Metabolic response of cultivated bivalve mollusks to acidification in the Black sea
- Authors: Vialova O.Y.1
-
Affiliations:
- A.O. Kovalevsky Institute of Biology of the Southern Seas of RAS
- Issue: No 4 (2023)
- Pages: 73-86
- Section: Статьи
- URL: https://journal-vniispk.ru/2413-5577/article/view/255620
- EDN: https://elibrary.ru/OVFSHX
- ID: 255620
Cite item
Abstract
The Black Sea, which is potentially the largest sink of CO2 among the seas of the Atlantic Ocean, has been experiencing a decrease in pH over the last decades. Information on the acidification of the Black Sea and its impact on the marine biosystem is scarce. Based on literature and our own experimental data, we analyse the effect of low seawater pH values on the energy metabolism of the main commercial bivalve molluscs – the mussel Mytilus galloprovincialis and the oyster Magallana gigas. These species showed the ability to adapt energy metabolism levels over a wide pH range, from 7.0 to 8.1. When the pH was lowered by 0.1 unit, the oxygen consumption of mussels decreased on average by 10–20 % in the pH range 7.5–8.2. At pH 7.2–7.5, the respiration rate of M. galloprovincialis did not change and remained at 9.15–9.38 µg O2/(g dry tissue·h) and then dropped to 6.8 µg O2/(g dry tissue·h) at pH 7.0. In M. gigas, the oxygen consumption rate decreased uniformly: on average by 10–15 % for each 0.1 unit of pH change, up to pH value of 7.2. At pH 7.0–7.2, aerobic respiration of oysters was recorded at a minimum level of 4.6–4.8 µg O2/(g dry tissue·h).
Full Text
Introduction
Global changes in the world's ocean waters are altering almost all coastal ecosystems. The increase in carbon dioxide content in the marine environment and the resulting growth of its acidity are of reasonable concern. Ocean water acts as a major sink for atmospheric carbon, helping to offset the effects of global warming [1–3]. During the last decades, all seas of the world’s ocean have been experiencing a decrease in pH, which is expected to fall to 7.1 by 2100 [2]. Obviously, different marine areas will not be affected to the same extent: it is determined by their geographical location and hydrological characteristics. In shelf seas, water acidification depends on the volume of river inflow, the degree of organic pollution, and the intensity of upwelling and production processes in the surface layers [4–6]. Of note, even with the reduction of greenhouse gas emissions into the atmosphere, the seawater acidity will be increasing for a long time, since CO2 is a long-lived atmospheric gas.
Reports by the Intergovernmental Panel on Climate Change argue that fresher and colder waters can absorb much more CO2 from the atmosphere than more saline oceanic water masses can. The Black Sea is characterised by an average surface temperature of 17–19 ℃ (~14 ℃ in winter and ~25 ℃ in summer) and a salinity of 17–18 PSU. According to experts, the Black Sea is potentially the largest CO2 sink among the nearest seas of the Atlantic Ocean [3, 6]. In the surface layers of the sea, this parameter is higher than typical oceanic values due to the high total alkalinity of the rivers flowing into the Black Sea [7]. The most significant decrease in pH values was recorded in the upper suboxic layer: on average by 0.15–0.20 per decade [4–6, 8]. According to the work [6], in the surface layer (0–30 m) in 1990–2014, the maximum and minimum mean annual pH values were ~ 8.7 and 7.4, respectively. Observational data in the coastal zones of the eastern part of the Black Sea showed that during the year the pH varied between 8.36 and 8.45 [5], while in the western part (Romanian coast) it ranged between 7.37 and 8.58. It is explained by more intensive production processes in the 0–10 m layer [3]. There are two seasons: the cold one (November to March) with minimum pH values and the warm one (April to October) with maximum values. These differences are related to general climatic patterns, river discharge, upwelling and seasonal variability of production processes in the Black Sea [6–8]. In addition, there are diurnal variations in pH in coastal areas, which can exceed unity [5, 9]. These changes often result from the fact that primary producers increase the pH of the surrounding seawater in the daytime during photosynthesis and decrease it at night during respiration [10, 11].
A number of widely cited meta-analyses and systematic reviews have been published, which concern the effects of ocean acidification on selected groups of hydrobionts [12–17]. The considered scenarios and predictions have revealed gaps in the study of physiological and behavioural responses of bivalves under conditions of decreasing pH values in the marine environment. This is due to the difficulty of determining the direct and/or indirect influence of the studied factor, and the contradictory results obtained by different authors. Marine organisms that use calcium carbonate (CaCO3) to create shells or other body structures, so-called marine calcifiers, are directly threatened at all life stages – larval, juvenile and adult [12, 18–25]. A decrease in the amount of available carbonate ions can not only impede the formation of biogenic calcium structures in the body, but also make such structures vulnerable to dissolution under conditions of low pH values [24, 26, 27]. The authors note that the rate of pH change is extreme and already potentially dangerous for many calcifying marine species.
A decrease in seawater pH is detrimental to the physiology of bivalves, since it alters the extracellular acid-base balance [28–30] and metabolic activity [31]. Moreover, it leads to supression of respiration and excretion, decreased food intake [12, 32, 33], and impaired development of organisms occur [18, 27]. In some cases, a decrease in pH can lead to death [12]. Acidified marine environment results in deterioration of the mechanical properties of byssus filaments and in a decrease in their number [26, 34]. Embryonic and larval stages of mussels were found sensitive to the pH level. Due to acidification, the size of larvae decreases, their survival rate reduces, whereas the number of individuals with abnormalities and a longer developmental period increases [22].
At the same time, there is evidence of some positive effect of water acidification on shell growth [35]. Thus, a reduced pH value can mitigate the adverse impact of high temperature on biomineralisation and crystal ultrastructure of the genus Mytilus. Resistance of bivalves to environmental acidification has been described in such species from estuarine and upwelling areas as M. chilensis [22], Argopecten purpuratus [36, 37], M. edulis [22, 38, 39], M. galloprovincialis [39-41], M. coruscus [42], Pinctada fucata and Perna viridis [33]. Some studies indicate that food availability plays an important role in the resistance of mussels to acidification of the marine environment [20, 33].
Data on the Black Sea acidification and its impact on the marine biosystem are scarce. However, it is clear that many biota components may be affected by decreasing pH values, which in turn may cause ecological and economic problems in the region. Bivalves dominate the macrofauna of estuaries and bays. These organisms are an important element of the biotopes ecological structure and a commercial resource for fisheries and mariculture. Marine farms cultivating the two main commercial species, mussels Mytilus galloprovincialis and oysters Magallana (formerly Crassostrea) gigas, are located along the coastline of the Black Sea, including the Crimean Peninsula and Krasnodar Krai. Assessment of the effects of acidification on the state of commercially important species is a vital task of modern research.
Respiration intensity of molluscs is an important summarizing indicator of the level of metabolic processes in the organism. The volume of oxygen consumed by molluscs allows assessment of their physiological state and the extent of influence of various environmental factors on them [12, 31, 33]. The study investigates the level of energy metabolism of mussels M. galloprovincialis and oysters M. gigas under ongoing acidification of the Black Sea. The paper examines how a wide range of pH values (7.0-8.1), potentially possible in the Black Sea, can influence the adaptive capacity of these commercially important species.
Materials and methods
Specimens of mussels Mytilus galloprovincialis and oysters Magallana gigas were collected from a sea farm located in Laspi Bay (Black Sea, the South Coast of Crimea), placed into thermoboxes and delivered to the laboratory of Institute of Biology of Southern Seas (Sevastopol). Further, the molluscs were kept in flowing sea water at 20–21 °C, pH 8.2 and salinity 18.1 PSU for seven days. Molluscs were fed daily with Isochrysis galbana. The experiments were conducted in 950 mL closed respirometers using filtered seawater. The duration of the experiments ranged from 2 to 2.5 h. The molluscs were pre-cleaned of epibionts, weighed and measured. One specimen was placed into each respirometer, and a peristaltic pump was used to continuously circulate filtered seawater in a closed cycle. The initial and final oxygen concentration was determined using a dissolved oxygen analyser MARK-404.
Seawater with different pH values was prepared using Tetra minus pH. This certified preparation is used in marine aquaristics to reduce pH and carbonate hardness and is safe for hydrobionts. By applying different dosages of the preparation, conditions were created with pH values ranging from 8.1 to 7.0, which is slightly wider than the expected pH range in the Black Sea. In each respirometer, the pH value was determined before and after the experiment using an Ohaus ST2100 laboratory pH-meter.
After completion of each of the experiments, the water in the respirometers with molluscs was replaced with new water with preset pH values. The temperature was 20–21 °C and salinity was 18.1 PSU. The experiments were carried out in four replicates. The total number of studied molluscs was 24.
The oxygen consumption RR, µg O2/(g dry tissue·h), by molluscs was calcu-lated by the formula
RR = (Сbeg. – Сend)∙V/Т/Wdry tiss.,
where Cbeg. and Cend – O2 content in respirometers with molluscs at the beginning and end of the experiment; V – volume of respirometer, mL; T – time, h; Wdry tiss. – weight of dry tissues, g. The dry weight was obtained by drying soft tissues in thermostat at 98 °C to constant weight.
Statistical and graphical data were processed using Excel, one-way ANOVA.
Results
The main characteristics of the study objects (mussels M. galloprovincialis and oysters M. gigas) are presented in the table.
Size and weight characteristics of bivalves (mean ± SD)
Species | n, ind. | L, mm | Wtotal, g | Wshell, g | Wdry soft tiss., g |
Mussel | 12 | 55.71 ± 4.82 | 19.96 ± 4.80 | 13.73 ± 4.22 | 0.224 ± 0.088 |
Oyster | 12 | 64.88 ± 6.17 | 27.56 ± 8.88 | 10.19 ± 0.80 | 0.306 ± 0.217 |
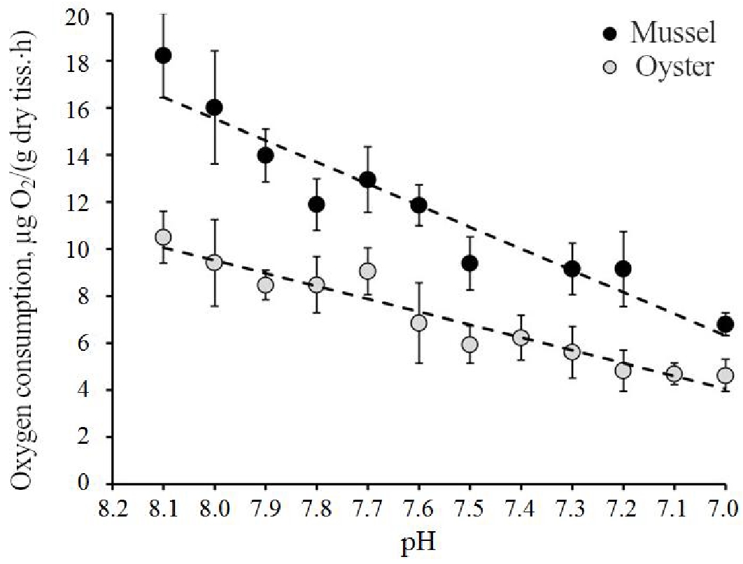
The study found that mussels normally had higher energy metabolism levels (18.23 ± 1.2 µg O2/(g dry tiss.·h) than oysters (10.50 ± 1.1 µg O2/(g dry tiss.·h)).A decrease in seawater pH led to a decrease in respiration in both mollusk species (Fig. 1). A linear negative dependence of oxygen consumption on pH values was found for mussels M. galloprovincialis (R² = 0.90) and oysters M. gigas (R² = 0.93).
Fig. 1. Dependence of oxygen consumption by mussels M. galloprovincialis and oysters М. gigas on seawater pH, mean ± SD
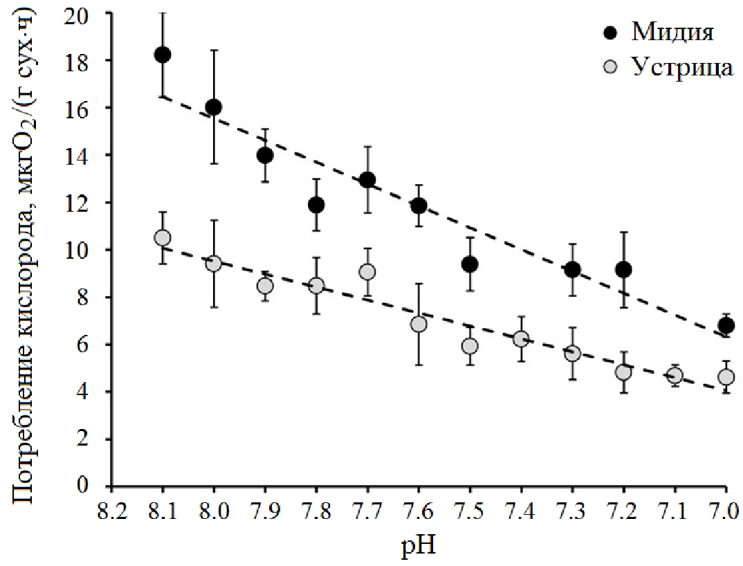
The results showed that in the pH range of 7.5–8.2, when pH was lowered by 0.1 unit, the oxygen consumption by mussels decreased by 10–20% of the previous value. Further, at pH 7.2–7.5 the respiration of molluscs remained at 9.15–9.38 μg O2/(g dry tissue·h), then a drop of this indicator to 6.8 μg O2/(g dry tissue·h) was recorded at pH 7.0 (Fig. 2). In M. gigas, the observed decrease in oxygen consumption was more uniform, by 10–15% for each 0.1 pH unit, up to pH 7.2. Then this parameter did not change and was fixed at a minimum level (4.6–4.8 µg O2/(g dry tissue·h)).
Thus, acidification of seawater led to a decrease in the respiration intensity in mussels M. galloprovincialis and oysters M. gigas. At pH 7.5–7.7, the most noticeable changes in the level of energy metabolism occurred in the studied molluscs (Fig. 2). After a uniform decrease in oxygen consumption in both species at pH 7.7, an unexpected increase in this indicator was recorded (by 8.9% in mussels and by 6.7% in oysters) followed by a sharp drop by 20–30% from the previous values (at pH 7.5–7.6). At the same time, the two species showed different physiological response: the mussels steadily maintained the level of aerobic metabolism when pH decreased from 7.4 to 7.1 (no changes in respi-ration rate), while the oysters demonstrated a uniform decrease of aerobic processes to minimum values.
Fig. 2. Dynamics of oxygen consumption by mussels M. galloprovincialis and oysters M. gigas with a decrease in pH of seawater by 0.1 unit
Discussion
The ability of bivalves to compensate the level of energy metabolism in the setting of environmental changes is confirmed by a number of studies [31, 40, 43, 44]. This is due to the lifestyle of molluscs, which form dense settlements in the coastal area and are occasionally exposed to changing external factors such as temperature, salinity, and oxygen regime. In our study, the effect of low environmental pH values on the level of energy metabolism of bivalves cultured in the Black Sea was investigated for the first time.
On coastal farms, molluscs are grown in plastic cages and nets at depths of up to 10 m from the surface. Thus, mussels and oysters potentially fall within the areas of pH change caused by natural daily and seasonal dynamics of this indicator [5, 45] and by upwellings [6].
Studies of several species of mussels M. edulis, M. galloprovincialis and M. trossulus showed that the threshold of physiological tolerance is at pH ~7.8, which approximately corresponds to the lower values of the local natural background pH of marine waters [39, 40, 46]. The work [28] reports the results of keeping juvenile and adult M. galloprovincialis at pH ~7.3 (18 °C). Under such acidified conditions, the rate of oxygen consumption decreased significantly more in juvenile mussels: after 5 h of the experiment, oxygen consumption fell by 25%, after 10 h – by over 45% and after 20 h – by 60–65%. In adult molluscs, the maximum decrease in respiratory intensity was 35% of the control. Some authors believe that seawater pH < 7.5 is detrimental to shellfish, and pH values of ~7.3 may be fatal for them [28, 46].
The tolerance range of a species is known to be often closely related to the range of variability of environmental parameters. This allows us to conclude that the studied molluscs can be exposed to pH values > 7.6 in the natural environment, i. e. from 8.2 (normal) to 7.5–7.6 pH (acidification), and tolerate such changes well. Here are some examples of such studies on bivalves.
C. A. Vargas et al. [23, 25], based on their own and literature data, argue that organisms of the same species react differently to environmental acidification: the reaction was from negative to positive. For example, mussels M. chilensis from estuaries with high natural water CO2 content showed greater tolerance to high pCO2 levels than individuals from open areas. Molluscs M. trossulus retained the ability to repair damaged shells and shell mineralisation for 2.5 months at pH values ranging from 7.29 to 7.95 [47]. The data report Bathymodiolus brevior able to live in natural conditions at both pH 7.8 and pH 5.36 on the northwestern slope of the Eifuku submarine volcano of the Mariana Arc, whose hydrothermal environment contains liquid carbon dioxide and hydrogen sulfide [48]. Comparison of the two populations showed that the average daily growth rate and shell thickness of individuals from the volcano area were two times less than those of molluscs living in water at pH over 7.8.
Recent studies of natural populations of M. galloprovincialis from shallow lagoons and open coastal areas indicate that there is genetic diversity of adaptation to ocean acidification in molluscs [49]. An analysis of gene expression patterns revealed that differences in the pH fluctuations observed in coastal and lagoonal habitats potentially form patterns of plasticity and molecular-phenotypic differentiation between populations of the same species. The plasticity of expression in response to the effects of low pH was significantly higher in the coastal population, which lives in more stable conditions of the large masses of the Mediterranean Sea, as opposed to the conditions of shallow lagoons, which are characterised by abrupt fluctuations in environmental factors [49]. It is suggested that the tolerance of bivalves to pH changes may be fixed at the molecular genetic level.
The results of studies on the metabolic response of oysters to sea acidification are also controversial. For example, the work [50] reports a decrease in respiration rate of C. virginica exposed to high CO2 partial pressure (0.8–1 kPa pCO2) and low pH (≤ 7) compared to controls (< 0.1 kPa pCO2, pH = 8.2). In another study, high CO2 for 30 days resulted in inhibition of food consumption and digestion processes, decreased adsorption efficiency in C. gigas, but at the same time it led to increased oxygen consumption and ammonium nitrogen excretion rate [51]. The results of a 55-day experiment on C. gigas are of interest, where at 15 °C the intensity of metabolic processes in the control (pH 7.9) and test (pH 7.09) groups of molluscs remained at the same stable level [29]. However, as the temperature increased to 20–25 °C, the situation changed: the level of metabolism increased considerably in the oysters under the acidified conditions. It is suggested that temperature is a more significant factor for oyster physiology than low pH values.
Under conditions of persistent and fluctuating acidification, Pacific oysters showed adaptability of such vital processes as calcification, respiration, nutrition and survival [52, 53]. Under low pH conditions (7.5–7.7), both male and female eastern oysters (C. virginica) showed accelerated reproductive development [54]. Observations of gametes during spawning, fertilisation, and embryo incubation showed a higher survival rate of the larvae (by 6–8% compared to the control).
In our study at pH 7.7, we recorded an increase in oxygen consumption by the molluscs of both species (by 8.9% in the mussels and 6.7% in the oysters). A similar response was observed in Black Sea mussels during DDT poisoning [55]. Thus, the effect of the toxicant initially inhibited respiration, then there was a short-term excitation (by the end of the first week of the experiment, the oxygen consumption in mussels was almost restored to the baseline), and after that the process was inhibited further. The authors explain this phenomenon by the fact that in order to restore the initial physiological state of the organism once the action of a negative factor (toxicant) started, the oxygen demand increases and oxidative processes intensify. However, the continuing gradual accumulation of DDT in the organs and tissues of molluscs eventually caused metabolic processes impairment in the latter, and the intensity of oxygen consumption by mussels began to decrease again. Analysing our results, we can assume that water acidification may have a similar effect on the level of metabolic processes in the organism of the studied molluscs.
In the course of evolution, molluscs have developed certain mechanisms of adaptation to unfavourable environmental factors, e. g. filtration stops, the valves close tightly and the rate of oxygen consumption decreases abruptly, respiration becomes anaerobic. The rate of energy processes in molluscs reduces to a minimum, and the animals enter a state of anaerobiosis. Adaptation of benthic organisms to unfavourable factors occurs at different levels: molecular, cellular, physiological, behavioural.
Conclusions
Recent studies show that the tolerance limit for most marine calcifying organisms is pH 7.5. Our results indicate that mussels M. galloprovincialis and oysters M. gigas inhabiting the Black Sea are adapted to the acidification of the marine environment and can maintain viability and energy metabolism level in a wide range of hydrogen ion concentration: from 7.0 to 8.1. During moderate stress, the organism can compensate for increased energy demand by higher energy intake and assimilation. However, under extreme impact of external factors, such physiological compensation for hydrobionts may be incomplete or impossible. Thus, molluscs can enter a metabolic depression state to reduce energy expenditure and increase the survival time until the conditions return to optimal. This paper shows that at extremely low pH values, the energy homeostasis was disturbed, which led to a limitation of the aerobic capacity of the organism.
Along with the gradual global ocean acidification caused by high atmospheric CO2 concentrations, the daily and seasonal dynamics of CO2 and pH in seawater are expected to increase. Assessment of the effect which these systemic variables have on the physiological processes of hydrobionts on short time scales is at its onset. Our understanding of the effects of the ongoing acidification of the Black Sea on ecologically and economically important hydrobionts is still limited. In a laboratory setting, it is difficult to reproduce the environmental heterogeneity that occurs under natural conditions. Fluctuating decreases and increases in pH can mitigate some of the negative effects of acidification on shell organisms by providing them with periods of “respites” during which processes associated with calcification of structural elements are initiated. The vast majority of works study the effect of stable pH levels on different species of hydrobionts. At the same time, it becomes obvious that the ecological significance of such studies is limited. This can be explained by the fact that predicted ocean pH values will be different from those of today, and also by the fact that physiological adaptations of organisms and ultimately natural selection are stronger under extreme conditions.
About the authors
Oksana Yu. Vialova
A.O. Kovalevsky Institute of Biology of the Southern Seas of RAS
Author for correspondence.
Email: vyalova07@gmail.com
ORCID iD: 0000-0002-8304-0029
Scopus Author ID: 6503936925
Senior Research Associate, PhD (Biol.)
Russian Federation, 299011, Sevastopol, Nakhimova Ave, 2References
- Bates, N.R., Astor, Y.M., Church, M.J., Currie, K., Dore, J.E., González-Dávila, M., Lorenzoni, L., Muller-Karger, F., Olafsson, J. [et al.], 2014. A Time-Series View of Changing Ocean Chemistry due to Ocean Uptake of Anthropogenic CO2 and Ocean Acidification. Oceanography, 27(1), pp. 126–141. doi: 10.5670/oceanog.2014.16
- Masson-Delmotte, V., Zhai, P., Pirani, A., Connors, S.L., Pean, C., Chen, Y., Goldfarb, L., Gomis, M.I., Matthews, J.B.R. [et al.], eds., 2022. Climate Change 2021. The Physical Science Basis. Contribution of Working Group I to the Sixth Assessment Report of the Intergovernmental Panel on Climate Change. Cambridge: Cambridge University Press, 2391 p. doi: 10.1017/9781009157896
- Fowler, S.W., 2008. Ocean Acidification Issues in the Mediterranean and Black Seas: Present Status and Future Perspectives. In: F. Briand, ed., 2008. Impacts of Acidifica-tion on Biological, Chemical and Physical Systems in the Mediterranean and Black Seas. CIESM Workshop Monographs. No. 36. Monaco: CIESM, pp. 23–30.
- Polonsky, A.B. and Grebneva, E.A., 2019. The Spatiotemporal Variability of pH in Waters of the Black Sea. Doklady Earth Sciences, 486(2), pp. 669–674. https://doi.org/10.1134/S1028334X19060072
- Khoruzhii, D.S. and Konovalov, S.K., 2014. Diurnal and Inter-Diurnal Variations of Contents of Carbon Dioxide and Dissolved Inorganic Carbon in the Black Sea Coastal Waters. Morskoy Gidrofizicheskiy Zhurnal, (1), pp. 28–43 (in Russian).
- Elge, M., 2021. Analysis of Black Sea Ocean Acidification. International Journal of Environment and Geoinformatics, 8(4), pp. 467–474. doi: 10.30897/ijegeo.857893
- Savenko, A.V. and Pokrovsky, O.S., 2022. Transformation of the Major and Trace Element Composition of Dissolved Matter Runoff in the Mouths of Medium and Small Rivers of Russia's Black Sea Coast. Oceanology, 62(3), pp. 324–345. doi: 10.1134/s0001437022030110
- Grebneva, E.A. and Polonsky, A.B., 2021. Decomposition of the Time Series of the pH Values of the Surface Water of the Deep Black Sea according to Archival Data of the Second Half of the XXth Century. Monitoring Systems of Environment, 44(2), pp. 29–38. doi: 10.33075/2220-5861-2021-2-29-38 (in Russian).
- Khoruzhii, D.S., 2016. Variability of Equilibrium Partial Pressure of Carbon Dioxide (pCO2) and Concentration of Dissolved Inorganic Carbon (TCO2) in the Black Sea Coastal Waters in 2010–2014. Physical Oceanography, (4), pp. 34–46. doi: 10.22449/1573-160X-2016-4-34-46
- Hurd, C.L., Cornwall, C.E., Currie, K., Hepburn, C.D., McGraw, C.M., Hunter, K.A. and Boyd, P.W., 2011. Metabolically-Induced pH Fluctuations by some Coastal Calcifiers Exceed Projected 22nd Century Ocean Acidification: a Mechanism for Differential Susceptibility? Global Change Biology, 17(10), pp. 3254–3262. doi: 10.1111/j.1365-2486.2011.02473.x
- Torres, O., Kwiatkowski, L., Sutton, A.J., Dorey, N. and Orr, J.C., 2021. Characte-rizing Mean and Extreme Diurnal Variability of Ocean CO2 System Variables Across Marine Environments. Geophysical Research Letters, 48(5), pp. 1–12. doi: 10.1029/2020GL090228
- Gazeau, F., Parker, L.M., Comeau, S., Gattuso, J.-P., O’Connor, W.A., Martin, S., Pörtner, H.-O. and Ross, P.M., 2013. Impacts of Ocean Acidification on Marine Shelled Molluscs. Marine Biology, 160(8), pp. 2207–2245. doi: 10.1007/s00227-013-2219-3
- Kroeker, K.J., Kordas, R.L., Crim, R., Hendriks, I.E., Ramajo, L., Singh, G.S., Duarte, C.M. and Gattuso, J.-P., 2013. Impacts of Ocean Acidification on Marine Organisms: Quantifying Sensitivities and Interaction with Warming. Global Change Biology, 19(6), pp. 1884–1896. doi: 10.1111/gcb.12179
- Doney, S.C., Busch, D.S., Cooley, S.R. and Kroeker, K.J., 2020. The Impacts of Ocean Acidification on Marine Ecosystems and Reliant Human Communities. Annual Review of Environment and Resources, 45, pp. 83–112. doi: 10.1146/annurev-environ-012320-083019
- Kelaher, B.P., Mamo, L.T., Provost, E., Litchfield, S.G., Giles, A. and Butcherine, P., 2022. Influence of Ocean Warming and Acidification on Habitat-Forming Coralline Algae and their Associated Molluscan Assemblages. Global Ecology and Conservation, 35, e02081. doi: 10.1016/j.gecco.2022.e02081
- Leung, J.Y.S., Zhang, S. and Connell, S.D., 2022. Ocean Acidification Really a Threat to Marine Calcifiers? A Systematic Review and Meta-Analysis of 980+ Studies Spanning Two Decades. Small, 18(35), 2107407. doi: 10.1002/smll.202107407
- Townhill, B.L., Artioli, Y., Pinnegar, J.K. and Birchenough, S.N.R., 2022. Exposure of Commercially Exploited Shellfish to Changing pH Levels: How to Scale-Up Experimental Evidence to Regional Impacts. ICES Journal of Marine Science, 79(9), pp. 2362–2372. doi: 10.1093/icesjms/fsac177
- Ross, P.M., Parker, L., O’Connor, W.A. and Bailey, E.A., 2011. The Impact of Ocean Acidification on Reproduction, Early Development and Settlement of Marine Organism. Water, 3(4), pp. 1005–1030. doi: 10.3390/w3041005
- Bechmann, R.K., Taban, I.C., Westerlund, S., Godal, B.F., Arnberg, M., Vingen, S., Ingvarsdottir, A. and Baussant, T., 2011. Effects of Ocean Acidification on Early Life Stages of Shrimp (Pandalus borealis) and Mussel (Mytilus edulis). Journal of Toxicology and Environmental Health, 74(7–9), pp. 424–438, doi: 10.1080/15287394.2011.550460
- Thomsen, J., Casties, I., Pansch, C., Kortzinger, A. and Melzner, F., 2012. Food Availability Outweighs Ocean Acidification Effects in Juvenile Mytilus edulis: Laboratory and Field Experiments. Global Change Biology, 19(4), pp. 1017–1027. doi: 10.1111/gcb.12109
- Parker, L.M., Ross, P.M., O’Connor, W.A., Portner, H.O., Scanes, E. and Wright, J.M., 2013. Predicting the Response of Molluscs to the Impact of Ocean Acidification. Biology, 2(2), pp. 651–692. doi: 10.3390/biology2020651
- Duarte, C., Navarro, J.M., Acuna, K., Torres, R., Manriquez, P.H., Lardies, M.A., Vargas, C.A., Lagos, N.A. and Aguilera, V., 2014. Combined Effects of Temperature and Ocean Acidification on the Juvenile Individuals of the Mussel Mytilius chilensis. Journal of Sea Research, 85, pp. 308–314. doi: 10.1016/j.seares.2013.06.002
- Vargas, C.A., Lagos, N.A., Lardies, M.A., Duarte, C., Manriquez, P.H., Aguilera, V.M., Broitman, B., Widdicombe, S. and Dupont, S., 2017. Species-Specific Responses to Ocean Acidification Should Account for Local Adaptation and Adaptive Plasticity. Nature Ecology and Evolution, 1, 0084, pp. 1–7. doi: 10.1038/s41559-017-0084
- Wang, X., Shang, Y., Kong, H., Hu, M., Yang, J., Deng, Y. and Wang, Y., 2020. Combined Effects of Ocean Acidification and Hypoxia on the Early Development of the Thick Shell Mussel Mytilus coruscus. Helgoland Marine Research, 74(3), pp. 1–9. doi: 10.1186/s10152-020-0535-9
- Vargas, C.A., Cuevas, L.A., Broitman, B.R., San Martin, V.A., Lagos, N.A., Gaitan-Espitia, J.D. and Dupont, S., 2022. Upper Environmental pCO2 Drives Sensitivity to Ocean Acidification in Marine Invertebrates. Nature Climate Change, 12, pp. 200–207. doi: 10.1038/s41558-021-01269-2
- Zhao, X., Guo, C., Zhumei, C., Wang, Y., Wang, X., Chai, X., Wu, H. and Liu, G., 2017. Ocean Acidification Decreases Mussel Byssal Attachment Strength and Induces Molecular Byssal Responses. Marine Ecology Progress Series, 565, pp. 67–77. doi: 10.3354/meps11992
- Fitzer, S.C., Vittert, L., Bowman, A., Kamenos, N.A., Phoenix, V.R. and Cusack, M., 2015. Ocean Acidification and Temperature Increase Impact Mussel Shell Shape and Thickness: Problematic for Protection? Ecology and Evolution, 5(21), pp. 4875–4884. doi: 10.1002/ece3.1756
- Michaelidis, B., Ouzounis, C., Paleras, A. and Portner, H.O., 2005. Effects of Long-Term Moderate Hypercapnia on Acid-Base Balance and Growth Rate in Marine Mussels Mytilus galloprovincialis. Marine Ecology Progress Series, 293, pp. 109–118. doi: 10.3354/meps293109
- Lannig, G., Eilers, S., Portner, H.O., Sokolova, I.M. and Bock, C., 2010. Impact of Ocean Acidification on Energy Metabolism of Oyster, Crassostrea gigas – Changes in Metabolic Pathways and Thermal Response. Marine Drugs, 8, pp. 2318–2339. doi: 10.3390/md8082318
- Lewis, C., Ellis, R.P., Vernon, E., Elliot, K., Newbatt, S. and Wilson, R.W., 2016. Ocean Acidification Increases Copper Toxicity Differentially in Two Key Marine Invertebrates with Distinct Acid-Base Responses. Scientific Reports, 6, 21554. doi: 10.1038/srep21554
- Thomsen, J. and Melzner, F., 2010. Moderate Seawater Acidification does not Elicit Long-Term Metabolic Depression in the Blue Mussel Mytilus edulis. Marine Biology, 157, pp. 2667–2676. doi: 10.1007/s00227-010-1527-0
- Fernández-Reiriz, J., Range, P., Alvarez-Saldago, X.A. and Labarta, U., 2011. Physio-logical Energetics of Juvenile Clams Ruditapes decussatus in a High CO2 Coastal Ocean. Marine Ecology Progress Series, 433, pp. 97–105. doi: 10.3354/meps09062
- Liu, W. and He, M., 2012. Effects of Ocean Acidification on the Metabolic Rates of Three Species of Bivalve from Southern Coast of China. Chinese Journal of Oceanology and Limnology, 30(2), pp. 206–211. doi: 10.1007/s00343-012-1067-1
- Clements, J.C. and George, M.N., 2022. Ocean Acidification and Bivalve Byssus: Explaining Variable Responses Using Meta-Analysis. Marine Ecology Progress Series, 694, pp. 89–103. doi: 10.3354/meps14101
- Knights, A.M., Norton, M.J., Lemasson, A.J. and Stephen, N., 2020. Ocean Acidification Mitigates the Negative Effects of Increased Sea Temperatures on the Biomineralization and Crystalline Ultrastructure of Mytilus. Frontiers in Marine Science, 7, 567228. doi: 10.3389/fmars.2020.567228
- Lagos, N.A., Benítez, S., Duarte, C., Lardies, M.A., Broitman, B.R., Tapia, C., Tapia, P., Widdicombe, S. and Vargas, C.A., 2016. Effects of Temperature and Ocean Acidifica-tion on Shell Characteristics of Argopecten purpuratus: Implications for Scallop Aquaculture in an Upwelling-Influenced Area. Aquaculture Environment Interactions, 8, pp. 357−370. doi: 10.3354/aei00183
- Lardies, M.A., Benitez, S., Osores, S., Vargas, C.A., Duarte, C., Lohrmann, K.B. and Lagos, N.A., 2017. Physiological and Histopathological Impacts of Increased Carbon Dioxide and Temperature on the Scallops Argopecten purpuratus Cultured under Upwelling Influences in Northern Chile. Aquaculture, 479, pp. 455−466. doi: 10.1016/j.aquaculture.2017.06.008
- Clements, J.C., Hicks, C., Tremblay, R. and Comeau, L.A., 2018. Elevated Seawater Temperature, not pCO2, Negatively Affects Post-Spawning Adult Mussels (Mytilus edulis) under Food Limitation. Conservation Physiology, 6(1), cox078. doi: 10.1093/conphys/cox078
- De Wit, P., Durland, E., Ventura, A. and Langdon, C.J., 2018. Gene Expression Correlated with Delay in Shell Formation in Larval Pacific Oysters (Crassostrea gigas) Exposed to Experimental Ocean Acidification Provides Insights into Shell Formation Mechanisms. BMC Genomics, 19(1), pp. 160−175. doi: 10.1186/s12864-018-4519-y
- Fernández-Reiriz, M.J., Range, P., Alvarez-Saldago, X.A., Espinosa, J. and Labarta, U., 2012. Tolerance of Juvenile Mytilus galloprovincialis to Experimental Seawater Acidification. Marine Ecology Progress Series, 454, pp. 65−74. doi: 10.3354/meps09660
- Gazeau, F., Alliouane, S., Bock, C., Bramanti, L., Lopez Correa, M., Gentile, M., Hirse, T., Portner, H.O. and Ziveri, P., 2014. Impact of Ocean Acidification and Warming on the Mediterranean Mussel (Mytilus galloprovincialis). Frontiers in Marine Science, 1, 62. doi: 10.3389/fmars.2014.00062
- Hu, M., Lin, D., Shang, Y., Hu, Y., Lu, W., Huang, X., Ning, K., Chen, Y. and Wang, Y., 2017. CO2-Induced pH Reduction Increases Physiological Toxicity of Nano-TiO2 in the Mussel Mytilus coruscus. Scientific Reports, 7, 40015. doi: 10.1038/srep40015
- Benitez, S., Lagos, N.A., Osores, S., Opitz, T., Duarte, C., Navarro, J.M. and Lardies, M.A., 2018. High pCO2 Levels Affect Metabolic Rate, but not Feeding Behavior and Fitness, of Farmed Giant Mussel Choromytilus chorus. Aquaculture Environment Interactions, 10, pp. 267–278. doi: 10.3354/aei00271
- Duarte, C., Navarro, J.M., Quijon, P.A., Loncon, D., Torres, R., Manriquez, P.H., Lardies, M.A., Vargas, C.A. and Lagos, N.A., 2018. The Energetic Physiology of Juvenile Mussels, Mytilus chilensis (Hupe): The Prevalent Role of Salinity under Current and Predicted pCO2 Scenarios. Environmental Pollution, 242, Part A, pp. 156–163. doi: 10.1016/j.envpol.2018.06.053
- Khoruzhii, D.S., 2018. Variability of the CO2 Flux on the Water–Atmoshpere Interfaca 2 in the Black Sea Coastal Waters on Various Time Scales in 2010–2014. Physical Oceanography, 25(5), pp. 401–411. doi: 10.22449/1573-160X-2018-5-401-411
- Munari, M., Matozzo, V., Rieldi, V., Pastore, P., Badocco, D. and Marin, M.G., 2020. EAT BREATHE EXCRETE REPEAT: Physiological Responses of the Mussel Mytilus galloprovincialis to Diclofenac and Ocean Acidification. Journal of Marine Science and Engineering, 8(11), 907. doi: 10.3390/jmse8110907
- George, M.N., O’Donnel, M.J., Concodello, M. and Carrington, E., 2022. Mussels Repair Shell Damage Despite Limitations Imposed by Ocean Acidification. Journal of Marine Science and Engineering, 10(3), pp. 359. doi: 10.3390/jmse10030359
- Tunnicliffe, V., Davies, K.T.A., Butterfield, D.A., Embley, R.W., Rose, J.M. and Chadwick Jr., W.W., 2009. Survival of Mussels in Extremely Acidic Waters on a Sub-marine Volcano. Nature Geoscience, 2, pp. 344–348. https://doi.org/10.1038/ngeo500
- Bitter, M.C., Kapsenberg, L., Silliman, K., Gattuso, J.-P. and Pfister, C.A., 2021. Magnitude and Predictability of pH Fluctuations Shape Plastic Responses to Ocean Acidification. The American Naturalist, 197(4), pp. 486–501. doi: 10.1086/712930
- Willson, L.L. and Burnett, L.E., 2000. Whole Animal and Gill Tissue Oxygen Uptake in the Eastern Oyster, Crassostrea virginica: Effect of Hypoxia, Hypercapnia, Air Exposure, and Infection with the Protozoan Parasite Perkinsus marinus. Journal Experimental Marine Biology and Ecology, 246, pp. 223–240. doi: 10.1016/S0022-0981(99)00183-5
- Jiang, W., Wang, X., Rastrick, S.P.S., Wang, J., Zhang, Y., Strand, Ø., Fang, J. and Jiang, Z., 2021. Effects of Elevated pCO2 on the Physiological Energetics of Pacific Oyster, Crassostrea gigas. ICES Journal of Marine Science, 78(7), pp. 2579–2590. doi: 10.1093/icesjms/fsab139
- Bednaršek, N., Beck, M.W., Pelletier, G., Applebaum, S.L., Feely, R.A., Butler, R., Byrne, M., Peabody, B., Davis, J. and Štrus, J., 2022. Natural Analogues in pH Variability and Predictability Across the Coastal Pacific Estuaries: Extrapolation of the Increased Oyster Dissolution under Increased pH Amplitude and low Predictability Related to Ocean Acidification. Environmental Science and Technology, 56, pp. 9015−9028. doi: 10.1021/acs.est.2c00010
- Zuñiga-Soto, N., Pinto-Borguero, I., Quevedo, C. and Aguilera, F., 2023. Secretory and Transcriptomic Responses of Mantle Cells to Low pH in the Pacific Oyster (Crassostrea gigas). Frontiers in Marine Science, 10, 1156831. doi: 10.3389/fmars.2023.1156831
- Clements, J.C., Carver, C.E., Mallet, M.A., Comeau, L.A. and Mallet, A.L., 2021. CO2-Induced Low pH in an Eastern Oyster (Crassostrea virginica) Hatchery Positively Affects Reproductive Development and Larval Survival but Negatively Affects Larval Shape and Size, with no Intergenerational Linkages. ICES Journal of Marine Science, 78(1), pp. 349–359. doi: 10.1093/icesjms/fsaa089
- Kozlova, G.V. and Gordienko, N.A., 2021. Infuence of Organochlorine Compounds on Respiratory Intensity and Glycogen Content in Mussels in the Kerch Strait. Bulletin of the Kerch State Marine Technological University, (4), pp. 46–58. doi: 10.47404/2619-0605_2021_4_46 (in Russian).
Supplementary files






