Синтез, реологические свойства и гемосовместимость альгиновой кислоты, модифицированной фрагментами этилендиамина
- Авторы: Торлопов М.А.1, Дрозд Н.Н.2, Ситников П.А.1, Михайлов В.И.1, Удоратина Е.В.1
-
Учреждения:
- Институт химии Федерального исследовательского центра “Коми научный центр Уральского отделения Российской академии наук”
- Национальный медицинский исследовательский центр гематологии Министерства здравоохранения Российской Федерации
- Выпуск: Том 66, № 3 (2024)
- Страницы: 201-215
- Раздел: МЕДИЦИНСКИЕ ПОЛИМЕРЫ
- URL: https://journal-vniispk.ru/2308-1120/article/view/272715
- DOI: https://doi.org/10.31857/S2308112024030045
- EDN: https://elibrary.ru/LWUJAL
- ID: 272715
Цитировать
Полный текст
Аннотация
Производное альгиновой кислоты, содержащее амидные и аминогруппы, синтезировано присоединением этилендиамина к активированным карбодиимидом карбоксильным группам полисахарида. Анализ его структуры с использованием ЯМР-спектроскопии подтверждает, что присоединение этилендиамина осуществляется с образованием амидной связи и появлением свободных первичных аминогрупп в эквимолярном соотношении. Методами ротационной и капиллярной вискозиметрии в комбинации с динамическим рассеянием света и потенциометрическим титрованием показано, что критическая концентрация перехода к режиму раствора с зацеплениями Сe коррелирует со степенью замещения и изменением дзета-потенциала модифицированных полисахаридов. Последние характеризуются более низкой концентрацией Сe и в среднем более низкой энергией активации вязкого течения растворов, чем альгинат натрия. В интервале рН 6.5‒6.0 для полуразбавленных растворов модифицированного полисахарида и альгината натрия наблюдается противоположно направленное изменение размера агрегатов макромолекул. Гемосовместимость модифицированного полисахарида исследована in vitro в тестах времени рекальцификации крови, активированного частичного тромбопластинового времени и агрегации тромбоцитов. Показано, что модифицированный полисахарид не влияет на коагуляцию крови (в концентрациях 0.033 и 2.22 мг/мл), коагуляцию плазмы (в концентрации до 0.0465 мг/мл) и агрегацию тромбоцитов (в концентрации до 0.182 мг/мл).
Полный текст
Введение
Материалы на основе биополимеров используются в биомедицинских разработках для поддержки, улучшения или замены поврежденных тканей или биологических функций. В применяемых и перспективных разработках для клинической практики материалы на основе альгиновой кислоты занимают особое место в области создания раневых покрытий, медицинских имплантатов и устройств для ускорения заживления [1‒3]. В недавнем обзоре [4] описано получение волокон, сфер, гидрогелей и матриц для 3D-печати на основе альгината и обсуждены последние тенденции, связанные с использованием этих материалов для перевязки ран, доставки лекарств и тканевой инженерии.
Альгиновая кислота – гетерополисахарид, содержащийся в бурых морских водорослях и в капсулах некоторых бактерий. Он состоит из звеньев гулуроновой и маннуроновой кислот, соединенных β (1 → 4) гликозидными связями. Соответствующие моносахаридные звенья расположены, как правило, чередующимися блоками [5], что в свою очередь определяет часть практически значимых свойств альгинатов, например гелирующие свойства в присутствии ионов металлов.
Основные методы настройки свойств материалов на основе альгиновой кислоты под конкретные биомедицинские приложения включают создание композитов и химическую модификацию. Рациональным подходом является синтез сравнительно низкозамещённых производных для сохранения ценных свойств данного полисахарида. Химическая модификация альгиновой кислоты осуществлена различными методами, среди которых распространено образование амидной связи с применением химии карбодиимидов [6, 7]. Использование бифункциональных агентов в этой реакции открывает возможность синтеза амидов альгиновой кислоты, содержащих дополнительно новые типы химических функций, интересных с точки зрения присоединения целевых биологически активных компонентов и модификации физико-химических свойств материалов. По причинам гидрофильности, отсутствия пространственно-затруднённых элементов и доступности этилендиамин хорошо подходит для реализации такой стратегии получения соответствующих производных альгиновой кислоты. Например, в работе [8] альгиновая кислота модифицирована этилендиамином для получения имплантируемых гелей с определёнными свойствами. Свободные аминогруппы модифицированной альгиновой кислоты позволили провести сшивку с низкомолекулярным гиалуронатом. Авторы делают важный вывод, что не только количество коньюгированной гиалуроновой кислоты, но и максимальное сохранение структуры альгиновой кислоты оказывает положительное влияние на рост и развитие клеток в получаемых гидрогелях. Прежде всего это связано с возможностью управления реологическими свойствами материала.
Помимо физико-химических свойств материалов, контактирующих с тканями животных и человека, принципиальное значение имеет также их гемосовместимость, определение которой является важнейшим этапом в оценке биосовместимости материалов. В процессе определения гемосовместимости биоматериалы должны пройти испытания, включающие тестирования в опытах in vitro и in vivo [9]. Тестирование на гемосовместимость включает также оценку взаимодействий инородных материалов с кровью для изучения возможных побочных эффектов для пациента, возникающих в результате воздействия материалов на клетки и компоненты крови [10, 11]. Такие побочные эффекты разнообразны и сложны и, как правило, очень опасны для благополучия носителя материала. Тесты in vivo включают адсорбцию белка; активацию комплемента; анализ протромбинового времени, неактивированного частичного тромбопластинового времени, активированного частичного тромбопластинового времени, времени свертывания крови; агрегации тромбоцитов; гемолиз эритроцитов.
Цель настоящей работы заключается в комплексном исследовании водорастворимых производных альгината натрия, модифицированного этилендиамином (Альг-ДЭА), содержащих свободные аминогруппы, включая синтез, реологические свойства растворов и анализ влияния in vitro производных альгината натрия на плазменные и клеточные компоненты крови человека.
Экспериментальная часть
Материалы и реактивы
В работе использовали натриевую соль альгиновой кислоты (Mw = 4.07 × 105 по данным ГПХ), этилендиамин (“Alfa Aesar”); 1-этил-3-(3-диметиламинопропил)карбодиимид солянокислый (EDC), N-гидроксисукцинимид (NHS), NaCl, натриевую соль лимонной кислоты (Na3C6H6O7), CaCl2 (“Sigma-Aldrich”); HCl, NaOH (х.ч. “Реакор”, Россия); трис-HCl буфер, набор реагентов для определения активированного частичного тромбопластинового времени в плазме крови (АЧТВ-реагент) (Научно-производственное объединение “Ренам”, Россия); нефракционированный гепарин (“Гепарин-Белмед”, 25000 ЕД, Республиканское унитарное предприятие “Белмедпрепараты”); раствор аденозин 5`-дифосфата (АДФ) (“Sigma-Aldrich”) и деионизированную воду.
Синтез альгиновой кислоты, модифицированной этилендиамином (стандартный эксперимент)
В колбу, снабженную перемешивающим и термостатирующим устройствами, датчиками температуры и pH, помещали 2.0 г (10.1 ммоль) альгината натрия и растворяли при перемешивании в 100 мл деионизированной воды. Раствор подкисляли 0.1 н HCl до рН 5.5 ± 0.1. Такое значение рН среды поддерживали в течение всего времени реакции, контроль осуществляли с помощью pH-метра / кондуктометра “Seven Compact Duo” (“Mettler Toledo”). К полученному раствору прибавляли 0.581 г (3.03 ммоль) EDC, 0.173 г (1.50 ммоль) NHS и приводили pH к заданному значению. Реакционную смесь выдерживали 60 мин при 25 °С для активации карбоксильных групп полисахарида. Отдельно готовили водный раствор этилендиамина, для чего 0.91 г (15.15 ммоль) этилендиамина (пятикратный избыток относительно EDC) в 10 мл воды охлаждали и при перемешивании подкисляли 1 н HCl до рН 5.5 ± 0.1. Готовый раствор этилендиамина добавляли к раствору альгиновой кислоты. Полученную реакционную смесь перемешивали 24 ч при 25 °С, контролируя рН. Затем смесь подкисляли 0.1 н раствором HCl до pH 5.0 и проводили осаждение полимера этиловым спиртом (500 мл). Осадок отделяли центрифугированием, промывали этиловым спиртом и растворяли в воде при pH 8.5. Раствор очищали от низкомолекулярных примесей методом диализа (диализные мешки CelluSep, размер пор 3.5 кДа). Контроль очистки осуществляли методом кондуктометрии, определяя изменение проводимости раствора. Очищенный раствор полимера лиофилизировали. Элементный анализ Альг-ДЭА (%): N 1.95, C 33.5, H 4.7. Степень замещения (СЗ) в препаратах Альг-ДЭА находили из данных элементного анализа как
, (1)
где 198 – ММ статистического элементарного звена альгиновой кислоты; ωN – содержание азота, %; 28 – ММ двух атомов азота в присоединённом фрагменте этилендиамина; 60.1 – ММ молекулы этилендиамина. Для обозначения степени замещения образца, численное значение степени замещения прибавляли к сокращению, например, Альг-ДЭА-0.14. Для синтеза Альг-ДЭА с другими степенями замещения изменяли соотношение альгиновая кислота: EDC, сохраняя соотношения прочих реагентов относительно EDC.
Методы анализа
Элементный анализ осуществляли на приборе EA-1110 (“CE instruments”) с хроматографическим определением продуктов сжигания.
Спектры ЯМР 1H записывали на приборе “Bruker Avance II 300” (рабочая частота 300 МГц) в D2O при температуре 30 °С; время релакса ции 3.5 с.
ИК-спектры регистрировали на ИК-Фурье-спектрометре “IR Prestige 21” (“Shimadzu”) в таблетках с KBr в диапазоне длин волн 400 4000 см–1.
ММ альгината натрия определяли методом гель-проникающей хроматографии. Для анализа использовали хроматографическую систему “Shimadzu” (Япония): насос LC-20AD, термостат CTO-10AS, рефрактометр RID-10A, колонка Shodex OHpac SB804 HG (8 мм × 30 см). Элюирование проводили 0.15 М NaCl при 40 °С со скоростью потока 0.3 см3/мин. Колонку калибровали по образцам сульфатированных пуллуланов с ММ в диапазоне (1.3 × 103)–(8 × 103).
Реологические свойства водных растворов исследовали с помощью реометра “DV-III+ Ultra” (“Brookfield”, USA), система “ротор-стакан” с набором сменных шпинделей. Перед измерением образец помещали в измерительную ячейку и термостатировали в течение 25 мин. Продолжительность измерения составляла 20 с. Измерения проводили при температуре 20.0 ± 0.05 °С и 37.0 ± 0.0 5 °С.
Вязкость полимерных растворов определяли на капиллярном вискозиметре Уббелоде в интервале концентраций 0.03–1.0 г/дл при 25 ± 0.05 °С. Удельную вязкость ηуд и приведённую вязкость ηпр рассчитывали по формулам
, (2)
,(3)
где t и to – время истечения раствора полимера и чистого растворителя, С – концентрация полимера.
Энергию активации вязкого течения ∆Ea(η) растворов альгиновой кислоты и её производных рассчитывали по уравнению Аррениуса– Эйринга
η = Ae∆Ea/RT .(4)
Здесь R – универсальная газовая постоянная, А – константа. Расчёт осуществляли для каждой концентрации полимера по тангенсу угла наклона зависимости lnη – T-1. Для оценки энергии активации измерения проводили в температурном диапазоне 15–50 °С через каждые 5 °С.
Размер полимерных агрегатов (средние гидродинамические диаметры Dh) в растворе при 25 °С измеряли методом динамического рассеяния на приборе “Zetasizer Nano ZS” (“Mаlvern”, Великобритания), снабженном He/Ne лазерным источником света с длиной волны 633 нм. Угол детектирования 173°.
Кислотно-основные свойства полиэлектролитов исследовали методом потенциометрического титрования на автоматическом титраторе “Аквилон АТП-02” с комбинированным электродом ЭСЛК-01.7. Титрование проводили 0.1 н HCl или 0.01 н NaOH. Значения pH измеряли после добавления каждой порции титранта и установления равновесия. Каждый образец титровали три раза. На основании полученной зависимости объема титранта Vtitr от pH рассчитывали адсорбцию ионов водорода nb (ммоль/г) на изучаемой поверхности от рН раствора (в расчете на 1 г образца). Расчет проводили по формуле
. (5)
При расчете константы ионизации pKа использовали математическую модель, описанную в работе [12].
Исследование гемосовместимости in vitro
В исследовании применяли стабилизированную раствором Na3C6H6O7 (0.106 моль/л) кровь из локтевой вены доноров, а также богатую и обедненную тромбоцитами плазму человека. Кровь отбирали до метки в пластиковый шприц S-Monovette 5 ml 9NC (“Sarstedt”, Германия); все доноры давали письменное информированное согласие на взятие и использование крови в Национальном медицинском исследовательском центре гематологии Министерства здравоохранения Российской Федерации. Богатую тромбоцитами плазму человека получали в результате центрифугирования крови в течение 7 мин при 1000 об/мин и температуре 22.0 ± 0.5 °С. Обедненная тромбоцитами плазма была приготовлена путем центрифугирования крови в течение 20 мин при 3000 об/мин. Для растворения образцов использовали 0.05 М Трис-HCl буфер с 0.175 М NaCl, рН 7.4.
Время появления сгустка крови или плазмы в тестах времени рекальцификации крови и активированного частичного тромбопластинового времени фиксировали на программируемом полуавтоматическом коагулометре АПГ2-01 (Минилаб-701-М, Научно-производственное объединение “Эмко”, Россия).
Влияние образцов на время свертывания цельной крови человека в тесте времени рекальцификации крови оценивали как описано G.L. Gulliani с соавторами [13]: к 0.1 мл цитратной крови, содержащей образцы Альг-ДЭА (0.033–2.220 мг/мл), добавляли 0.1 мл раствора 0.02 М CaCl2 и фиксировали время появления сгустка.
Влияние образцов на время свертывания плазмы в тесте АЧТВ находили как описано R. Stuart, A. Michel [14] и в инструкции к набору ПГ-7/1 Научно-производственного объединения “Ренам” (Россия). К обедненной тромбоцитами плазме крови человека (0.05 мл), содержащей 0.00465–2.325 мг/мл образцов Альг-ДЭА, добавляли 0.05 мл АЧТВ-реагента и инкубировали в течение 3 мин при 37 °С. Затем вносили 0.05 мл 0.025 М раствора CaCl2 и определяли время появления фибринового сгустка.
По графику зависимости времени свертывания плазмы от концентрации образцов находили концентрации 2АЧТВ (мг/мл), при которых время свертывания плазмы было в два раза больше, чем в контроле с добавлением 0.05 М Трис-HCl буфера (с 0.175 М NaCl, рН 7.4) вместо образцов. При расчете антитромбиновой активности образцов aIIa тест-систему калибровали по нефракционированному гепарину [15].
Влияние образцов Альг-ДЭА на агрегацию тромбоцитов человека оценивали с помощью агрегометра “Model 500” (“Chrono-Log”, США) с самописцем, фиксирующим изменения пропускания света обогащенной тромбоцитами плазмы человека (по методу G. Born) [16]. Индуктором агрегации служил раствор АДФ. Богатую тромбоцитами плазму человека (0.500 мл), содержащую 0.00182 – 1.82 мг/мл образцов Альг-ДЭА, инкубировали 1 мин при 37 °С, затем в нее вносили 0.05 мл раствора АДФ (конечная концентрация 2 × 10–5 моль/л). Для контроля использовали плазму с добавлением 0.05 мл 0.05 М трис-HCl буфера, рН 7.4, содержащего 0.175 М NaCl. Определяли агрегацию тромбоцитов в течение 5 мин; за 100% принимали пропускание света обедненной тромбоцитами плазмы человека. На кривой агрегации тромбоцитов находили максимальную амплитуду в процентах.
Статистическую обработку результатов выполняли с помощью программ Biostat и Statistica. Для сравнения ненормально распределенных данных применяли непараметрический U критерий Манна‒Уитни. Результаты работы представлены средними арифметическими значениями со стандартными отклонениями средних арифметических для 4-9 независимых определений. Статистически значимые отличия между рядами данных наблюдали при pН < 0.05.
Результаты и их обсуждение
Синтез амид/аминосодержащего производного альгиновой кислоты
Производные альгиновой кислоты, содержащие остатки этилендиамина, синтезировали в водном растворе с использованием карбодиимидного метода.
С целью предотвращения реакций “сшивки”, которые могут быть запущены этилендиамином, его брали в большом избытке по отношению к карбоксильным группам альгиновой кислоты и к конденсирующему агенту. Данным методом синтезированы водорастворимые образцы со степенью замещения 0.02–0.3.
Структуру производного альгината натрия исследовали методом ЯМР. На рис. 1a представлены ЯМР 1H спектры Альг-ДЭА и альгиновой кислоты (врезка). Спектры 1Н модифицированного образца содержат характерные химические сдвиги аномерных протонов звеньев гулуроновой (G-H1) и мануроновой кислот (M-Н1) в области 5.1–4.9 м. д.; сигналы в области 4.5–3.9 м. д. соотнесены с химическими сдвигами протонов H5, а сигналы в области 3.8–3.1 м. д. – с химическими сдвигами протонов H2‒H4 G и M единиц, их блоков и сочетаний [17‒19].
В спектре ЯМР 1Н образцов после амидирования также сохраняются характерные сигналы протонов структуры альгината натрия; дополнительно в спектрах ЯМР 1H модифицированных образцов присутствуют сигналы химических сдвигов присоединённого этилендиамина: метиленовой группы при первичной аминогруппе (CH2NH2, δ = 3.08 м. д.) и метиленовой группы при монозамещённой амидной группе (CH2NHC=O, δ = 3.46 м. д.). Площади этих пиков, найденные интегрированием, равны, что указывает на равное количество протонов метильных групп в амидной группе и аминогруппе. Это в свою очередь прямо свидетельствует о протекании реакции амидирования (присоединения этилендиамина к карбоксильной группе элементарного звена полимера) в выбранных условиях с участием лишь одной из двух аминогрупп этилендиамина. Анализ спектров ЯМР показывает, что рассматриваемая модификация альгината натрия приводит к сохранению основной структуры поликислоты с одновременным введением остатков этилендиамина в виде соответствующего монозамещённого амида.
ИК-Фурье-спектры альгината натрия и Альг-ДЭА представлены на рис. 1б. Оба соединения содержат широкую полосу с максимумом в области 3410 см–1, относящуюся к валентным колебаниям связи O–H. Сигнал, отвечающий за колебания связи NHst первичных аминогрупп, находится также в этой области. Максимумы в области 2930 см–1 отнесены к симметричным колебаниям связи C–H (алифатические группы CH2). В спектре альгината натрия присутствуют полоса антисимметричных колебаний карбоксилат-аниона с максимумом в области 1630 см–1 и полоса симметричных колебаний карбоксилат-аниона в области 1410 см–1, наблюдаемая также в спектре Альг-ДЭА. Полосы с максимумами при 1300 см–1, 1100 см–1 и 1033 см–1 относятся к деформационным колебаниями связям C–C–H, C–O–C и валентных колебаний пиранозных колец. Группа сигналов, характерная для полисахаридов в области 950-812 см–1 (колебания связи C–O связи и деформационные колебания C1–H аномерных центров полисахаридов), указывает на присутствие остатков мануроновой и α-L-гулуроновой кислот [20‒22]. Спектр Альг-ДЭА, кроме того, содержит основные полосы, характерные для альгината натрия, но с некоторыми отличиями. В спектре Альг-ДЭА дополнительно присутствует плечо (слабый изгиб на фоне основной полосы) при 1715 см–1 – сигнал, относимый к валентным колебаниям связи C=O карбоксильных групп. Второе плечо при 1670 см–1 относится к полосе поглощения карбонильной группы (NHС=O) Амид I, а полоса с максимумом 1640 см–1 (деформационные колебания NH2, NH) – к полосе Амид II [23].
Рис. 1. ЯМР 1H-спектр Альг-ДЭА-0.14 (степень замещения 0.14) (а) и ИК-Фурье-спектр исходного альгинат натрия (1) и Альг-ДЭА-0.2 (2) (б). На вставке показан спектр исходного альгината натрия. Цветные рисунки можно посмотреть в электронной версии.
Реологические свойства водных растворов Альг-ДЭА
Реологические свойства водных растворов полимеров дают ценную информацию, позволяющую делать выводы о структурообразовании в системе полимер–растворитель. С практической точки зрения реологические свойства водных растворов имеют ключевое значение для переработки и применения биомедицинских материалов на основе альгиновой кислоты.
Динамическая вязкость водных растворов. В исследованном диапазоне концентраций, температур и скоростей сдвига водные растворы альгиновой кислоты и Альг-ДЭА представляют собой неньютоновские псевдопластичные жидкости, вязкость которых уменьшается с увеличением скорости сдвига, а в области скоростей сдвига выше 50 с–1 становится практически постоянной (рис. 2).
Рис. 2. Кривые вязкости водных растворов исходного альгината натрия (a, б) и Альг-ДЭА-0.14 (в, г) при 20 (а, в) и 37 °С (б, г). Концентрация полимера 1.5 (1), 1.2 (2), 0.8 (3) и 0.5 г/дл (4).
Динамическая вязкость ηдин у растворов исходной альгиновой кислоты при 20 °С выше, чем у Альг-ДЭА; при концентрациях 1.5 и 1.2 г/дл и скорости сдвига 50 с–1 ηдин = 23.4 и 16.2 мПа с для альгиновой кислоты и 17.2 и 13.0 мПа с для Альг-ДЭА. Динамическая вязкость у растворов исходного альгината натрия с концентрацией 0.8 и 0.5 г/дл также выше, чем у соответствующих растворов Альг-ДЭА. Повышение температуры до 37 °С приводит к значимому снижению вязкости как для растворов исходного альгината натрия, так и для растворов Альг-ДЭА в большинстве исследованных концентраций, но не влияет на характер течения растворов. Исключение составляет раствор альгината натрия с концентрацией 1.5 г/дл, вязкость которого с повышением температуры существенно не изменяется. При скорости сдвига больше 50 с–1 ηдин = 23.2 мПа·с.
Критическая концентрация альгиновых полимеров в растворе. Форма существования полимерных цепей в растворе зависит от многочисленных факторов, среди которых химическая структура и концентрация. Если влияние взаимодействия между полимерными цепями на вязкость отсутствует, вязкость линейно возрастает с увеличением концентрации, раствор считается разбавленным. В растворах неионогенных полимеров выше концентрации кроссовера (С = С*) наблюдается отклонение от первоначального линейного роста вязкости, что свидетельствует о межмолекулярных взаимодействиях, формировании сетки зацеплений и агрегатов [24]. В растворах полиэлектролитов при концентрации выше С* наблюдается переход в полуразбавленную область, в которой существенным фактором становится взаимное отталкивание одинаково заряженных цепей и их агрегатов, препятствующее взаимопроникновению полимерных клубков и формированию сетки зацеплений [25, 26]. В бессолевых растворах дальнейший рост концентрации полиэлектролита выше С = Сe приводит к полуразбавленной области с зацеплениями и затем к концентрированным растворам.
На рис. 3а, 3в представлены билогарифмические зависимости удельной вязкости от концентрации, а также зависимости размера существующих в водном растворе агрегатов альгинатных полимеров от концентрации.
Рис. 3. Удельная вязкость ηуд, (1) и размер агрегатов в водном растворе Dh (2) в зависимости от концентрации альгината натрия (а) и Альг-ДЭА-0.14 (в), а также приведенная вязкость в зависимости от концентрации альгината натрия (б) и Альг-ДЭА-0.05 (1) и Альг-ДЭА-0.14 (2) (г). Бессолевой раствор, 25 ºC. Пояснения в тексте.
Показатель степени в зависимости ηуд ~ Сδ для исходной альгиновой кислоты в бессолевом растворе при низких концентрациях составляет 0.51 (рис. 3а). При больших концентрациях полимера δ = 1.48. Переход к более высокому показателю происходит при критической концентрации С = 0.39 г/дл. Изменение δ коррелирует с ростом гидродинамического диаметра агрегатов в растворе. Выше указанной критической концентрации происходит быстрое увеличение размера агрегатов с 750 нм до 3000 нм. Похожие тенденции наблюдаются и для образцов Альг-ДЭА, для которых происходит быстрый рост гидродинамического диаметра агрегатов при росте концентрации выше критической. Экспериментальная критическая концентрация для Альг-ДЭА-0.05 и Альг-ДЭА-0.14 составляет 0.34 и 0.21 г/дл (рис. 3в). С этими данными коррелирует ряд значений дзета-потенциалов, определенных вблизи критических концентраций альгиновой кислоты и ее ДЭА-производных: –68 ± 1.2 мВ для исходного альгината натрия, –60 ± 0.5 мВ для Альг-ДЭА-0.05 и –55 ± 1.0 мВ для Альг-ДЭА-0.14. Наблюдается уменьшение величины абсолютной величины дзета-потенциала Альг-ДЭА с увеличением содержания аминогрупп.
Показатели степени δ для альгиновой кислоты и ее ДЭА-производных ниже критической точки близки к значению критерия Фуосса, равного 0.5 для электролитов в полуразбавленных областях [27]. Наиболее вероятной причиной некоторого отклонения экспериментальных значений δ от 0.5 является присутствие анионов HCO3– – продукта растворения углекислого газа в воде. Как известно [28], полиэлектролиты в разбавленной и полуразбавленной области крайне чувствительны к добавкам фоновых электролитов. Вместе с тем найденные нами величины показателя δ согласуются с литературными данными для бессолевых растворов альгиновой кислоты. Так, в работе [29] показатель δ при концентрации полимера ниже С* составляет 0.87, выше точки кроссовера падает до 0.69, а выше Сe равен 1.33. Полученные нами данные также хорошо согласуются с теоретическими предсказаниями для показателя степени в зависимости ηуд ~ Сδ для бессолевых растворов полиэлектролитов: δ = 1/2 в области полуразбавленных растворов без зацеплений и δ = 3/2 в области растворов с зацеплениями [30].
Зависимости ηпр–С в билогарифмических координатах (рис. 3б, 3г) имеют монотонный вид при низких концентрациях и выраженный минимум в области С = 0.5 г/дл. Наличие такого минимума свидетельствует о переходе в область концентрированных растворов. Выше этой концентрации формируются зацепления между макромолекулами, что отражает наблюдаемое резкое повышение гидродинамического диаметра агрегатов. Полученные результаты указывают на то, что исследованный диапазон концентраций исходного и ДЭА-модифицированных альгинатных полимеров лежит между С*-Ce, т.е. в области полуразбавленных растворов без зацеплений. Данная область концентраций выше точки кроссовера характеризуется ориентационным порядком с формированием микродоменной структуры, стабилизированной диполь-дипольными взаимодействиями [31]. Найденные критические концентрации альгиновых полимеров С = Сe соответствуют переходу в область растворов с зацеплениями.
Как было отмечено, с ростом содержания фрагментов этилендиамина наблюдается закономерное падение дзета-потенциала в Альг-ДЭА. Это уменьшает силы взаимного отталкивания макромолекул, способствует процессам их сближения и агрегирования и сдвигает переход в другую область структурообразования и смену режима течения к более низким концентрациям полимера.
Энергия активации вязкого течения водных растворов. Учет влияния температуры на реологические характеристики растворов полимеров особенно необходим в случае использования растворов для внутривенного введения. Влияние температуры связано с усилением тепловых колебаний, диссоциацией групп, образующих внутри и межмолекулярные ассоциативные связи, с изменением эффективной плотности контактов (доли групп, включенных в ассоциации), расширением набора доступных конформаций полимерного клубка. Эти причины в совокупности приводят к формированию сетки флуктуационных зацеплений. Энергия активации течения определяется как минимальная энергия, необходимая для преодоления энергетического барьера – разрушения сетки зацеплений и возникновения элементарного потока. Энергия активации вязкого течения ∆Ea(η) рассчитана для водных растворов исходного альгината натрия и Альг-ДЭА в диапазоне концентрации 0.5–1.5 г/дл при нескольких скоростях сдвига (рис. 4). Дополнительные данные представлены в табл. П1а, П1б Приложения.
Рис. 4. Энергия активации вязкого течения водных растворов исходного альгината натрия (a) и Альг-ДЭА-0.14 (б) в зависимости от скорости сдвига при концентрации полимера 1.5 (1), 1.2 (2), 0.8 (3) и 0.5 г/дл (4).
Как видно на рис. 4, зависимость энергии активации вязкого течения от скорости сдвига для растворов альгината натрия и Альг-ДЭА с концентрацией 0.5–1.2 г/дл имеет в большинстве случаев выраженный минимум в области скоростей сдвига ~50 с–1. Наиболее высокие значения ∆Ea(η) отмечены для растворов альгината натрия и Альг-ДЭА с концентрацией 0.5 и 0.8 г/дл при наименьшей скорости сдвига.
Для раствора исходного альгината натрия с концентрацией 1.5 г/дл при низких скоростях сдвига наблюдается небольшой рост ∆Ea(η), затем, при скоростях сдвига от 52 до 200 с–1 выход на плато с ∆Ea(η), близкой к 20 кДж/моль (рис. 4а, табл. П1а Приложения). Зависимости для растворов Альг-ДЭА с концентрацией 1.2 и 1.5 г/дл имеют схожий характер с минимальным значением ∆Ea(η) в области скоростей сдвига до 52 с–1 (18.5 кДж/моль). Выше 52 с–1 происходит рост ∆Ea(η) до 19 кДж/моль (рис. 4б). В целом полученные значения ∆Ea(η) сравнительно низки и близки к энергии активации вязкого течения растворителя.
Представленные данные указывают на существенную зависимость ∆Ea(η) от скорости сдвига в области низких концентраций как для исходного альгината, так и для модифицированного. Наблюдаемый в большинстве случаев минимум энергии активации в области 50 с–1 хорошо коррелирует с переходом в этой области скоростей сдвига к “квазиньютоновскому” типу течения (рис. 2), при котором энергия, необходимая для разрушения части имеющихся ассоциативных связей и перестройки сетки зацеплений, минимальна. Значения ∆Ea(η) для растворов Альг-ДЭА в среднем ниже, чем для растворов исходного полимера той же концентрации. По-нашему мнению, это различие может быть объяснено заменой части карбоксильных групп амидными и аминными функциями, что приводит к снижению абсолютной величины дзета-потенциала и как результат к уменьшению количества связей полимер-растворитель.
В рамках данного исследования невозможно однозначно интерпретировать увеличение ∆Ea(η) в области сравнительно сильных механических воздействий для более концентрированных растворов изучаемых полимеров. Если допустить, что в области слабых механических воздействий в наиболее концентрированных системах присутствуют ассоциативные связи, построенные как на взаимодействии полимера с молекулами растворителя, так и на образовании связей полимер‒полимер, то повышение энергии активации в области скоростей сдвига выше 50 с–1 можно объяснить увеличением вклада связей полимер‒полимер после первичного разрушения более слабых связей полимер‒вода. Подобный вид зависимости наблюдается для исходного альгината и Альг-ДЭА только в растворах с наибольшей исследованной концентрацией (1.5 г/дл) и частично в растворах с концентрацией 1.2 г/дл. Следовательно, в растворах с более низкой концентрацией (0.5 и 0.8 г/дл) определяющим является вклад связей полимер‒вода, а взаимодействие полимер‒полимер менее значимо, вероятнее всего, из-за большого расстояния между одноимённо заряженными молекулярными клубками.
Кислотно-основные свойства водных растворов альгината натрия и Альг-ДЭА
Расчет рКа для водорастворимых полиэлектролитов имеет свои особенности, связанные с тем, что пограничный слой вблизи молекулы полимера может иметь рН, отличный от его значений в объеме раствора [32]. Это связано с тем, что протоны сильнее удерживаются в пограничном слое молекулы полиэлектролита и делают рН данного слоя более кислым. Таким образом, потенциометрическое титрование, основанное на общем значении рН, не учитывает рН в пограничном слое. Как следствие, происходит завышение как рН исследуемой системы, так и величин рКа, рассчитанных на основании экспериментальных данных [33]. Например, для альгината натрия значения рКа, полученные на основании только данных потенциометрии, имеют разброс от 4.0 до 4.6 [34, 35]. Совмещение полученных результатов с данными лазерного доплеровского электрофореза, учитывающего заряд в пограничном слое, привело к более точной оценке рКа = 3.5 ± 0.1 [33, 36].
Также необходимо учитывать, что катион натрия не связан ковалентно с отрицательно заряженной карбоксильной группой альгината натрия, поэтому важным параметром, влияющим на кислотно-основные равновесия, будет ионная сила [37-39]. Ионы фонового электролита оказывают влияние на нейтрализацию депротонированных карбоксильных групп и способствуют переходу избытка протонов из приграничного слоя в объем раствора, что приводит к снижению рН системы [35]. Например, в 0.1 н растворе NaCl для альгината натрия значение pKa составляет 3.5 [40].
Наличие в макромолекуле альгиновой кислоты большого количества карбоксильных групп, придающих ей отрицательный заряд, позволяет формировать полиэлектролитные комплексы с положительно заряженными макромолекулами или внутренние связи с аминогруппами остатков этилендиамина. Так, известны комплексы альгиновой кислоты и хитозана [41-43]. Формирование комплекса между альгинатом и хитозаном подтверждается, в том числе, наличием кислотно-основных центров с рКа 3.6 и 6.5, характерных для карбоксильных групп альгината и аминогрупп хитозана соответственно [44].
На рис. 5 представлена величина адсорбции протонов nb в зависимости от рН и концентрации фонового электролита для водных растворов альгината натрия и его производного Альг-ДЭА. Смещение кривых титрования альгината натрия и его амид/аминосодержащего производного Альг-ДЭА в более кислую область при увеличении концентрации фонового электролита можно объяснить участием катионов фонового электролита в нейтрализации депротонированных карбоксильных групп и переходом протонов из пограничного слоя молекулы полиэлектролита в объем раствора [35]. Этот эффект приводит к смещению рКа равновесия –COOH ↔ –COO– + H+ c 4.1 ± 0.15 (без фонового электролита) до 3.50 ± 0.15 (при концентрации фонового электролита 0.1 н).
Рис. 5. Величина адсорбции протонов nb в зависимости от рН для водных растворов альгината натрия (1, 2) и Альг-ДЭА-0.14 (3, 4). Концентрация фонового электролита (NaCl) 0 (1, 3) и 0.1 н (2, 4).
Для производного Альг-ДЭА помимо равновесия, характерного для карбоксильных групп, имеется кислотно-основное равновесие депротонирования аминогруппы: –NH3+ ↔ –NH2 + H+. Для него при увеличении концентрации NaCl также наблюдается смещение рКa с 7.10 ± 0.15 (без фонового электролита) до 6.65 ± 0.15 (при концентрации NaCl 0.1 н) (рис. П1 Приложения). При повышении концентрации электролита происходит снижение pH для обоих полимеров. Это подтверждает представление о том, что ионы фонового электролита способствуют переходу избытка протонов приграничного слоя в объем раствора.
Рис. П1. Адсорбция протонов nb в зависимости от рН для водных растворов альгината натрия (1, 3) и его модифицированного производного Альг-ДЭА-0.14 (2, 4) при титровании щелочью. Концентрация фонового электролита (NaCl) 0 (1, 2) и 0.1 н (3, 4).
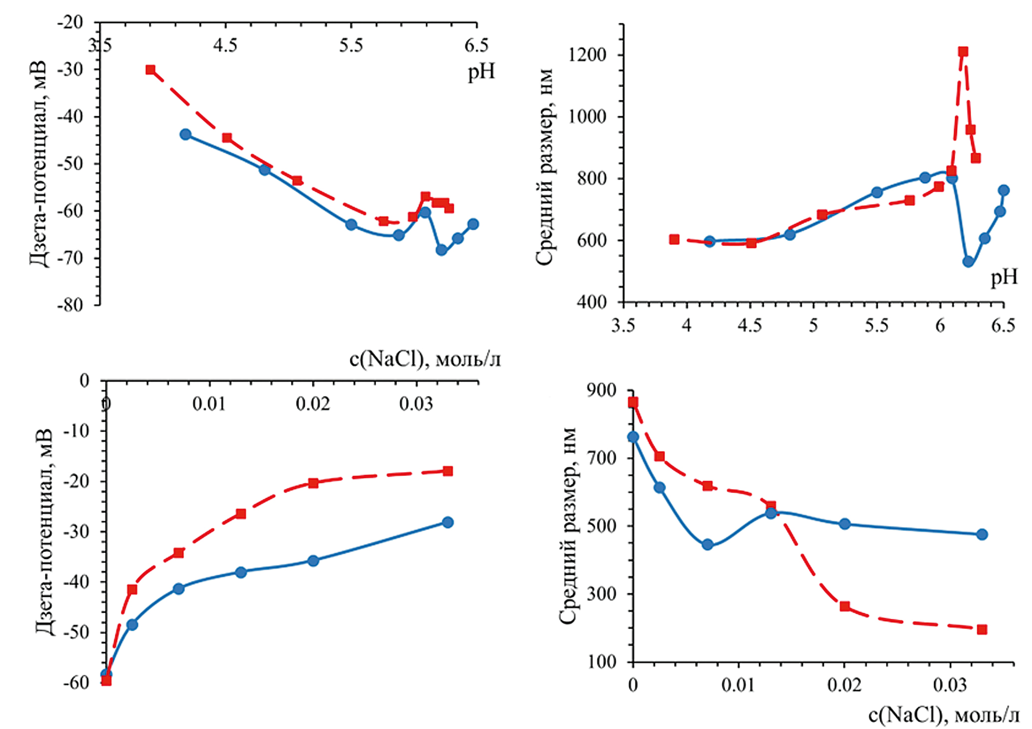
Как было показано в предыдущем разделе, в водной среде молекулы исследуемых полиэлектролитов образуют устойчивые агрегаты за счет водородных связей между кислотно-основными центрами молекулы. На рис. 6 представлены дзета-потенциал и размер образующихся частиц в зависимости от рН для исходного альгината натрия и его производного Альг-ДЭА-0.14 в области разбавленных растворов.
Рис. 6. Дзета-потенциал (а, в) и размер образующихся частиц (б, г) в зависимости от рН среды (а, б) и концентрации NaCl (в, г) для исходного альгината-натрия (сплошная линия) и Альг-ДЭА-0.14 (штриховая линия). С = 0.18 г/дл.
Альгинат натрия относят к рН-чувствительным полимерам, степень диссоциации функциональных групп которых зависит от рН [45]. В случае альгината натрия (рКОН (альгинат натрия) = 7.50 ± 0.15) при рН ≈ 6.5 небольшое количество ОН-групп находится в диссоциированном состоянии: –ОН ↔ –О–+Н+. При уменьшении рН до 6.2 происходит подавление диссоциации при одновременном сжатии агрегата (рис. 6б) вследствие уменьшения электростатического отталкивания между молекулами и формирования более плотных структур. Резкое уменьшение размера при небольшом изменении рН позволяет предположить, что сжатие сопровождается формированием системы водородных связей между водородом групп ОН и кислородом групп СОО–. Плотность отрицательных зарядов увеличивается, что способствует росту дзета-потенциала частицы (рис. 6а). При рН в интервале 6.2‒6.0 происходит избыточная сорбция протонов, сопровождающаяся уменьшением отрицательного дзета-потенциала (рис. 6а) и полиэлектролитным набуханием частицы (рис. 6б) [46]. При рН <6.0 равновесие –СОО–+Н+↔ –СООН начинает смещаться в сторону недиссоциированной формы карбоксильной группы. Это приводит к уменьшению дзета-потенциала и размера частицы (рис. 6а, 6б), так как ослабевают силы электростатического отталкивания между молекулами и формируются более плотные клубки.
В случае Альг-ДЭА в исследуемом интервале рН (3–8) диссоциация групп ОН не выявлена. По всей видимости, введение аминогрупп приводит к смещению диссоциации групп ОН в более щелочную область. Ранее [47] на примере полиэлектролитного комплекса альгината с хитозаном было установлено, что гелевые структуры образуются в результате электростатического взаимодействия между положительно заряженной аминогруппой и отрицательно заряженным карбоксилом альгината. Учитывая эти факторы, можно предположить, что с уменьшением рН в интервале 6.4–6.2 происходит избыточная сорбция протонов и полиэлектролитное набухание частицы, в которой макромолекулы за счет системы водородных связей формируют агрегаты, стабилизированные по типу полиэлектролитных комплексов. При рН 6.2, как и в случае альгината натрия, наблюдается резкое уменьшение размеров и дзета потенциала (рис. 6а, 6б), что можно связать с началом образования недиссоциированных форм и расходованием избытка протонов в равновесии –СОО–+Н+↔ –СООН. При рН <6.0 ход зависимостей дзета-потенциала и гидродинамического диаметра для альгината натрия и Альг-ДЭА практически идентичен, что обусловлено постепенным увеличением количества недиссоциированных форм групп СООН с уменьшением рН.
При увеличении концентрации электролита (NaCl) в обоих случаях наблюдается снижение дзета-потенциала (рис. 6в), так как катионы участвуют в нейтрализации заряда депротонированных карбоксильных групп альгината натрия и Альг-ДЭА. Уменьшение электростатического отталкивания между макромолекулами при введении электролита сопровождается сжатием частиц, что приводит к уменьшению среднего гидродинамического диаметра (рис. 6г). Некоторый рост средних размеров при введении 13 мМ NaCl в случае альгината натрия можно связать с понижением pH до ~ 6.0 (рис. П2 Приложения), при котором наблюдался резкий рост размеров (рис. 6б).
Рис. П2. Зависимость pH от концентрации фонового электролита для исходного альгината натрия (сплошная линия) и Альг-ДЭА (штриховая). С = 0.18 г/дл.
Гемосовместимость водных растворов альгината натрия и Альг-ДЭА
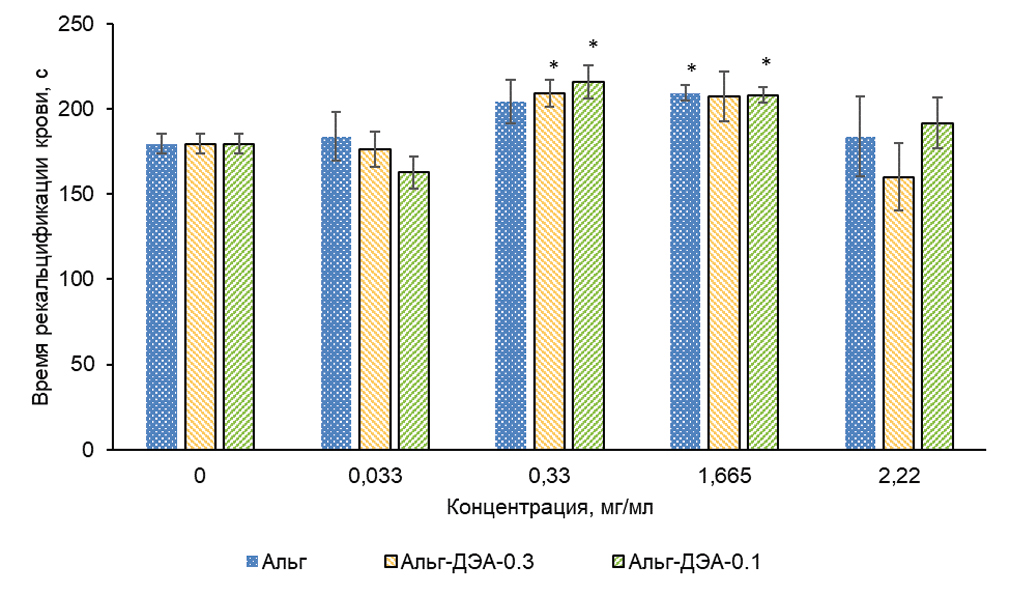
Для оценки гемосовместимости in vitro образцов Альг-ДЭА использовали тесты времени рекальцификации крови и АЧТВ и анализ влияния на агрегацию тромбоцитов [10, 11]. Добавление образцов альгината натрия, Альг-ДЭА-0.3 и Альг-ДЭА-0.1 к крови в концентрациях 0.033 мг/мл и 2.22 мг/мл не приводило к достоверному изменению времени свертывания в тесте времени рекальцификации крови (162.64 ± 9.29 – 191.69 ± 14.87 с) посравнению с контролем при добавлении буферного раствора (179.63 ± 5.75 с) (рис. 7). Инкубация крови с образцами альгината натрия, Альг-ДЭА-0.3 и Альг-ДЭА-0.1 в концентрациях 0.33 мг/мл и 1.665 мг/мл приводила к достоверному, но незначительному (в 1.14–1.20 раза) увеличению времени свертывания крови по сравнению с контролем.
Рис. 7. Время рекальцификации крови при добавлении альгината натрия (1), Альг-ДЭА-0.3 (2) и Альг-ДЭА-0.1 (3). Число независимых измерений n = 6. Звездочки ‒ достоверность различий (р ˂ 0.05) с показаниями в контроле с буфером (концентрация 0 мг/мл).
Время свертывания плазмы в тесте АЧТВ с повышением концентрации образцов исходного альгината натрия, Альг-ДЭА-0.3 и Альг-ДЭА-0.1 от 0.00456 до 0.0465 мг/мл достоверно не возрастало (27.46 ± 2.41 – 33.17 ± 5.08 с) по сравнению с контролем (27.03 ± 2.33 с) (рис. 8). Достоверное увеличение времени свертывания в 3.4–4.2 раза по сравнению с контролем наблюдали при инкубации плазмы с образцами в концентрации 2.325 мг/мл. Достоверное, но незначительное по сравнению с контролем увеличение (в 1.3–1.7 раза) происходило при добавлении образцов к плазме в концентрации 0.465 мг/мл. Концентрации образцов альгината натрия, Альг-ДЭА-0.3 и Альг-ДЭА-0.1, при которых время свертывания в тесте АЧТВ увеличивалось в 2 раза (2АЧТВ) по сравнению с контролем, достигали 0.8117 ± 0.1084, 1.1150 ± 0.0649 и 0.7667 ± 0.0694 мг/мл соответственно, однако антикоагулянтная активность образцов была незначительна (0.1844 ± 0.0223, 0.1276 ± 0.0129 и 0.1887 ± 0.0179 ЕД/мг соответственно).
Рис. 8. Активированное частичное тромбопластиновое время при добавлении к плазме альгината натрия (1), Альг-ДЭА-0.3 (2) и Альг-ДЭА-0.1 (3). Число независимых измерений n = 6. Звездочки ‒ достоверность различий (р ˂ 0.05) с показаниями в контроле.
Образцы исходного и модифицированного альгинатов в концентрациях 0.00182 и 0.182 мг/мл самостоятельно не провоцировали агрегацию тромбоцитов человека. В концентрации 1.82 мг/мл образцы альгината натрия, Альг-ДЭА-0.3 и Альг-ДЭА-0.1 достоверно увеличивали агрегацию тромбоцитов в 2‒3 раза (18.38 ± 7.34, 10.63 ± 1.56 и 16.88 ± 6.07% соответственно) по сравнению с контролем (5.43 ± 0.27%) (рис. 9). Исследованные образцы (0.182 мг/мл) не влияли на АДФ-индуцированную агрегацию тромбоцитов (рис. 10).
Рис. 9. Самостоятельное влияние альгинатов на агрегацию тромбоцитов. Число независимых измерений n = 4. Звездочки ‒ достоверность различий (р ˂ 0.05) с показаниями в контроле с буфером.
Рис. 10. Влияние альгинатов на агрегацию тромбоцитов, индуцированную АДФ. Число независимых измерений n = 4–9.
В обзорной статье [48] авторы отмечали биосовместимость материалов и систем доставки лекарственных средств на основе альгината.
Заключение
Альгиновая кислота модифицирована введением в состав полисахарида остатков этилендиамина. В результате получен водорастворимый полимер, анализ структуры которого подтверждает, что присоединение этилендиамина осуществляется с образованием амидной связи и появлением свободных первичных аминогрупп в соотношении 1:1, без процессов сшивания макромолекул бифункциональным реагентом. Установлено значительное влияние модификации остатками этилендиамина на структурообразование в растворах уже сравнительно низкозамещённых ДЭА-производных альгиновой кислоты. Введение амид/аминных групп в структуру альгиновой кислоты приводит к переходу в область полуразбавленных растворов с зацеплениями при более низких концентрациях, чем у исходного полисахарида. Установлено, что энергия активации вязкого течения в растворах Альг-ДЭА ниже, чем в растворах исходной альгиновой кислоты, что связано с уменьшением количества связей макромолекула‒растворитель. В интервале рН 6.5–6.0 для полуразбавленных растворов Альг-ДЭА и альгината натрия наблюдается противоположно направленное изменение размера агрегатов макромолекул, связанное с особенностями их строения и межмолекулярного взаимодействия. Увеличение размеров агрегатов Альг-ДЭА в указанном интервале рН открывает возможность использования данного полимера для создания систем адресного pH-зависимого воздействия на органы-мишени и доставки лекарств. В совокупности с отсутствием влияния in vitro на коагуляцию крови и плазмы человека и на агрегацию тромбоцитов человека этот тип производных альгиновой кислоты также перспективен в качестве платформы для создания специальных материалов, контактирующих с кровью, систем контролируемого высвобождения лекарственных форм, вводимых перорально и внутривенно.
Работа выполнена в рамках Научно-исследовательской работы Института химии Федерального исследовательского центра “Коми научный центр Уральского отделения Российской академии наук” (Госзадание 122040600027-6). Определение гемосовместимости образцов проведено в рамках Научно-исследовательской работы Государственного задания Республики Коми № АААА-А21-121011290079-5.
Работа выполнена с использованием оборудования Центра коллективного пользования “Химия” Института химии Федерального исследовательского центра “Коми научный центр Уральского отделения Российской академии наук” г. Сыктывкар.
Авторы благодарят к.х.н. Ф.В. Витязева, Институт физиологии Коми НЦ УрО РАН, за определение молекулярной массы полисахаридов методом ГПХ.
Приложение
Таблица П1а. Энергия активации вязкого течения водных растворов альгината натрия ∆Ea(η)при разных скоростях сдвига
Концентрация полимера, г/дл | ∆Ea(η), кДж/моль | ||||
11 с–1 | 32 с–1 | 52 с–1 | 105 с–1 | 200 с–1 | |
0.5 | 29.8±3.0 | 16.8±0.5 | 16.6±0.2 | 16.7±0.2 | 16.8±0.1 |
0.8 | 26.1±0.8 | 18.5±0.7 | 18.1±0.2 | 18.2±0.2 | 18.1±0.2 |
1.2 | 20.5±1.4 | 17.9±0.2 | 19.1±0.2 | 19.6±0.2 | 19.5±0.2 |
1.5 | 18.0±0.8 | 19.8±0.5 | 19.9±0.3 | 19.9±0.8 | 20.0±0.3 |
Таблица П1б. Энергия активации вязкого течения водных растворов Альг-ДЭА-0.14 ∆Ea(η)при разных скоростях сдвига
Концентрация полимера, г/дл | ∆Ea(η), кДж/моль | ||||
11 с–1 | 32 с–1 | 52 с–1 | 105 с–1 | 200 с–1 | |
0.5 | 22.3±0.6 | 15.5±0.2 | 15.2±0.2 | 15.1±0.1 | 15.3±0.2 |
0.8 | 21.6±1.1 | 16.9±0.5 | 16.2±0.3 | 16.8±0.2 | 16.9±0.2 |
1.2 | 18.4±1.5 | 18.2±0.2 | 18.3±0.2 | 19.0±0.2 | 18.9±0.1 |
1.5 | 18.1±0.9 | 18.3±0.2 | 18.6±0.2 | 19.6±0.2 | 19.7±0.2 |
Об авторах
М. А. Торлопов
Институт химии Федерального исследовательского центра “Коми научный центр Уральского отделения Российской академии наук”
Email: udoratina-ev@chemi.komisc.ru
Россия, 16700, Республика Коми, Сыктывкар, ул. Первомайская, 48
Н. Н. Дрозд
Национальный медицинский исследовательский центр гематологии Министерства здравоохранения Российской Федерации
Email: udoratina-ev@chemi.komisc.ru
Россия, 125167, Москва, Новый Зыковский проезд, 4
П. А. Ситников
Институт химии Федерального исследовательского центра “Коми научный центр Уральского отделения Российской академии наук”
Email: udoratina-ev@chemi.komisc.ru
Россия, 16700, Республика Коми, Сыктывкар, ул. Первомайская, 48
В. И. Михайлов
Институт химии Федерального исследовательского центра “Коми научный центр Уральского отделения Российской академии наук”
Email: udoratina-ev@chemi.komisc.ru
Россия, 16700, Республика Коми, Сыктывкар, ул. Первомайская, 48
Е. В. Удоратина
Институт химии Федерального исследовательского центра “Коми научный центр Уральского отделения Российской академии наук”
Автор, ответственный за переписку.
Email: udoratina-ev@chemi.komisc.ru
Россия, 16700, Республика Коми, Сыктывкар, ул. Первомайская, 48
Список литературы
- Birajdar M.S., Joo H., Koh W.G., Park H. // Biomater. Res. 2021. V. 25. № 1. P. 1.
- Biswas M.C., Jony B., Nandy P.K., Chowdhury R.A., Halder S., Kumar D., Imam M.A. // J. Polym. Environ. 2022. V. 30. № 1. P. 51.
- Косарева Д.Н., Ананьева Е.П., Иозеп А.А. // Разработка и регистрация лекарственных средств. 2019. Т. 8. № 3. С. 30.
- Raus R.A., Nawawi W.M.F.W., Nasaruddin R.R. // Asian J. Pharmaceut. Sci. 2021. V. 16. № 3. P. 280.
- Usov A.I. //Russ. Chem. Revs. 1999. V. 68. № 11. P. 957.
- Fernando I.P.S, Kim D., Nah J.W., Jeon Y.J. // Chem. Eng. J. 2019. V. 355. P. 33.
- Pawar S.N., Edgar K.J. // Biomaterials. 2012. V. 33. № 11. P. 3279.
- Park H., Lee H.J., An H., Lee K.Y. // Carbohydr. Polym. 2017. V. 162. P. 100.
- Biomaterials in Clinical Practice: Advances in Clinical Research and Medical Devices / Ed. by F. Zivic, S. Affatato, M. Trajanovic, M. Schnabelrauch, N. Grujovic, K.L. Choy. Cham,Switzerland: Springer, 2018.
- Biomaterials Science: an Introduction to Materials in Medicine / Ed. by. W.R. Wagner, S.E Sakiyama-Elbert, G. Zhang, M.J. Yaszemski. London: Elsevier/ Acad. Press, 2020.
- Advances in Biomaterials for Biomedical Applica tions / Ed. by A. Tripathi, J.S. Melo. Singapore: Springer, 2017.
- Ryazanov M.A., Dudkin B.N. // Rus. J. Phys. Chem. A. 2009. V. 83. № 13. P. 231
- Gulliani G.L, Hyun B.H, Litten M.B. // Am. J. Clin. Pathol. 1976. V. 65. № 3. P. 390.
- Stuart R., Michel A. // Can. Med. Association J. 1971. V. 104. № 5. P. 385.
- Макаров В.А., Спасов А.А., Плотников М.Б., Белозераская Г.Г., Васильева Т.М., Дрозд Н.Н., Свистунов А.А., Кучерявенко А.Ф., Малыхина Л.С., Науменко Л.В., Неведрова О.Е., Петрухина Г.Н., Алиев О.И., Плотникова Т.М. Руководство по проведению доклинических исследований лекарственных средств. Минздравсоцразвития России. М.: Гриф и К, 2012. Т. 1.
- Born G. // Nature. 1962. V. 194. № 4. P. 927.
- Larsen B., Salem D.M., Sallam M.A., Mishrikey M.M., Beltagy A.I. // Carbohydr. Res. 2003. V. 338. № 22. P. 2325.
- Davis T.A, Llanes F., Volesky B., Diaz-Pulido G., McCook L., Mucci A. // Appl. Biochem. Biotechnol. 2003. V. 110. № 2. P. 75.
- Belattmania Z., Kaidi S., El Atouani S., Katif C., Bentiss F., Jama C., Reani A., Sabour B., Vasconcelos V. // Molecules. 2020. V. 25. № 18. P.4335.
- Papageorgiou S.K., Kouvelos E.P., Favvas E.P., Sapalidis A., Romanos G.E., Katsaros F. // Carbohydr. Res. 2010. V. 345. P. 469.
- Leal D., Matsuhiro B., Rossi M., Caruso F. // Carbohydr. Res. 2008. V. 343. № 2. P. 308.
- Chandía N.P., Matsuhiro B., Mejías E., Moenne A. // J. Appl. Phycol. 2004. V. 16. P. 127.
- Silverstein R.M., Clayton Bassier G., Morril T.C. // Spectrometric Identification of Organic Compounds. New York: Wiley, 1991.
- Lapasin R., Pricl S. Rheology of Industrial Polysaccharides: Theory and Applications. New York: Springer, 1995.
- Dobrynin A.V., Rubinshtein M., Colby R.H. // Macromolecules. 1995. V. 28. № 6. P. 1859.
- Litmanovich E.A., Orleneva A.P., Korolev B.A., Kasaikin V.A., Kulichikhin V.G. // Polymer Science A. 2000. V.42. № 6. P. 689.
- Rabin Y., Cohen J., Priel Z. // J. Polym. Sci., Polym. Lett. Ed. 1988. V. 26. №. 9. P. 397.
- Dobrynin A. V., Rubinstein M. // Prog. Polym. Sci. 2005. V. 30. №. 11. С. 1049.
- Roger S., Sang Y.Y.C., Bee A., Perzynski R., Di Meglio J. M., Ponton A. // Eur. Phys. J. E. 2015. V. 38. P. 1.
- Colby R. // Rheol. Acta. 2010. V. 49. P. 425.
- Ray J., Manning G.S. // Macromolecules. 1997. V. 30. № 19. P. 5739.
- Rey-Castro C., Herrero R., De Vicente M.E.S. // J. Electroanal. Chem. 2004. V. 564. P. 223.
- Barbosa J.A.C., Abdelsadig M.S.E., Conway B.R., Merchant H.A. // Int. J. Pharm. X. 2019. V. 1. P. 100024.
- Shinde U.A., Nagarsenker M.S. // Indian J. Pharm. Sci. 2009. V. 71. №. 3. P. 313.
- Vleugels L.F.W., Ricois S., Voets I.K., Tuinier R. // Food Hydrocolloids. 2018. V. 81. P. 273.
- Chuang J.J., Huang Y.Y., Lo S.H., Hsu T.F., Huang W.Y., Huang S.L., Lin Y.S. // Int. J. Polym. Sci. 2017. V. 2017. P. 1.
- Schiewer S., Volesky B. // Environ. Sci. Technol. 1997. V. 31. №. 9. P. 2478.
- Fukushima M., Tatsumi K., Wada S. // Anal. Sci. 1999. V. 15. №. 11. P. 1153.
- De Vasconcelos C.L., Pereira M.R., Fonseca J.L.C. // J. Dispersion Sci. Technol. 2005. V. 26. № 1. P. 59.
- Haug A. // Acta Chem. Scand. 1961. V. 15. №. 4. P. 950.
- Gåserød O., Smidsrød O., Skjåk-Bræk G. // Biomaterials. 1998. V. 19. № 20. P. 1815.
- dos Santos de Macedo B., de Almeida T., da Costa Cruz R., Netto A.D.P., da Silva L., Berret J.F., Vito razi L. // Langmuir. 2020. V. 36. № 10. P. 2510.
- Kulig D., Zimoch-Korzycka A., Jarmoluk A., Marycz K. // Polymers. 2016. V. 8. № 5. P. 167.
- Simsek‐Ege F.A., Bond G.M., Stringer J. // J. Appl. Polym. Sci. 2003. V. 88. № 2. P. 346.
- Patel D.K., Jung E., Priya S., Won S.Y., Han S.S. // Carbohydr. Polym. 2023. P. 121408.
- Conzatti G., Faucon D., Castel M., Ayadi F., Cava lie S., Tourrette A. //Carbohydr. Polym. 2017. V. 172. P. 142.
- Baysal K., Aroguz A.Z., Adiguzel Z., Baysal B.M. // Int. J. Biol. Macromol. 2013. V. 59. P. 342.
- Sharma A., Kaur I., Dheer D., Nagpal M., Kumar P., Venkatesh D.N., Puri V., Singh I. // Carbohydr. Polym. 2023. V. 15. № 308. P. 120448.
Дополнительные файлы
















