Main Directions of Arctic Policies in Reports by US Think Tank
- Authors: Lv P.1
-
Affiliations:
- Southeast University
- Issue: Vol 33, No 4 (2025)
- Pages: 615-633
- Section: International Relationships
- Submitted: 14.03.2025
- Accepted: 14.07.2025
- Published: 24.12.2025
- URL: https://journal-vniispk.ru/2413-1407/article/view/283458
- DOI: https://doi.org/10.15507/2413-1407.129.033.202504.615-633
- EDN: https://elibrary.ru/bnispi
- ID: 283458
Cite item
Full Text
Abstract
Introduction. Against the backdrop of escalating conflict in Ukraine and deepening Russian-Chinese cooperation in the Arctic, US policy is demonstrating new trends. The aim of this study is to identify the main stages in the evolution of US Arctic policy, as well as its key thematic areas.
Materials and Methods. This study applies the BERTopic and DTM models for topic modeling and dynamic analysis of 918 o൶ cial policy documents (such as strategies, doctrines, directives, and reports) and research reports published by government agencies and think tanks from 2005 to January 2025.
Results. The main topics of reports on US Arctic policy focus on four areas: geopolitics and security, environmental and climate change, economic and technological development, and scientific research and data monitoring. Dynamic thematic modeling further revealed the evolution of Arctic policy and reports by US think tanks, which went through stages of transition from environmental protection to energy resource development and then to geopolitical competition.
Discussion and Conclusion. Against the backdrop of deepening Russian-Chinese cooperation in the Arctic and the escalating conflict in Ukraine, the US is consistently strengthening security in cooperation with its allies and increasing its military presence in the region. Looking ahead, US Arctic policy will focus on competition between leading powers, energy security, and technological innovation, driven by the need to respond to growing challenges in international security and global governance. Understanding these trends is of key practical importance for experts and policymakers in Russia and other interested countries, as it enables them to formulate more accurate forecasts and develop effective responses to changes in US Arctic strategy.
Keywords
Full Text
Введение
Арктический регион в качестве стратегического центра глобальной геополитики привлекает все больше внимания со стороны мирового сообщества. С начала XXI века, в условиях повсеместных климатических изменений, таяние льдов не только открыло перспективы для освоения Северного морского пути и природных ресурсов, но и способствовало превращению Арктики в один из ключевых объектов международного интереса [1]. США, являясь арктической державой, обладают арктической территорией (северной частью Аляски, а также прилегающими акваториями морей Бофорта и Чукотского). Несмотря на относительно небольшую площадь в пределах полярного круга, США благодаря глобальному лидерству и включенности в вопросы Арктики играют заметную роль в региональной политике.
Арктика рассматривается Вашингтоном как граница национальной безопасности, стратегический плацдарм для освоения энергетических ресурсов и важный инструмент поддержания влияния в условиях нарастающей международной конкуренции. Особенно ярко это проявилось после 2014 г., когда в ответ на события в Крыму и последующее обострение российско-американских отношений Арктика стала восприниматься в контексте потенциального геополитического соперничества. Усиление этой тенденции произошло на фоне эскалации конфликта на Украине в 2022 г., что вызвало коррекцию ряда внешнеполитических и оборонных приоритетов США, в том числе в арктическом направлении.
История развития политики США в отношении Арктики может быть разделена на четыре этапа. На этапе формирования, в период президентов Р. Никсона, Дж. Форда, Дж. Картера и Р. Рейгана1, регион соотносился со стратегическими рубежами национальной безопасности, что обусловило принятие ряда политических документов. Основное внимание уделялось обеспечению безопасности территории и свободы судоходства, содействию освоению ресурсов, укреплению экологической защиты, развитию международного научного сотрудничества, а также созданию межведомственного координационного механизма.
Второй этап охватывает период от окончания холодной войны до конца президентства Дж. Буша-младшего. Хотя стратегическое значение Арктики несколько снизилось, США на институциональном уровне продвигали реформы: Дж. Буш-старший укрепил президентский контроль над темой Арктики, а «Президентская директива № 26» Б. Клинтона закрепила три ее ключевых вектора (устойчивое развитие, защита окружающей среды и международное сотрудничество), переориентировав политику на экологическую направленность и многостороннее взаимодействие.
Третий этап начался в 2007 году, когда в ответ на активизацию России в Арктике Соединенные Штаты пересмотрели перспективы региона. Подписанная Дж. Бушем-младшим «Президентская директива № 66 о национальной безопасности» заложила основу для арктической политики администрации Б. Обамы, в рамках которой арктическая стратегия США была впервые систематизирована с акцентом на обеспечении национальной безопасности, охране окружающей среды, защите прав коренных народов и развитии международного сотрудничества. Правительство во главе с Д. Трампом, сохранив институциональную преемственность, сосредоточило внимание на наращении военного присутствия и освоении природных ресурсов, сведя на нет климатическую повестку и предприняв попытку сформировать западноцентричный арктический порядок, исключавший участие России и Китая.
Четвертый этап, инициированный с началом в 2022 году конфликта на Украине, характеризовался усилением тенденции к секьюритизации арктической политики. В опубликованном Министерством обороны США документе «Арктическая стратегия 2024» подчеркивается необходимость расширить сотрудничество с союзниками в области безопасности и наращивать военное присутствие в регионе. Особое внимание уделяется противодействию активности России, а также сдерживанию попыток Китая включиться в управление Арктикой через экономические и торговые механизмы.
Большую роль в формировании арктической повестки США наряду с официальными документами играют доклады ведущих «мозговых центров» (think tank), таких как Центр стратегических и международных исследований (Center for Strategic and International Studies, CSIS2) и Арктический институт – Центр исследований циркумполярной безопасности (The Arctic Institute – Center for Circumpolar Security Studies), формируя экспертный и общественный дискурс. Однако большинство существующих исследований этих материалов носит описательный характер, что недостаточно для системного понимания стратегических сдвигов. Цель настоящего исследования – на основе количественного анализа выявить главные тематические приоритеты в арктическом дискурсе США и проследить их динамику, тем самым создавая эмпирическую основу для анализа и прогнозирования будущих векторов арктической политики Вашингтона.
Обзор литературы
С начала XXI века исследования арктической политики США обрели многослойный характер. Для анализа ее особенностей применяются методы текстового анализа и исторической индукции, кейс-исследования, анализ институциональных траекторий и теоретический, а также междисциплинарные исследования. Каждый из них имеет как сильные стороны, так и ограничения.
Историко-индуктивный подход, основанный на периодизации и анализе официальных документов, позволил проследить эволюцию политики от «приоритета суверенитета» к «комплексной безопасности»3. Однако он не всегда улавливает динамику смыслов, например понятие «свобода навигации» при Б. Обаме означало научное сотрудничество, при Д. Трампе – военное присутствие. Этот нюанс теряется при строгом разделении на этапы4.
Метод кейс-стади углубляет анализ за счет изучения конкретных акторов и событий. Так, анализ Стратегий национальной безопасности США (2000–2022 гг.) показывает неуклонный рост значимости Арктики, особенно после того как в 2007 г. Россия в ходе экспедиции А. Н. Чилингарова установила свой флаг на дне Северного Ледовитого океана, ясно обозначив возвращение в Арктику [2]. При этом выводы подобных микроисследований сложно обобщать, поскольку выбор кейса (например, идеологически ангажированного «мозгового центра») может существенно повлиять на результат5.
На уровне теоретического анализа существующие исследования в основном опираются на теорию геополитики или парадигму национализма. Л. Цао использует концепцию «стратегической тревожности» для объяснения конкуренции между США и Россией в Арктике и утверждает, что Вашингтон, ощущая нехватку контроля над ресурсами, применяет стратегию «военной сдержанности на первом плане» [3]. С. Л. Лами с помощью модели национальной автономии демонстрирует, как федеральное правительство поддерживает политику «приоритета национальных интересов», балансируя между требованиями экологических организаций и коренных народов6.
В целом существующие исследования политики в отношении Арктики сосредоточены на статическом описании и изучении конкретных периодов. Хотя ряд ученых рассматривали вопросы безопасности, экономики и экологии данного региона, систематический анализ отчетов think tank по арктической политике остается относительно редким, особенно в разрезе динамических тенденций и изменений ключевых тем, что не позволяет в полной мере отследить эволюцию тематики политики.
С развитием технологий анализа текстов такие инструменты, как LDA, BERTopic и динамическое тематическое моделирование (DTM), предоставляют эффективные решения для этой задачи. Автоматизированный анализ больших объемов текстовых данных позволяет выявить динамику изменений в темах политики и их скрытую структуру, тем самым восполняя недостатки традиционных методов исследования в анализе динамических тенденций и длительных временны́ х периодов.
В последние годы тематическое моделирование успешно применялось для анализа экологических вызовов [4], исследовательских трендов [5] и геополитической конкуренции в Арктике [6; 7]. Однако большинство этих работ ограничиваются отдельными вопросами, в то время как динамический сравнительный анализ дискурса, формируемого «мозговыми центрами» разных стран, остается малоизученной областью.
Материалы и методы
Эмпирическим материалом исследования выступили открытые документы правительства США, Министерства обороны, политики в отношении Арктики различных министерств и ведомств, соответствующие исследовательские доклады «мозговых центров» за период с января 2005 года по январь 2025; всего 918 политик и исследовательских докладов, охватывающих наиболее ранние и самые последние тексты, связанные с арктической тематикой с начала XXI века по настоящее время.
К выбранным государственным учреждениям относятся Белый дом и различные министерства, а к «мозговым центрам» – CSIS, Национальное управление по исследованию океанов и атмосферы (National Oceanic and Atmospheric Administration, NOAA), Арктический институт, Американская некоммерческая экспертно-аналитическая корпорация RAND Corporation7 и Национальный научно-технический совет (National Science and Technology Council, NSTC). Критерии их выбора связаны с их влиянием и разнообразием в исследованиях арктической политики.
В частности, CSIS и RAND как комплексные «мозговые центры» на протяжении длительного времени участвуют в исследованиях арктической стратегии, осуществляя глубокий стратегический анализ в области безопасности, экономики и геополитики, что делает их важными участниками данного исследования. Будучи федеральным агентством, подведомственным Министерству торговли США, NOAA сосредоточено на изучении изменения климата и морской среды. Его доклады предоставляют научную основу при разработке экологической и климатической политики, что имеет особую ценность для применения в Арктическом регионе.
Национальный научно-технический совет (NSTC), будучи специализированным «мозговым центром», предлагает углубленный анализ в области безопасности, экономики и изменения климата, который имеет стратегическое значение. Кроме того, NSTC играет важную роль в продвижении и координации научной и технологической политики внутри страны, в первую очередь связанной с исследованиями, управлением ресурсами и охраной окружающей среды в Арктике; отвечает за интеграцию научных усилий различных государственных ведомств и предоставляет президенту рекомендации по ключевым научно-техническим вопросам, а его доклады обеспечивают теоретическую поддержку и практическое руководство для разработки долгосрочной научно-технической политики.
Методы и методология исследования. Методически тематическое распознавание – современная технология обработки естественного языка, которая предполагает использование различных алгоритмов для автоматического извлечения ценной тематической информации из огромных объемов текстовых данных и выявление ключевых слов, связанных с каждой из тем8. Основная цель – обнаружить в текстах с помощью алгоритмов и моделей скрытую структуру тем и представить ее в виде ключевых слов или фраз.
Существует множество методов реализации тематического распознавания, как традиционных статистических технологий, так и современных, основанных на глубоком обучении. Так, в 1990 году С. Дирвестер и соавторы предложили алгоритм латентной семантической индексации (LSI)9; в 2000 Д. М. Блей и соавторы, основываясь на LSI, – модель латентного размещения Дирихле (LDA)10; в 2006 г. Д. М. Блей и Дж. Д. Лаферти – динамическое тематическое моделирование (DTM)11.
С развитием глубинного обучения технологии встраивания на основе нейронных сетей (например, Top2Vec и BERT) значительно улучшили возможность семантического понимания тем, увеличив способность моделей точно улавливать контекст и семантические связи в тексте. Одной из таких моделей является BERTopic, предложенная Grootendorst в 2022 г. как предобученная модель глубокого обучения без учителя12. В отличие от традиционных моделей тематического моделирования, BERTopic позволяет воспринимать тонкие различия в семантике и контексте текстовых данных; показывает хорошие результаты на всех основных этапах моделирования тем [8].
Тематическое распознавание может сочетаться с методами динамического анализа для исследования изменений тем во времени. В частности, DTM, которая вводит временну́ ю ось, позволяет анализировать, как распределяются темы и лексика с течением времени [9], т. е. глубже исследовать скрытые закономерности. Эта технология широко применяется в таких областях, как анализ новостей, мониторинг общественного мнения, исследование политики, извлечение данных из литературы и других, предоставляя эффективные решения для быстрого извлечения ключевой информации из огромных объемов текстов.
Постепенно получают признание универсальность методологий BERTopic и DTM и возможность их расширения на корпуса текстов на других языках, включая русский. Для российских исследователей использование этих моделей для анализа тенденций развития ситуации в Арктике требует предварительной обработки и адаптации с учетом особенностей русскоязычных текстов, что обеспечит точность и достоверность результатов анализа.
Настоящее исследование использует методы обработки естественного языка, в том числе тематическую модель BERTopic и DTM, для анализа арктической политики США на основе докладов «мозговых центров». Такой подход позволяет не только выявить ключевые темы и изменения в повестке, но и определить, как они соотносятся с официальными этапами эволюции политики.
Результаты исследования
Методы тематического моделирования. На этапе предобработки была проведена систематическая обработка собранного корпуса текстов, состоявшего из 918 политических документов и исследовательских докладов. С помощью текстовой сегментации длинные документы разделялись на части, удобные для анализа. Для повышения его точности и эффективности удалялись стоп-слова, исключались часто встречающиеся слова, не относящиеся к теме. В завершение данные были векторизованы, что позволило преобразовать естественный язык в числовое представление, обеспечив тем самым техническую основу для тематического моделирования.
На этапе тематического моделирования исследование сочетало два метода – BERTopic и DTM, что дало возможность реализовать как идентификацию ключевых тем, так и анализ их динамического изменения. С использованием BERTopic были успешно выделены 30 тем. Последующий анализ семантической близости между ними показал, что они не распределены хаотично, а группируются в четыре четко выраженных кластера. Это свидетельствует о существовании в дискурсе арктической политики США четырех основных векторов.
Первый и наиболее крупный кластер имеет геополитический характер и объединяет темы, связанные с военной безопасностью, стратегическим соперничеством с Россией и Китаем, деятельностью НАТО.
Второй сфокусирован на экономике и ресурсах, охватывает вопросы освоения энергоресурсов, судоходства по Северному морскому пути и развития инфраструктуры.
Третий посвящен экологической и научной повестке: проблемам изменения климата, защиты окружающей среды и международного научного сотрудничества.
Четвертый кластер, заметно удаленный от остальных, сконцентрирован вокруг вопросов управления и социального развития, таких как права коренных народов и региональное сотрудничество в рамках Арктического совета.
Такая кластеризация указывает на то, что категории тем обладают высокой внутренней семантической согласованностью, однако между самими кластерами наблюдаются значительные различия. Таким образом, многоуровневая стратегия моделирования позволила полноценно отобразить распределение ключевых тем и их динамическую эволюцию.
Карта иерархической кластеризации с использованием семантического сходства разделяет найденные темы на четыре группы, которые обозначены различными цветами (рис. 1). Каждый цвет соответствует одному кластеру тем, что показывает их внутреннюю структуру и взаимосвязь, позволяя глубже проанализировать структуру и внутренние соотношения в арктических докладах «мозговых центров» США.
Зеленый кластер тем в основном касается экологических проблем Арктики, таких как “12; snow; anomalies; temperature”, “28; sea; ice; species”, “6; species; population; popular” («12; снег; аномалии; температура», «28; море; лед; изменения», «6; виды; население; популярный») и др. Эти темы обладают сильной внутренней согласованностью, что свидетельствует о сосредоточенности «мозговых центров» на экологических вопросах региона.
Красный кластер отображает новые технологии и связанные с энергетикой вопросы, включая “15; noise; icebreaking; vessel” и “30; hydrogen; storage; energy” («15; шум; ледокол; судно» и «30; водород; хранение; энергия»), что свидетельствует о заинтересованности «мозговых центров» в инновациях в области технологий и будущей энергетической стратегии.
Синий кластер охватывает темы преимущественно в области политики и развития потенциала Арктики: “29; аrctic; environmental; policy”, “21; data; observing; agencies”, “22; oil; spill; response” («29; арктика; экологическая; политика», «21; данные; наблюдения; агентство», «22; нефть; разливы; реагирование»), что подчеркивает практическую направленность на аспекты управления Арктикой и преобразование концептуальных идей в конкретные действия.
Фиолетовый кластер связан с геополитическими и международными отношениями, включая темы “2; russia; fleet; russian”, “0; china; russia; cooperation”, “25; finland; norway; capability” («2; россия; флот; российский», «0; китай; россия; сотрудничество», «25; финляндия; норвегия; возможности»), что демонстрирует внимание к конкурентной борьбе за власть в Арктике, особенно в контексте китайско-российского сотрудничества, а также политики России.
Рис. 1. Карта иерархической кластеризации13
Fig. 1. Hierarchical Clustering Map
Карта тематического сходства предоставляет количественный аспект взаимосвязи тем (рис. 2). С помощью показателя сходства между каждой из двух тем отображается семантическая близость, а интенсивность цвета указывает на степень их близости. Например, тема “0; china; russia; cooperation” («0; китай; россия; сотрудничество») демонстрирует высокий уровень сходства и проходит через несколько других тем на графике, что свидетельствует о ее важной роли в арктических докладах «мозговых центров» США в XXI в. Высокий уровень сходства темы китайско-российского сотрудничества с каждой темой можно трактовать как учет при разработке северной политики США влияния и деятельности Китая и России в Арктике в качестве приоритета; восприятие партнерства Китая и России ключевым фактором в нескольких вопросах, особенно в отношении разработки ресурсов, международного сотрудничества, безопасности и энергетических технологий.
Высокое сходство тем также наблюдается в области изменения окружающей среды в Арктике и международного сотрудничества. Так, между темами “16; sea; august; ocean” («16; море; август; океан») и “18; arctic; international; united” («18; арктика; международный; объединенный») оно указывает на то, что в арктической политике США подчеркивается важность исследований океана и международного сотрудничества; на совместные усилия США и других стран в вопросах изменения климата и охраны океанов в Арктике. В случае с темами “12; snow; anomaly; temperature” («12; снег; аномалия; температура») и “14; snow; mass; melt” («14; снег; масса; таяние») высокий уровень сходства сигнализирует о том, что в докладах «мозговых центров» упор делается на анализ изменений снежного покрова, аномалии температуры и таяние снега в Арктике, поскольку это важно учитывать при разработке политики в области охраны окружающей среды и изменения климата.
Рис. 2. Карта тематического сходства
Fig. 2. Topic Similarity Map
В темах с умеренным сходством связь между темами “8; russia; fleet; russian” («8; россия; флот; российский») и “2; russia; russian; gas” («2; россия; российский; газ») отражает внимание арктической политики США к деятельности России в Арктике, в первую очередь к размещению флота и разработке газовых ресурсов. Политика США в этой области не только отвечает на военные и энергетические действия России, но и затрагивает вопросы геополитической безопасности Арктического региона.
Сходство тем “24; ice; sea; august” («24; лед; море; август») и “26; permafrost; ice; sea” («26; вечнаямерзлота; лед; море») может указывать на внимание к изменениям ледового покрова и многолетней мерзлоты, ключевым для стратегических интересов США, разработки ресурсов и охраны экологии в регионе.
Низкое сходство между темами “30; hydrogen; storage; energy” («30; водород; хранение; энергия») и “6; species; population; popular” («6; виды; популяция; популярный») свидетельствует о независимости вопросов энергетических технологий и сохранения биоразнообразия в арктической политике. Связь исследования водородного хранения как технологии будущего и экологии, в частности изучения популяций видов, ограничена. Низкое сходство темы “4; arctic; uscg; capability” («4; арктика; сшапбо14; возможность») с другими экологическими и энергетическими темами может объясняться тем, что первая больше ориентирована на действия Береговой охраны США в Арктике и характеризуется как конкретная и техническая в отличие от более широких вопросов, касающихся экологии или международного сотрудничества.
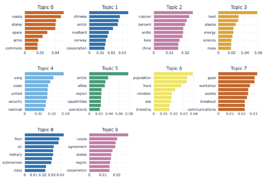
Результаты оценки значимости слов в кластерах тем, полученных с помощью модели BERTopic, показаны на рисунке 3.
Рис. 3. Карта оценки слов по темам
Fig. 3. Topic Word Scores Map
Как видно из рисунка 3, чем выше оценка, тем лучше слово характеризует данную технологическую тему. В процессе технического анализа можно использовать эти оценки для определения ключевых слов темы. При этом топ-5 значимых слов автоматически генерируют название темы, например тема Topic0 была названа “0; russian; states; space; arms; commons” («0; русский; штаты; космос; оружие; общее; достояние»).
С помощью модели BERTopic проводились ручная аналитика и объединение тем, в результате чего была составлена сводная таблица ключевых слов для арктических докладов «мозговых центров» США, которая включает следующие четыре основные темы и десять вторичных (т. е. подтем) (табл. 1).
Таблица 1. Сводная таблица ключевых слов для арктических докладов «мозговых центров» США
Table 1. Summary table of keywords for US think tank Arctic reports
Main Topic / Основная тема | Subtopic / Подтема | Number Key Topics / Номер ключевые темы |
| Geopolitics and Arctic Security / Геополитика и безопасность Арктики
| Chinese-Russian cooperation and geopolitics / Китайско-российское сотрудничество и геополитика | 0; china; russian; cooperation / 0; китай; россия; сотрудничество |
1; china; chinese; Russia / 1; китай; китайский; россия | ||
9; arctic; russia; maritime / 9; арктика; россия; морской | ||
17; shipping; svalbard; tsr / 17; судоходство; шпицберген; змп | ||
Russian militarization and expansion / Российская милитаризация и экспансия
| 8; russia; fleet; Russian / 8; россия; флот; российский | |
2; russia; russian; gas / 2; россия; российский; газ | ||
25; finland; norway; capability / 25; финляндия; норвегия; возможность | ||
18; arctic; international; united / 18; арктика; международный; объединенный | ||
| Environmental and Climate Change / Экологические и климатические изменения
| US and Allied arctic policy / Арктическая политика США и союзников
| 3; department; lead; arctic / 3; департамент; лидер; арктика |
4; arctic; uscg; capability / 4; арктика; пбосша; возможность | ||
5; dod; arctic; partner / 5; минобороны; арктический; партнер | ||
11; council; uk; arctic / 11; совет; англия; арктика | ||
23; eu; policy; european / 23; политика; ес; европейский | ||
Climate change and glaciers / Изменение климата и ледники
| 10; model; ice; climate / 10; модели; лед; климат | |
12; snow; anomaly; temperatur; / 12; снег; аномалия; температура | ||
14; snow; mass; melt / 14; снег; масса; таяние | ||
19; ice; average; sheet / 19; лед; средний; лист | ||
26; permafrost; ice; sea / 26; вечная; мерзлота; лед; море | ||
Species and ecosystem conservation / Охрана видов и экосистем
| 6; species; population; popular / 6; виды; популяция; популярный | |
28; sea; ice; species / 28; море; лед; виды | ||
13; tundra; carbon; vegetation / 13; тундра; углерод; растительность | ||
Pollution and management / Загрязнение окружающей среды и управление | 22; oil; spill; response / 22; нефть; переполнение; отклик | |
15; noise; icebreaking; vessel / 15; шум; ледокол; судно | ||
Economic and Technological Development / Экономическое и технологическое развитие
| Energy and Economic cooperation / Энергетическое и экономическое сотрудничество | 2; russia; russian; gas / 2; россия; российский; газ |
30; hydrogen; storage; energy / 30; хранение; водорода; энергия | ||
21; data; observing; agency / 21; данные; наблюдающие; агентство | ||
Technological innovation and sustainable development / | 20; development; smart; human / 20; развитие; умный; человек | |
27; health; communities; alaska / 27; здоровье; сообщества; аляска | ||
Research and Data Monitoring / Научные исследования и мониторинг данных | Scientific data and climate observations / Научные данные и климатические наблюдения | 10; model; ice; climate / 10; модели; лед; климат |
16; sea; august; ocean / 16; море; август; океан | ||
21; data; observing; agency / 21; данные; наблюдающие; агентства | ||
24; ice; sea; august / 24; лед; море; август | ||
Scientific research and environmental policy / Научные исследования и экологическая политика | 23; eu; policy; european / 23; политика; ес; европейский | |
29; arctic; environmental; policy / 29; арктическая; экологическая; политика |
Примечание / Note. tsr – Transpolar Sea Route / змп – Заполярный морской путь; dоd – Department of Defense / миноброны – министерство обороны.
Анализ эволюции тем на базе модели DTM, основанной на BERT, показал, что вопросы, связанные с Арктическим регионом, имеют явные признаки временнóй эволюции (табл. 2). Это отражает взаимное влияние множества факторов, таких как геополитика, экономика и изменения климата.
Тема “sea; ice; arctic; ocean” («море; лед; арктика; океан») оставалась стабильной, отражая постоянное внимание США к изменению климата и охране природы в Арктике. Так, в «Четвертом международном докладе по изменению климата» (2007 г.) отмечалось, что сокращение арктического льда сильно влияет на глобальный климат15. В 2009 году администрация Б. Обамы в «Директиве по политике в Арктическом регионе» сделала охрану экосистемы главным элементом, основываясь на научных данных16. Включение Арктики в «Парижское соглашение» увеличило финансирование исследований и укрепило экологическое влияние США17. Однако после объявления Д. Трампа о выходе из соглашения в 2017 г. место климатической политики в числе приоритетов изменилось, что проявилось в уменьшении упоминаний тематики.
Таблица 2. Карта эволюции тем
Table 2. Topic Evolution Map
Subject / Тема | Period, years / Период, гг. | |||
2006–2010 | 2011–2015 | 2016–2020 | 2021–2024 | |
0; sea; ice; dynamics / 0; динамика; морского; льда | 7,8 | 11,8 | 8,13 | 18,9 |
1; china-russia; cooperation / 1; сотрудничество; китая; и; россии | 0,0 | 0,0 | 5,0 | 67,0 |
2; russian; gas; and; oil / 2; газ; и; нефть; россии | 3,0 | 9,7 | 10,0 | 2,0 |
3; doe; observational; data / 3; данные; наблюдений; минэнерго | 1,0 | 12,9 | 11,0 | 11,0 |
4; alaska; (arctic); leadership / 4; руководство; аляски; (арктика) | 0,0 | 8,0 | 14,8 | 7,5 |
5; dоd; allies; and; partners / 5; союзники; и; партнеры; минобороны | 0,0 | 8,0 | 10,0 | 8,5 |
6; oil; spill; response / 6; реагирование; на; разливы; нефти | 2,0 | 6,0 | 11,3 | 13,5 |
7; russia,; svalbard,; norway / 7; россия; шпицберген; норвегия | 1,4 | 4,2 | 9,8 | 11,5 |
8; uscg; gaps; workshop; participants; / 8; пробелы; пбосша; участники; семинаров; | 0,0 | 1,4 | 15,0 | 2,0 |
9; russian; military; aviation; / 9; военная; авиаоборона; россии | 0,0 | 5,0 | 12,0 | 3,0 |
Примечания / Note. 1. Значения – среднее арифметическое по годам в периоде / 1. Values are the arithmetic mean by years in the period. 2. Полужирным выделен аномальный рост темы 1 в 2021–2024 гг. / 2. Abnormal growth of topic 8 in 2021–2024 is highlighted in bold. 3. Последний период укорочен (4 года) из-за ограничения данных / 3. The last period is shortened (4 years) due to data limitations. 4. doe – Department of Energy / минобороны – министерство обороны.
Тема “china; russia; cooperation; states” («китай; россия; сотрудничество; государства») активизировалась после 2020 г., что связано с изменениями в международной обстановке. После событий в Крыму в 2014 г. и введения западных санкций Россия усилила сотрудничество с Китаем в сфере разработки энергоресурсов и строительства инфраструктуры. В 2015 году Китай представил инициативу «Арктического пояса Шелкового пути» (или «Полярного Шелкового пути»), которая согласовывалась с российской арктической стратегией. В 2020 году Россия однозначно выразила поддержку партнерству с Китаем18. Их совместная работа в освоении Северного морского пути, а также инвестиции в энергетические проекты («Ямал СПГ» и «Арктик СПГ 2») привлекли внимание мирового сообщества и вызвали обеспокоенность США. В арктической стратегии Министерства обороны США 2024 г. союз этих стран обозначен как потенциальная угроза интересам США в Арктическом регионе.
Тема “gas; russia; russian; oil” («газ; россия; российский; нефть») играет ключевую роль в арктической повестке. В 2007 году Россия установила флаг на дне Северного Ледовитого океана, что вызвало обеспокоенность арктических стран. Санкции США и Евросоюза 2014 года затронули арктический нефтегазовый сектор, ограничив доступ ПАО «Роснефть» к долларовому финансированию, что негативно сказалось на проектах19. После начала конфликта на Украине санкции в отношении проекта «Арктик СПГ 2» заблокировали финансовые потоки, затруднив доступ России к технологиям и оборудованию [10]. Вместе с тем США продолжают осваивать арктические энергоресурсы: в 2015 г. одобрено бурение Shell у берегов Аляски, а в 2021 Министерством энергетики запущен проект энергетического перехода. Это показывает, что вопросы энергетической безопасности и конкуренции остаются приоритетом американской политики, несмотря на заявленную экологическую заботу.
Частотные колебания темы “russia; svalbard; norway; arctic” («россия; шпицберген; норвегия; арктика») раскрывают скоординированные действия США и их союзников. Архипелаг Шпицберген представляет собой важный символический объект арктической геополитики, а его особый суверенный статус давно является предметом споров между Норвегией и Россией [11]. В 2017 году США и Норвегия укрепили военное сотрудничество, в том числе посредством проведения совместных военных учений вблизи Арктики, чтобы противостоять военному присутствию России в районе Шпицбергена. Кроме того, Норвегия как член НАТО, реализуя свою арктическую политику, неоднократно поддерживала стратегические цели США. Сказанное свидетельствует о том, что сдерживание России в Арктике в рамках сотрудничества с союзниками выступает существенной частью политики США.
Динамика темы “russia; military; air; defence” («россия; военный; воздушный; оборона») связана с процессом милитаризации Арктического региона: после событий в Крыму в 2014 г. Россией была возобновлена работа ряда военных баз времен холодной войны и развернуты современные системы противовоздушной обороны (комплексы С-400). В ответ США в стратегических документах («План реализации национальной стратегии в Арктическом регионе», «Арктическая стратегия Министерства обороны») подчеркнули необходимость восстановления внимания к Арктике и наращивания военного потенциала, усилив военное присутствие на Аляске и авиационные силы в регионе. На практике это демонстрируют совместные военные учения, такие как «Arctic Challenge Exercise 2023» и «Arctic Forge 25».
В области технологий тема “data; arctic; doe; observations” («данные; арктика; минэнерго; наблюдения») отражает стратегию, связанную с использованием научных исследований в политических целях. После проведения Международного полярного года в 2007 г. Министерство энергетики США и NOAA увеличили инвестиции в исследования Арктики. Администрация Д. Трампа, несмотря на определенный регресс в климатической политике, акцентировала важность «технологических наблюдений» для обеспечения материалов в поддержку освоения арктических ресурсов20. В то же время усилилось внимание к вопросам справедливости и эффективности в области обмена и управления данными. Национальное управление по исследованию океанов и атмосферы через «принципы справедливого обмена данными и управления ими стремится обеспечить более широкий и быстрый доступ к данным», что служит как экономическим интересам, так и подчеркивает внимание США к геополитической конкуренции21.
Обсуждение и заключение
Таким образом, арктические политики и доклады США в начале XXI века претерпели изменение приоритетов: от защиты экологии Арктики к освоению энергетических ресурсов, а затем к геополитическому противостоянию. Этот процесс обусловлен рядом событий в международных отношениях, таких как события в Крыму, конфликт на Украине, углубление сотрудничества России и Китая, а также корректировка роли НАТО. Они побуждали США адаптировать арктическую политику для реагирования на вызовы геополитической конкуренции и обеспечения безопасности в регионе.
В настоящем исследовании с использованием моделей BERTopic и DTM проведен количественный анализ арктических докладов «мозговых центров» США с начала XXI века. Выявлены четыре основные темы американской арктической политики: геополитика и безопасность, экологические изменения и научные исследования, экономическое и технологическое развитие, а также управление и социальное развитие.
Центральное место в дискурсе занимает взаимодействие в рамках арктической политики крупных держав, особенно сотрудничество России и Китая, которое, по оценкам американских аналитиков, включает в себя развитие совместной энергетической инфраструктуры, логистических маршрутов и, в перспективе, технологический обмен, что может изменить баланс сил в регионе22 [12; 13]. В «Стратегии национальной безопасности» США 2022 г. это партнерство рассматривается как «наиболее важный геополитический вызов для Америки»23, требующий ответных мер.
Соединенные Штаты Америки, а также их союзники по НАТО стремятся сдерживать российско-китайское сближение в Арктике путем политической изоляции и экономических санкций, что создает риски и неопределенность для подобных совместных проектов. Учитывая влияние США, отдельные арктические государства, которые также сталкиваются с конкуренцией со стороны Запада за легитимизацию своей роли в регионе, могут избегать углубления взаимодействия с Россией и Китаем.
В опубликованной в 2022 году «Национальной стратегии США для Арктического региона» изменение климата и охрана окружающей среды четко обозначены в качестве столпов арктической политики. При этом в документе подчеркивается, что правительство США будет сотрудничать с сообществами и правительством штата Аляска «…для повышения устойчивости к последствиям изменения климата, а также с целью снижения выбросов углерода в Арктике как части более широкой глобальной стратегии смягчения последствий, повышения научного понимания климатических процессов и защиты арктических экосистем»24. На стратегическом уровне этот акцент свидетельствует о стремлении США утвердить моральное лидерство в вопросах арктического управления, используя экологическую тематику как инструмент для достижения международного консенсуса. В то же время отмечается важное значение сфер экономики, технологий и науки для формирования американского присутствия и влияния в Арктике.
Таким образом, выявленные темы рассматриваются как элементы единой стратегии, а результаты их анализа могут служить основанием для формирования рекомендаций по реагированию на активность России и Китая, особенно в сфере энергетики, освоения Северного морского пути и военного присутствия, баланса между сдерживанием и диалогом.
Кроме того, процесс милитаризации в Арктике и деятельность России на архипелаге Шпицберген подтолкнули США к усилению военной координации с союзниками по НАТО и модернизации военного развертывания в Арктике. В целом глобальные геополитические изменения вынуждают Соединенные Штаты постоянно корректировать арктическую политику, чтобы отвечать на все более сложные вызовы международной безопасности.
Анализ полученных результатов в настоящей работе проводится не только на тематическом уровне, но и в контексте изменения стратегических ориентиров, что позволяет сделать вывод о переосмыслении Арктики как пространства не только экологического, но и военно-политического значения.
Результаты исследования имеют как теоретическую, так и практическую значимость. В академическом плане работа предлагает и апробирует методологию (BERTopic и DTM) для динамического анализа политического дискурса, которая может быть применена для изучения политики других стран. В практическом отношении выводы могут быть полезны государственным ведомствам и экспертно-аналитическим центрам России, Китая и других арктических государств. Понимание эволюции американских стратегических приоритетов позволяет точнее прогнозировать действия Вашингтона, вырабатывать адекватные ответные меры и оценивать геополитические риски для экономических проектов в Арктическом регионе.
Вместе с тем следует признать ограничения данного исследования: количественный анализ выявляет доминирующие темы, но не всегда способен уловить глубину и нюансы политических аргументов; исследование сфокусировано на докладах исключительно американских «мозговых центров», что отражает лишь один из сегментов экспертного дискурса и не охватывает официальную правительственную линию других государств.
Перспективы дальнейших исследований видятся в нескольких направлениях. Во-первых, целесообразно применить данную методологию для сравнительного анализа арктического дискурса других ключевых акторов, прежде всего России и Китая, что позволило бы выявить точки соприкосновения и расхождения в их стратегиях. Во-вторых, имеет смысл расширить корпус источников, включив в него для получения более полной картины репортажи средств массовой информации. Наконец, интерес представляет не просто анализ тем, но изучение механизмов реального влияния докладов «мозговых центров» на принятие политических решений.
Дополнительная информация
Конфликт интересов. Автор заявляет об отсутствии конфликта интересов.
Доступность данных и материалов. Наборы данных, использованные и/или проанализированные в ходе текущего исследования, можно получить у автора по обоснованному запросу.
1 National Security Decision Memorandum 144 [Электронный ресурс]. Available at: https://www.nixonlibrary.gov/sites/default/files/virtuallibrary/documents/nsdm/nsdm;144.pdf (accessed 30.05.2025) ; National Security Decision Memoranda 202 [Электронный ресурс]. Available at: https://clck.ru/3QnRbt (accessed 30.05.2025) ; United States Arctic Policy [Электронный ресурс]. Available at: https://www.nixonlibrary.gov/sites/default/files/virtuallibrary/documents/nsdm/ nsdm_202.pdf (accessed 30.05.2025) ; Arctic Research and Policy Act of 1984 [Электронный ресурс]. Available at: https://www.congress.gov/98/statute/STATUTE-98/STATUTE-98-Pg1242.pdf (accessed 30.05.2025).
2 Деятельность на территории РФ признана нежелательной.
3 Haycox S. Arctic policy of the United States: An historical survey. In: The Palgrave handbook of Arctic policy and politics. Cham: Springer International Publishing; 2019. Рр. 233–250. https://doi.org/10.1007/978-3-030-20557-7
4 Guo F. An Analysis of the Evolution of U.S. Arctic Policy (1991–2021). Guangdong University of Foreign Studies; 2022. https://doi.org/10.27032/d.cnki.ggdwu.2022.000219
5 Huang W. Perceptions of Arctic Issues by Mainstream U.S. Think Tanks After the Cold War and Their Policy Impacts. Wuhan University; 2021. https://doi.org/10.27379/d.cnki.gwhdu.2021.002884
6 Lamy S.L. The US Arctic Policy Agenda: The State Trumps Other Interests. In: Future Security of the Global Arctic: State Policy, Economic Security and Climate. 2016. Рр. 77–98. Available at: https://link.springer.com/book/10.1057/9781137468253 (accessed 30.05.2025).
7 Деятельность на территории РФ признана нежелательной.
8 Lee C., Lee G.G., Jang M. Dependency Structure Language Model for Topic Detection and Tracking. Information Processing and Management. 2007;43(5):1249–1259. https://doi.org/10.1016/j.ipm.2006.02.007
9 Deerwester S., Dumais S.T., Furnas G.W., Landauer T.K., Harshman R. Indexing by Latent Semantic Analysis. Journal of the American Society for Information Science. 1990;41(6):391–407. https://doi.org/10.1002/(SICI)1097-4571(199009)41:63.0.CO;2-9
10 Blei D.M., Ng A.Y., Jordan M.I. Latent Dirichlet Allocation. Journal of Machine Learning Research. 2003;(3):993–1022. https://dl.acm.org/doi/10.5555/944919.944937
11 Blei D.M., Lafferty J.D. Dynamic Topic Models. In: Proceedings of the 23rd International Conference on Machine Learning. 2006. Рр. 113–120. https://doi.org/10.1145/1143844.1143859
12 Grootendorst M. BERTopic: Neural Topic Modeling with a Class-based TF-IDF Procedure 2022 [Электронный ресурс]. https://doi.org/10.48550/arXiv.2203.05794
13 Рисунки и таблицы составлены автором с помощью библиотеки BERTopic (Python) на основе анализа корпуса из 918 документов.
14 От uscg, т. е. U.S. как обозначение США и CG, что соотносится с планом Береговой охраны (Coast Guard) США построить четыре новых арктических катера для решения растущих проблем национальной безопасности и оперативной деятельности в Арктическом регионе.
15 Climate Change 2007 [Электронный ресурс]. Available at: https://www.ipcc.ch/site/assets/ uploads/2018/02/ar4; syr; full; report.pdf (accessed 03.01.2025).
16Arctic Region Policy [Электронный ресурс]. Available at: https://www.uaf.edu/caps/resources/ policy-documents/us-directive-on-arctic-policy-nsdp66-hsdp25-2009.pdf (accessed 03.01.2025).
17 What the Forthcoming Paris Agreement Rulebook Mean for Arctic Climate Change [Электронный ресурс]. Available at: https://www.thearcticinstitute.org/paris-agreement-rulebook-arctic-climate-change/ (accessed 03.01.2025).
18 О Стратегии развития Арктической зоны Российской Федерации и обеспечения национальной безопасности на период до 2035 года: Указ Президента РФ от 26.10.2020 № 645 (ред. от 27.02.2023) [Электронный ресурс]. URL: https://clck.ru/3Q6KeM (дата обращения: 03.01.2025).
19 Санкционная активность США и ЕС в отношении России: последствия для арктических проектов [Электронный ресурс]. URL: https://clck.ru/3Pi6nm (дата обращения: 03.01.2025).
20 Science and Technology Highlights in the Second Year of the Trump Administration [Электронный ресурс]. Available at: https://trumpwhitehouse.archives.gov/wp-content/uploads/2019/02/Administration2018-ST-Highlights.pdf (accessed 03.01.2025).
21 NOAA’s Arctic Vision and Strategy [Электронный ресурс]. Available at: https://arctic.noaa.gov/2025-arctic-vision-and-strategy/ (accessed 03.01.2025).
22 Železný J. The Dragon and the Bear on the Polar Silk Road: The Impact of Sino-Russian Cooperation on the Great Power Competition in the Arctic. In: Routledge Handbook of Chinese and Eurasian International Relations. New York: Routledge; 2025. Рр. 365–378.
23 2022 National Security Strategy [Электронный ресурс]. Available at: https://clck.ru/3Q5EX2 (accessed 28.10.2025)
24 U.S. National Strategy for the Arctic Region [Электронный ресурс]. Available at: https:// bidenwhitehouse.archives.gov/wp-content/uploads/2022/10/National-Strategy-for-the-Arctic-Region.pdf (accessed 30.05.2025).
About the authors
Peiying Lv
Southeast University
Author for correspondence.
Email: lvpy219@163.com
ORCID iD: 0009-0006-1138-8604
PhD Candidate, School of Foreign Studies
China, Jiangning District, Nanjing, Jiangsu 211189References
- Sun J., Li Z., Deng Z. A Study on the Spatial Pattern of Economic Connection Networks in the Arctic Route Economic Circle. Journal of Central China Normal University (Natural Sciences Edition). 2022;56(03):421–427. (In Chinese) https://doi.org/10.19603/j.cnki.1000-1190.2022.03.007
- Khazieva R.R., Karpova E.I. Differences in U.S. Arctic Policy According to National Security Strategies. Arctic XXI Century. 2023;(2):58–69. (In Russ., abstract in Eng.) https://doi.org/10.25587/SVFU.2023.84.24.005
- Cao L. Strategic Competition Between the U.S. and Russia in the Arctic: Policy Conflicts, Main Drivers, and Development Trends. Journal of Ocean University of China (Social Sciences Edition). 2023;(03):13–24. (In Chinese) https://doi.org/10.16497/j.cnki.1672-335X.202303002
- Zhu X., Pasch T.J., Ahajjam M.A., Bergstrom A. Environmental Monitoring for Arctic Resiliency and Sustainability: An Integrated Approach with Topic Modeling and Network Analysis. Sustainability. 2022;14(24):16493. https://doi.org/10.3390/su142416493
- Ancin-Murguzur F.J., Hausner V.H. Research Gaps and Trends in the Arctic Tundra: A Topic-Modelling Approach. One Ecosystem. 2020;(5):e57117. https://doi.org/10.3897/oneeco.5.e57117
- Li M., Yuan W., Yuan Wu, Niu F., Li H., Hu D. Spatio-Temporal Evolution and Influencing Factors of Geopolitical Relations Among Arctic Countries Based on News Big Data. Journal of Geographical Sciences. 2022;32(10):2036–2052. https://doi.org/10.1007/s11442-022-2035-0
- Gritsenko D. Vodka on Ice? Unveiling Russian Media Perceptions of the Arctic. Energy Research and Social Science. 2016;(16):8–12. https://doi.org/10.1016/j.erss.2016.03.012
- Egger R., Yu J. A Topic Modeling Comparison Between LDA, NMF, Top2Vec, and BERTopic to Demystify Twitter Posts. Frontiers in Sociology. 2022;(7):886498. https://doi.org/10.3389/fsoc.2022.886498
- Wang Z., Zhou R., Wang Y. DTM-Based Analysis of Hot Topics and Evolution of China’s Energy Policy. Sustainability. 2024;16(19):8293. https://doi.org/10.3390/su16198293
- Zhang J., Guo P. New Trends and Impacts of Arctic Geopolitical Competition Since the Russia-Ukraine Conflict. Russian, East European and Central Asian Studies. 2024;(6):91–113. (In Chinese) https://doi.org/10.20018/j.cnki.reecas.2024.06.004
- Kelman I., Sydnes A.K., Duda P.I., Nikitina E., Webersik C. Norway-Russia Disaster Diplomacy for Svalbard. Safety Science. 2020;(130):104896. https://doi.org/10.1016/j.ssci.2020.104896
- Kobz eva M. Strategic Partnership Setting for Sino-Russian Cooperation in Arctic Shipping. The Polar Journal. 2020;10(2):334–352. https://doi.org/10.1080/2154896X.2020.1810956
- MacDonald A.P. China-Russian Cooperation in the Arctic: A Cause for Concern for the Western Arctic States? Canadian Foreign Policy Journal. 2021;27(2):194–210. https://doi.org/10.1080/11926422.2021.1936098
Supplementary files

















