Москва
Н. Л. Зайченко
Федеральный исследовательский центр химической физики им. Н.Н. Семёнова Российской академии наук
Author for correspondence.
Email: zaina@chph.ras.ru
Russian Federation, Москва
References
- Krasovitskii B.M., Bolotin B.M. Organic Luminescent Materials. Weinheim: Wiley-VCH, 1988.
- Zha J., Ji S., Chen Y., Guo H., Yang P. // Phys. Chem. Chem. Phys. 2012. V. 14. P. 8803.
- Wu J., Liu W., Ge J., Zhang H., Wang P. // Chem. Soc. Rev. 2011. V. 40. P. 3483.
- Mukherjee S., Thilagar P. // Dyes Pigments. 2014. V. 110. P. 2.
- Park S.Y., Won M., Kang C., Kim J.S., Lee M.H. // Dyes Pigments. 2019. V. 164. P. 341.
- Kwon J.E., Park S., Park S.Y. // J. Am. Chem. Soc. 2013. V. 135. P. 11239.
- Klauk H. Organic Electronics: Materials, Manufacturing, and Applications. Weinheim: Wiley-VCH, 2006.
- Levin P.P., Liubimov A.V., Shashkov A.S., Marfalrishvili I.R., Venidiktova G.V., Shirnok A.I., Koltsova L.S., Astafiev A.A., Barachevsky V.A., Zaichenko N.L. // Dyes Pigments. 2020. V. 183. P. 108716.
- Liubimov A.V., Venidiktova O.V., Valova T.M., Shienok A.I., Koltsova L.S., Liubimova G.V., Popov L.D., Zaichenko N.L. // Photochem. Photobiol. Sci. 2018. V. 17. P. 1365.
- Rath S.K., Diby A., Seghier Z., Boey F.Y.C., Abadie M.J.M. // Iranian Polym. J. 2006. V. 15. P. 855.
- Liu H., Yu L., Chen M., Huang Z. // Mater. Res. Bull. 2003. V. 38. P. 1607.
- Bongiovanni R., Malucelli G., Messori M., Pilati F., Priola A., Tonelli C., Toselli M. // J. Appl. Polym. Sci. 2000. V. 75. P. 651.
- Matveeva I.A., Shashkova V.T., Lyubimov A.V., Lyubimova G.V., Kol’tsova L.S., Shienok A.I., Zaichenko N.L. // Rus. J. Phys. Chem. B. 2019. V. 13. P. 803.
- Matveeva I.A., Shashkova V.T., Lyubimov A.V., Lyubimova G.V., Kol’tsova L.S., Shienok A.I., Zaichenko N.L. // Polymer Science B. 2023. V. 65. № 2. P. 496.
- Korolev G.V., Mogilevich M.M., Golikov I.V. Network Polyacrylates. Moscow: Khimiya, 1995.
- Berlin A.A., Korolev G.V., Kefeli T.Ya., Sivergin Yu. M. Acrylic Oligomers and Materials Based on Them. Moscow: Nauka, 1983.
- Шашкова В.T., Зеленецкая T.В., Западинский Б.И. // Высокомолек. соед. A. 1995. Т. 37. № 11. С. 1844.
- Радугина А.А., Шашкова В.Т., Кузаев А.И., Брикенштейн А. А., Кефели Т. Я. // Высокомолек. соед. A. 1984. T. 34. C. 1695.
- Matveeva I.A., Shashkova V.T., Lyubimov A.V., Lyubimova G.V., Koltsova L.S., Zaichenko N.L., Levin P.P. // Coatings. 2023. V. 13. P. 1071.
- Van Krevelen D.W., Hoftyzer P.J. Properties of Polymers: Correlations with Chemical Structure. London; New York: Elsevier, 1972.
Supplementary files

















