Characteristics of a intermediate pressure radio frequency inductive coupled stream discharge for solid processing
- Authors: Shemakhin A.Y.1, Abdullin I.S.2, Zheltukhin V.S.1, Makeeva E.A.1
-
Affiliations:
- Kazan (Volga Region) Federal University
- Limited Corporation “Plazma-VST”
- Issue: No 3 (2024)
- Pages: 167-175
- Section: Mathematical modeling and its application in scientific research
- URL: https://journal-vniispk.ru/2413-0133/article/view/275429
- DOI: https://doi.org/10.25729/ESI.2024.35.3.015
- ID: 275429
Cite item
Full Text
Abstract
Experimental measurements of parameters of a stream radio frequency inductive coupled discharge of intermediate pressure in a discharge chamber and a jet, measurements of ion energy and ion current density on the sample surface, validation of a mathematical model of a stream RF discharge of intermediate pressure on experimental data were carried out. It has been established that a stream RF discharge of intermediate pressure in the pressure range of 13.3-133 Pa is a new type of radio frequency intermediate pressure discharge of a combined type, which differs both from an RF discharge in an atmospheric pressure gas stream with a solenoid inductor, and from a low-pressure RF discharge in a plasma torch with a flat spiral antenna, and from an RF discharge-low pressure discharge with a solenoid inductor.
Full Text
Введение. Высокочастотная индукционная (ВЧИ) плазма пониженного давления (13,3 − 133 Па) с продувом газа применяется для модификации различных материалов: диэлектриков, проводящих, полупроводниковых с целью изменения их качественных свойств, повышения прочности, надежности и долговечности изделий [1-2]. C каждым годом расширяется область применения ВЧ-плазмы [3-10]. Образованная ВЧ-индукционным разрядом плазма характеризуется следующими параметрами: концентрация электронов ne = 1015-1018 м−3, степень ионизации 10−6−10−3, электронная температура Te = 1−4 эВ, температура атомов и ионов в плазменном сгустке Ta = (3−4)· 103 К, в струе Ta = (3.2−10)· 102 K.
Основными параметрами, определяющими результаты модификации твердых тел в «холодной» плазме струйного ВЧИ-разряда пониженного давления, являются энергия ионов и плотность ионного тока на поверхности образца. В данной работе проведены экспериментальные измерения основных параметров струйного ВЧИ-разряда пониженного давления и характеристик обработки – энергии ионов и ионного тока, поступающих на поверхность образца. Исследованы характеристики струйного ВЧИ-разряда индукционного типа с соленоидальным индуктором в атмосфере аргона в следующем диапазоне рабочих параметров: давление p = 13,3 − 133 Па, расход газа G ⩽ 0,4 г/с, потребляемая мощность генераторов Pпотр от 1,5 до 20 кВт, частота f = 1,76 МГц.
В работах [11-15] описана конфигурация установки и построена математическая модель, разработаны численный метод и программный комплекс для расчета параметров струйного ВЧИ-разряда пониженного давления. В настоящей работе, в дополнение к экспериментальным исследованиям, проводится валидация программного комплекса по ряду экспериментальных данных. Далее будут рассмотрены зависимости полученных экспериментальных данных от мощности разряда и расхода газа, по пространственным распределениям в вакуумной и разрядной камерах и по параметрам обработки материалов различной физической природы.
- Зависимости от мощности разряда. На рис. 1а приведены экспериментальные данные по мощности, выделяемой в ВЧ-разряде пониженного давления, измеренной колориметрическим методом в зависимости от мощности на индукторе. Разница составила не более 10% с расчетными данными.
Измерения распределений скорости в вакуумной камере показали, что скорость истечения плазмы на срезе плазмотрона составляет от 250 до 450 м/с, что меньше скорости звука. Поэтому в области обрабатываемого тела не возникают ударные волны и не происходит резкого поднятия температуры потока, следовательно, роль плазмы сводится к транспортировке заряженных частиц и атомов к поверхности твердого тела и интенсификации тепло и массообмена (рис. 1б.).
Рис. 1а. Валидация математической модели по экспериментальным данным мощности, выделяемой в разряде от мощности на индукторе
Рис. 1б. Зависимость скорости потока плазмы аргона на срезе разрядной камеры от мощности разряда, черная линия – при расходе 0,14 г/с, красная – при расходе 0,1 г/с
- Зависимости от расхода плазмообразующего газа. Измерения распределений скорости в рабочей камере проведены с помощью трубки Пито. Из рис. 2а видно, что с увеличением расхода газа скорость плазменного потока растет приблизительно линейно.
В плазменной струе аксиальная компонента Нz относительно расхода ведет себя практически линейно (рис. 2б). Следовательно, наблюдается постоянство напряженности поля при разных расходах.
Рис. 2а. Зависимость скорости потока плазмы от расхода плазмообразующего газа при мощности разряда 2,4 кВт на срезе плазмотрона на оси камеры.
Рис. 2б. Зависимость напряженности магнитного поля в плазме ВЧИ-разряда от расхода плазмообразующего газа Рр = 2,4 кВт, р = 113 Па, f = 1,76 МГц: z = -60 мм черная линия – аргон r = R, красная линия – аргон r = 0; зеленая линия – z = 120 мм аргон r = 0.
- Пространственное распределение характеристик струйного ВЧИ-разряда пониженного давления. Обнаружен эффект образования зоны перегрева по периферии струи около входного отверстия вакуумной камеры, в котором температура потока на периферии струи выше температуры в центре струи на 50∘C при скорости потока на входе в вакуумную камеру более 440 м/с и расходе плазмообразующего газа более 0,16 г/с при 2,4 кВт, который подтвержден экспериментально с помощью термопар, расположенных на разном расстоянии от центра потока. Из рис. 3 видно, что на периферии струи наблюдается температурный пик, температура в центре потока выше на 51 градус, в то время как в расчетах получено превышение на 131 градус Цельсия. В центре расчетная – 1231 К, на периферии – 1362 К, экспериментальная в центре – 1197 К, на периферии – 1248 градусов, то есть максимальное значение температуры создается на периферии струи, а локальный минимум температуры достигается в центре. Температура в поперечном сечении быстро спадает при удалении от струи. Точками обозначены экспериментальные данные (рис. 3), отклонение составляет не более 20%.
Рис. 3. Радиальное распределение температуры 𝑇𝑎 (на рис. обозн. T [К]) в поперечном сечении струи (𝑅𝑟𝑘 = 0,012 м, 𝑅𝑣𝑘 = 0,2 м, 𝐿𝑣𝑘 = 0,5 м, 𝐺 = 0,16 г/с, P=2,4 кВт, 𝑣 = 440 м/с). Точками обозначен эксперимент, подтверждающий наличие эффекта перегрева струи по периферии
Интерпретация этого эффекта следующая: в центре струи несущий газ охлаждается из-за резкого расширения потока при истечении из разрядной камеры; на периферии струи поток плазмы встречается с неподвижным газом внутри вакуумной камеры, при этом возрастает локальное давление газа, что приводит к увеличению частоты столкновений электронов с атомами и ионами, частоты столкновений возбужденных частиц; следствием этого является увеличение объемной рекомбинации заряженных частиц и интенсифицируются процессы гашения частиц в возбужденных состояниях. В процессах рекомбинации и гашения возбужденных состояний выделяется энергия, затраченная на ионизацию и возбуждение атомов. Совокупное воздействие газодинамических и плазмодинамических эффектов приводит к повышению температуры газа на периферии струи. Сопоставление расчетов с экспериментом является дополнительной валидацией разработанной модели.
С целью оценки влияния ВЧ-электромагнитного поля на обработку различных материалов, в том числе металлических, измерялась напряженность магнитного поля. Результаты измерений представлены на рис. 4.
В плазменной струе аксиальная компонента магнитного поля Нz не превышает 2350 А/м, а в сгустке плазмы в разрядной камере она достигает значений 5750 А/м (рис. 4а). В области сгустка находится максимум вдоль оси. Распределение магнитного поля по радиусу разрядной камеры при мощности разряда Wp=2,4 кВт на расстоянии 120 мм от среза плазмотрона в сторону индуктора представлено на рис. 4б.
Рис. 4а. Распределение напряженности магнитного поля по оси плазмотрона при мощности разряда Wp=2,4 кВт, черная линия — r=R, G=0 аргон; красная — r=0, G=0,4 г/с, аргон.
Рис. 4б. Распределение напряженности магнитного поля по радиусу разрядной камеры при мощности разряда Wp=2,4 кВт, l1=-120 мм, черная линия — без плазмы; красная — аргон p=113 Па, G=0,04 г/с; зеленая — p = 113 Па, G = 0 г/с.
- Взаимодействие струйного ВЧИ-разряда пониженного давления с материалами. Свойства плазмы в непосредственной окрестности от поверхности обрабатываемого материала изменяются существенно. Проведены исследования потенциала плазмы относительно образца с помощью одиночного электростатического зонда (зонд Ленгмюра) (рис. 5). Результаты исследований показали, что при удалении зонда от поверхности образца положительный потенциал увеличивается примерно по экспоненциальному закону до расстояния 1 мм, а затем потенциал переходит в насыщение (рис. 5а).
Рис. 5а. Пространственное распределение плавающего потенциала плазмы вблизи обрабатываемого тела ВЧИ-разряда Wр=2,0 кВт, Р=60 Па, G= 0,04 г/с
Рис. 5б. Зависимость плотности тока на поверхность от расхода плазмообразующего газа (p = 53,2 Па, 𝑃𝑝 = 1 кВт)
С увеличением давления в вакуумной камере ВЧ-плазменной установки положительный потенциал плазменного столба монотонно растет, при увеличении расхода газа потенциал плазменного столба уменьшается. При увеличении мощности генератора потенциал плазмы относительно образца монотонно возрастает (рис. 5б).
Сопоставление полученных данных с результатами зондовых измерений позволяет сделать вывод о том, что в окрестности обрабатываемого образца образуется пространственный слой некомпенсированного положительного заряда толщиной 0,3-0,5 см в зависимости от режима поддержания ВЧИ-разряда пониженного давления. Таким образом, обрабатываемое изделие представляет собой дополнительный электрод, и, следовательно, струя ВЧИ–разряда пониженного давления является не потоком свободно рекомбинирующей плазмы, а представляет собой разряд.
Рис. 6а. Зависимость энергии ионов от расхода плазмообразующего газа (p = 53,2 Па, P = 1 кВт)
Рис. 6б. Зависимость энергии ионов от давления плазмообразующего газа (Wp = 1 кВт, G = 0,04 г/с)
Значение максимума энергетического распределения ионов коррелирует с величиной постоянного потенциала плазмы. Зависимости максимумов распределения ионов по энергиям и плотности тока от давления и расхода плазмообразующего газа и мощности ВЧИ–разряда показаны на рис 5б, 6а, 6б. Плотности ионного тока на поверхность образца находились в диапазоне 0,4 – 4,0 А/м2 для мощностей разряда 0,6-1,0 кВт. Отклонения расчетных и экспериментальных данных составляют не более 20%.
Зависимость энергии ионов от расхода в ВЧ–индукционной плазме носят сложный, немонотонный характер. Энергия ионов в плазме аргона на 3-8 эВ больше, чем энергия ионов в смесях аргона с реагирующими газами.
Воздействие низкотемпературной плазмы на поверхность материалов осуществляется в результате ряда сложных, взаимосвязанных процессов энергетического, массового и зарядового обменов частиц плазмы с атомами обрабатываемого тела. Результатом таких взаимодействий являются десорбция атомов и молекул с поверхности тела, распыление и испарение частиц материала, изменения структуры и фазового состояния приповерхностного слоя тела.
При плазменной обработке происходит физическое и химическое взаимодействие материалов с активными и неактивными частицами плазмы, имеющими высокую кинетическую или потенциальную энергию. В процессе обработки полностью разделить физическое и химическое взаимодействия, указать какой-либо один процесс, отвечающий за эффект плазменного воздействия, невозможно.
Процесс обработки включает в себя несколько различных механизмов. Результат обработки, как правило, обусловлен одновременным воздействием на материал различных факторов и определяется параметрами создаваемой плазмы. В промышленных процессах плазменной модификации, в зависимости от свойств низкотемпературной плазмы и зарядового состояния поверхности обрабатываемого материала, можно выделить преимущественный механизм взаимодействия и вид частиц, вносящих наиболее существенный вклад в модификацию поверхности. При бомбардировке твердого тела ионами происходит распыление поверхностного слоя и образование захороненных слоев. В результате снижается шероховатость поверхности и изменяется структура материала в приповерхностном слое на глубине до 150 мкм. Таким образом, наиболее вероятными процессами, ответственными за модификацию поверхности твердых тел в ВЧИ-плазме пониженного давления, являются бомбардировка ионами низкой (менее 55 эВ) энергии, рекомбинация ионов на поверхности и термическое воздействие.
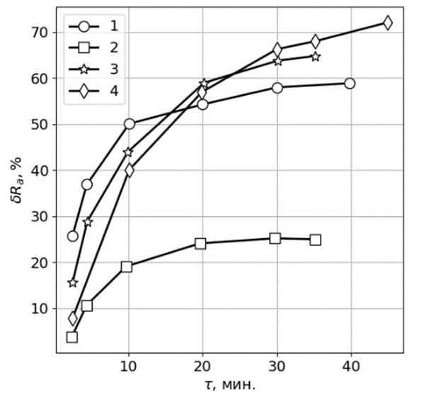
Рис. 7. Зависимость относительного уменьшения параметра шероховатости поверхности образца из ВТ9 от продолжительности обработки (р = 70 Па, Gг = 0,08 г/с). ВЧИ разряд, Рp = 2,1 кВт, z = 65 мм, f = 1,76 МГц: 1 – аргон, 2 – аргон с 5% азота, 3 – неон, 4 – гелий.
На рис. 7 показана экспериментальная зависимость относительного уменьшения параметра шероховатости поверхности образца из ВТ9 от продолжительности обработки в струйном ВЧИ-разряде пониженного давления. Видно, что со временем процесс выходит на стадию насыщения.
Выводы и заключение. Результаты экспериментальных исследований показали, что ВЧИ-разряд при пониженном давлении с продувом газа существенно отличается от других видов газовых разрядов, в том числе от высокочастотных индукционных разрядов атмосферного давления.
В плазменной струе регистрируются достаточно высокие значения напряженности магнитного поля. При этом наряду с аксиальной составляющей вектора напряженности магнитного поля Hz, обнаруживается азимутальная составляющая Hφ. Подтверждено наличие в струе как азимутальной составляющей магнитного поля Hφ, так и аксиальной составляющей электрического поля Ez.
Введение твердого тела в струю ВЧИ-разряда пониженного давления существенно изменяет параметры плазмы у поверхности тела, но практически не влияет на разряд в разрядной трубке. При этом:
- у поверхности образца в плазменной струе возникает слой положительного заряда (СПЗ) толщиной до 5 мм, аналогичный приэлектродным СПЗ высокочастотного емкостного разряда. Потенциал СПЗ относительно плазменной струи составляет 30–50 эВ;
- аксиальная составляющая напряженности магнитного поля Hz у поверхности образца уменьшается на 30 − 50%, тогда как азимутальная составляющая Hφ возрастает на 20 − 30%;
- энергия ионов, бомбардирующих поверхность образца, составляет 30 − 50 эВ, плотность ионного тока на поверхность 1,5 − 25 А/м2;
- изменения характеристик плазменной струи проявляются одинаково при обработке для металлов, диэлектриков и полупроводников;
- экспериментальные исследования и расчеты [16] подтверждают, что ВЧ-плазменная струя не является потоком рекомбинационной плазмы, так как концентрация электронов на 2 порядка выше в струе, чем в рекомбинирующей плазме.
Впервые, в результате численных экспериментов теоретически предсказан и экспериментально подтвержден эффект образования зоны перегрева по периферии струи около входного отверстия вакуумной камеры, в которой температура потока выше температуры в центре потока более 50 C при скорости потока на входе в вакуумную камеру более 440 м/с и мощности разряда более 2,4 кВт при расходе плазмообразующего газа более 0,16 г/с. Данный эффект количественно согласуется с результатами экспериментальных исследований.
Приведенные выше экспериментальные данные в сопоставлении с численными расчетами [11-16] доказывают, что струйный ВЧИ-разряд пониженного давления в диапазоне давлений 13,3-133 Па является отдельной разновидностью высокочастотного разряда пониженного давления комбинированного типа, который отличается как от ВЧИ-разряда в потоке газа атмосферного давления с соленоидальным индуктором, так и от ВЧИ-разряда низкого давления в плазмотроне с плоской спиральной антенной, и от ВЧИ-разряда низкого давления с соленоидальным индуктором.
About the authors
Aleksandr Yu. Shemakhin
Kazan (Volga Region) Federal University
Author for correspondence.
Email: ashemakhin@yandex.ru
ORCID iD: 0000-0002-4618-3469
SPIN-code: 4461-4455
cand. sci., associate professor of department of radiophysics of institute of physics
Russian Federation, KazanIldar Sh. Abdullin
Limited Corporation “Plazma-VST”
Email: how80@bk.ru
SPIN-code: 4036-6857
Scopus Author ID: 7006206963
doctor of technical sciences
Russian FederationViktor S. Zheltukhin
Kazan (Volga Region) Federal University
Email: Vzheltukhin@gmail.com
ORCID iD: 0000-0003-4452-2110
SPIN-code: 8945-9662
D.Sc., professor, associate professor of institute of artificial intelligence, robotics and system engineering
Russian Federation, KazanElena A. Makeeva
Kazan (Volga Region) Federal University
Email: elenamakeeva.mackeeva@yandex.ru
ORCID iD: 0009-0000-0614-664X
postgraduate student, department of radiophysics of institute of physics
Russian Federation, KazanReferences
- Abdullin I.Sh., Zheltukhin V.S., Sagbiev I.R., Shaekhov M. F. Modifikacii nanosloev v vysokochastotnoj plazme ponizhennogo davleniya [Modifi cation of nanolayers in a high-frequency plasma of low pressure]. Kazan, 2007, Izd. Kazansk. Gos. Univ., 355 p.
- Abdullin I.Sh., Zheltukhin V.S., Kashapov N.F. Vysokochastotnaya plazmenno-strujnaya obrabotka materi-alov pri ponizhennyh davleniyah. Teoriya i praktika primeneniya [High-frequency plasma-jet treatment of materials at low pressures. Theory and practice of application]. Kazan, 2000, Izd. Kazansk. Gos. Univ., 348 p.
- Bogaerts A., Neyts E., Gijbels R., Van der Mullen J. Gas discharge plasmas and their applications. Spectro-chimica Acta Part B. Atomic spectroscopy, 2002, vol. 57, no.4, pp. 609-658.
- Samukawa S., Hori M., Rauf S. et al. The 2012 plasma roadmap. Journal of physics D, Applied physics, 2012, vol.45, no.25, pp. 253001.
- Chu P.K., Lu X-P. Low temperature plasma technology: methods and applications. Boca Raton, CRC press, 2013. 315 p.
- Weltmann K., Kolb J.F., Holub M. et al. The future for plasma science and technology. Plasma processes and polymers, 2019, vol.16, is.1, pp. 1800118.
- Adamovich I., Baalrud S.D., Bogaerts A. et al. The 2017 plasma roadmap: Low temperature plasma science and technology. Journal of Physics D, Applied physics, 2017, vol.50, no. 32, pp. 323001.
- Adamovich I., Agarwal S., Ahedo E. et al. The 2022 plasma roadmap: low temperature plasma science and technology. Journal of Physics D, Applied physics, 2022, vol.55, no.37, pp 373001.
- Rajzer Yu. P. Fizika gazovogo razryada [Physics of gas discharge]. Moscow, 1987, Nauka [Science], 592 p.
- Boulos M.I. The inductively coupled R.F. (radio frequency) plasma. Pure & applied chemistry, 1985, vol.57, no.9, pp. 1321-1352.
- Shemakhin A.Y., Zheltukhin V.S., Khubatkhuzin A.A. Numerical and experimental study of a warming up ef-fect of an underexpanded rarefied rf plasma jet outflowing into a flooded area. Journal of physics, conference series, 2016, vol. 774, no.1, pp. 012167.
- Zheltukhin V.S., Shemakhin A.Y. Simulation of rarefied low pressure RF plasma flow around the sample. Journal of physics, conference series, 2017, vol. 789, no. 1, pp. 012071.
- Abdullin I.Sh., Zheltukhin V.S., Shemakhin A.Y. Skvoznaya matematicheskaya model' strujnogo vysokochas-totnogo indukcionnogo razryada ponizhennogo davleniya [End-to-end mathematical model of a radio-frequency inductive jet discharge of lowered pressure]. Inzhenerno-fizicheskij zhurnal [Journal of engineer-ing physics and thermophysics], 2024, vol.97, no.2, pp. 491-503.
- Shemakhin A.Y., Zheltukhin V.S., Shemakhin E.Y. Matematicheskoe modelirovanie VCh razryada ponizhen-nogo davleniya s produvom gaza v nelokal'nom priblizhenii: elektro- i plazmodinamika [Mathematical simu-lation of a high-frequency low-pressure discharge with gas injection in non-local approximation: electro- and plasmadynamics]. Inzhenerno-fizicheskij zhurnal [Journal of engineering physics and thermophysics], 2021, vol.94, no. 5, pp. 1368-1376.
- Shemakhin A. PIGsolver software for simulation RF plasma flow at intermediate pressure. Proc. of 2024 Ivan-nikov Memorial Workshop (IVMEM). Velikiy Novgorod, IEEE, 2024. pp.49-54.
- Shemakhin A. Yu. Study of the electron velocity distribution function in weakly ionized radiofrequency plasma. High energy chemistry, 2024, vol.58, no. 1, pp. 147-152.
Supplementary files













