Statistical Distributions of Crests and Trough of Sea Surface Waves
- Authors: Zapevalov A.S.1
-
Affiliations:
- Marine Hydrophysical Institute RAS
- Issue: No 3 (2024)
- Pages: 49-58
- Section: Статьи
- URL: https://journal-vniispk.ru/2413-5577/article/view/271080
- EDN: https://elibrary.ru/CYOWEE
- ID: 271080
Cite item
Abstract
In many practical applications, a statistical description of waves is needed to calculate and predict their impact on ships, coastal structures and beaches. This paper investigates the statistics of the trough Th and the crest Cr of sea surface waves in the coastal zone of the Black Sea. The analysis uses data from direct wave measurements obtained on a stationary oceanographic platform of the Marine Hydrophysical Institute of the Russian Academy of Sciences. In all situations, the mode of the Th and Cr distributions is shifted to the region of higher values relative to the Rayleigh distribution mode. As a rule, the analysis of the distributions of trough and crest is carried out within a second-order nonlinear model based on the Stokes wave. It is shown that within the framework of this model it is possible to describe only the average distribution over an ensemble of situations, while for practical tasks it is necessary to know the deviations from these values. The type of Th and Cr distributions significantly depends on the skewness of the distribution of sea surface elevations Аh. With Аh < 0, the probability density function Th and Cr are almost identical. The second-order nonlinear model, in which the condition Аh > 0 is always fulfilled, does not describe this situation. The probability density functions Th and Cr obtained with Аh > 0 correspond qualitatively to this model. Changes in the excess kurtosis of the distribution of sea surface elevations have a lesser effect on the probability density functions Th and Cr.
Keywords
Full Text
Introduction
The study of sea wave statistical distributions and the identification of rogue waves are among the urgent tasks of modern oceanology [1]. In a linear wave field, which represents a superposition of sinusoidal waves with random phase, provided that the wave spectrum is sufficiently narrow, the distribution of wave heights is described by the Rayleigh distribution [2]. It also describes the distributions of crest heights and trough depths [3]. The Rayleigh distribution is generally regarded as the lower limit giving the lowest probabilities for rogue waves [4]. The linear model also underestimates strongly the probability of high crests [5].
Crest Cr refers to the maximum value of wave record h(t) between the time it crosses the zero level from bottom to top and the time it crosses that level from top to bottom [6]. Similarly, trough Th is minimum value h(t) between two consecutive crossings of the zero level from top to bottom and from bottom to top. Wave height is defined as the sum of consecutive maximum and minimum values between two points where the wave record crosses h(t) the zero level upwards or downwards, i. e., H = Cr + Th [7].
Deviations of sea wave statistical distributions from the linear model are usually described within a second-order nonlinear model which is based on the decomposition of the wave profile into small parameter powers (steepness) [8]. In the above model, the skewness of the sea surface elevation distribution is always higher than zero [9], the crests are higher and the troughs are shallower than predicted by linear theory [10]. Both of these conditions are not always fulfilled in marine environments. Measurements made in different areas of the world ocean have shown that the lower limit of the range where the skewness varies lies in the region of negative values [11, 12]. The second-order nonlinear model describes only average trends of skewness and excess kurtosis changes not allowing to describe the whole variety of situations occurring in the sea [13].
The ratios of crest and trough vary widely. Some situations are observed when the maximum trough is greater than the maximum crest during a measurement session [14, 15]. According to measurements in the Black Sea, the probability of an event in which the trough of the highest wave in the measurement session is greater than its crest reaches 10% [16].
Less attention has been paid to the analysis of the distribution of sea wave troughs than to the statistical description of their crests, although the distribution of troughs is of great importance for a number of engineering applications [9]. The purpose of this paper is to analyse jointly the distributions of crests and troughs of surface waves.
Measurement equipment and conditions
Wave measurement data obtained on the stationary oceanographic platform of Marine Hydrophysical Institute of the Russian Academy of Sciences were used to study the statistical characteristics of surface waves. The stationary oceanographic platform is located in the coastal part of the Black Sea off the Southern Coast of Crimea at a depth of about 30 metres. Two types of wave recorders were used to measure surface waves. The wave recorders of the first type contain a vertically stretched nichrome string as a sensor [17] and the nichrome string is coiled with a constant pitch on a vertically oriented supporting cable-tether in wave recorders of the second type [18].
This paper analyses the measurement data obtained in the summer and autumn of 2006 as well as in the winter of 2018. In 2006, measurements were taken in sessions lasting several hours; in 2018, wave measurements were taken continuously for a month. Continuous recordings of sea surface elevations were divided into 20 min fragments. A total of 2380 twenty-minute fragments were used for the analysis.
For each fragment, crest Cr and trough Th of separate waves were determined and significant wave height нs, skewness A and excess kurtosis E of surface elevation were calculated. Only waves satisfying the conditions of Cr > 5 cm and Th > 5 cm were considered in the analysis. Hereinafter, parameter Th is equal to the trough modulus.
Wave measurements carried out in different seasons made it possible to cover a wide range of meteorological parameters. The average wind speed during the measurement session varied from conditional zero (the threshold of propeller starting) to 26 m/s. The wind speed reached 35 m/s in gusts. The wave periods calculated from the maximum of the wave spectrum were in the range from 1.1 s to 9 s. Significant wave height varied from 0.1 m to 2.3 m. The values of wave steepness (nonlinearity parameter) ranged mainly from 0.009 to 0.09.
Distributions of troughs and crests
For statistical moments h(t), we introduce the following notation
,
where is averaging. Let us assume that the average value of a random variable is m1 = 0, then the skewness and excess kurtosis of the surface elevation distribution are equal to Аh = m3/m23/2 and еh = m4/m22 – 3, respectively.
To compare the statistical distributions of troughs and crests determined in different situations, we will use normalised wave records
, (1)
where нs is significant wave height connected to the second statistical moment of sea surface elevations by relation .
The probability density function of the Rayleigh distribution describing distributions of Cr and Th under the linear model is as follows
, , (2)
where . Considering (1), we obtain that in our case mode of distribution (2) is defined as .
Empirical probability density functions of Cr and Th were calculated based on histograms constructed with equal intervals of 0.05. Fig. 1 shows the empirical probability density functions of crests fсr (x) and troughs fTh (x) calculated over the entire measurement data set. It can be seen that modes of empirical distributions and are shifted relative to the Rayleigh distribution mode towards higher values x, i. е., the following conditions are fulfilled
.
The modes of the сr and Th distributions are located in neighbouring intervals, with their centers and .
Fig. 1. Probability density functions f (average over an ensemble of situations). The blue curve is fсr (x), the red curve is fTh (x), the black curve is fr (x)
The consideration of nonlinearity leads to the fact that the probability of high crests becomes greater than in the linear model, in which this probability is described by the Rayleigh distribution, and the probability of deep troughs is smaller [9]. It follows from Fig. 1 that inequality fсr (x) > fr (x) is true in region . The ratio between fTh (x) and fr (x) changes at x0 » 0.8, inequality fTh (x) > fr (x) takes place in region , reciprocal ratio fTh (x) < fr (x) takes place at x > x0. Thus, in the area of high crests and deep troughs, deviations fсr (x) and fTh (x) from fr (x) occur in the direction predicted by the second-order nonlinear model [19], i. е., the average distribution of crests and troughs over an ensemble of situations corresponds to this model qualitatively.
Earlier studies of senior statistical moments of sea surface elevations have shown that the second-order nonlinear model makes it possible to describe only average trends of skewness and excess kurtosis, but does not allow describing the whole variety of situations occurring under sea conditions [13]. The skewness and excess kurtosis values vary over a much wider range than the model suggests. In particular, the model estimates of surface elevation distribution skewness Аh and excess kurtosis еh are always positive [20], while situations in which Аh < 0 and/or еh < 0 are often observed under sea conditions [12]. Fig. 2 shows at what values of Аh and еh the wave records analysed in this paper were obtained.
Рис. 2. Изменения асимметрии Аh и эксцесса еh возвышений морской поверхности
Effect of skewness Аh and excess kurtosis еh
Usually, the distributions of crests and troughs are analysed within a second-order nonlinear model based on the decomposition of the wave profile into a series of small parameter powers [19–22]. In [8], a simplified second-order nonlinear model, which is the sum of linear hL (x, t) and nonlinear hN (x, t) components, is proposed to describe the sea surface statistical characteristics. The model is constructed for waves propagating in deep water in the narrowband spectrum approximation. It is described by the amplitude-modulated Stokes wave equation with average frequency w and random phase e
, (3)
where аr (x, t) is envelope; q = kp x – wt + e; kp is wave number corresponding to the wave spectrum peak. The local maxima of nonlinear term hN (x, t) coincide with the crest and trough of the linear wave hL (x, t), hence, the ridge and trough within model (3) are equal [9]
.
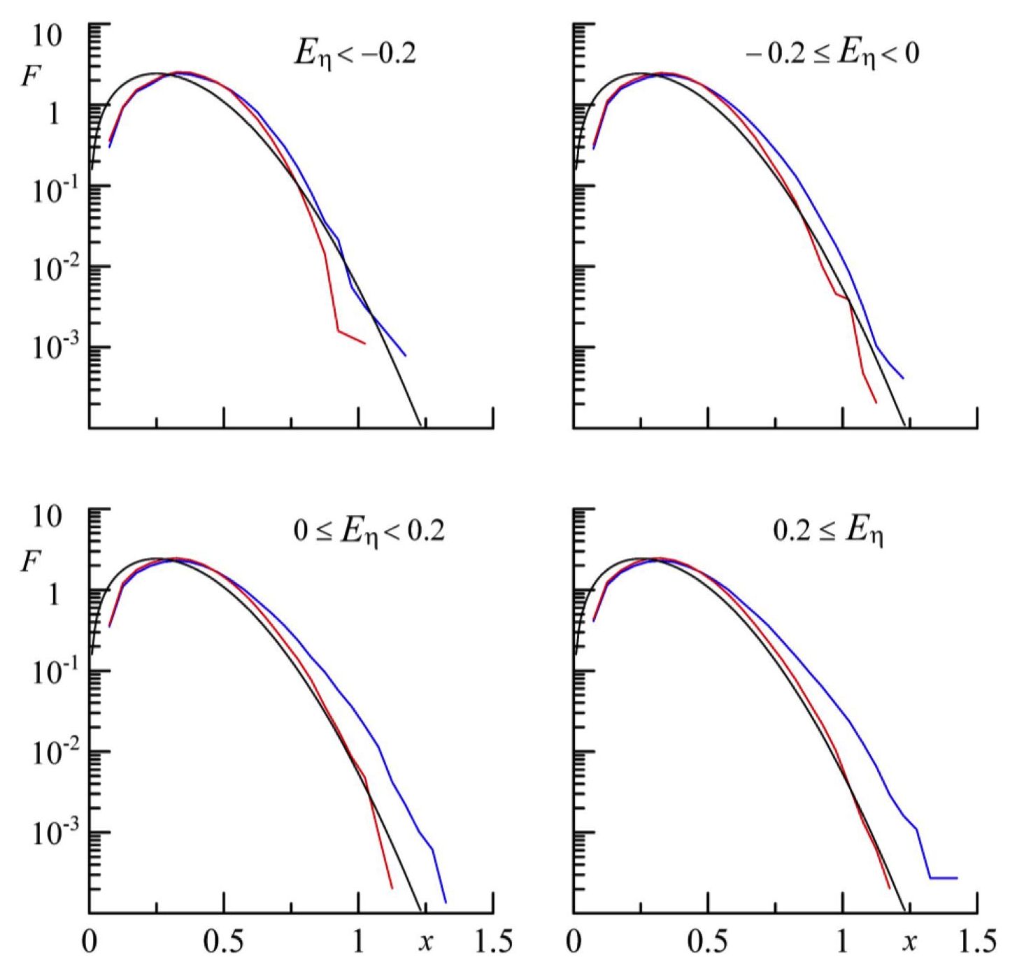
In order to assess how applicable this model is to the description of statistical distributions of crests and troughs, it is necessary to analyse how functions fсr (x) and fTh (x) change in different situations, in particular, when the skewness or excess kurtosis is negative. Fig. 3 shows the results of this analysis.
Fig. 3. Probability density functions f calculated for three ranges of skewness Аh. The blue curve is fсr (x), the red curve is fTh (x), the black curve is fr (x)
It follows from Fig. 3 that when changing the sign of skewness Аh, the type of function fTh (x) changes significantly. If condition Аh < 0 takes place, equality fTh (x) » fсr (x) is observed. Note that equality fTh (x) = fсr (x) takes place within the linear model when the Cr and Th distributions are described by the Rayleigh distribution. In this case, the difference from the linear model at Аh < 0 is that inequalities fсr (x) > fr (x) and fTh (x) > fr (x) are fulfilled in region x > 0.45.
As follows from Fig. 4, changes in the excess kurtosis have a lesser effect on the type of functions fсr (x) and fTh (x).
Fig. 4. Probability density functions f calculated for four ranges of excess kurtosis еh. The blue curve is fсr (x), the red curve is fTh (x), the black curve is fr (x)
Conclusion
Based on direct wave measurements carried out under sea conditions, the distributions of troughs Th and crests Cr of sea surface waves were analysed. On average over an ensemble of situations, the greater values of crests calculated from the measurement data have higher probability than the Rayleigh distribution suggests, and the probability of deep troughs is smaller. Such distributions of crests and troughs correspond to a second-order nonlinear model qualitatively.
At the same time, the second-order nonlinear model fails to describe fTh (x) and fсr (x) when sea surface elevation distribution skewness Аh is negative. It is shown that functions fTh (x) and fсr (x) are approximately equal at Аh < 0.
Changes in the excess kurtosis of the distribution of sea surface elevations have a lesser effect on the probability density functions of Th and Cr than changes in the skewness of the distribution.
About the authors
A. S. Zapevalov
Marine Hydrophysical Institute RAS
Author for correspondence.
Email: sevzepter@mail.ru
ORCID iD: 0000-0001-9942-2796
SPIN-code: 6784-7782
Scopus Author ID: 7004433476
ResearcherId: V-7880-2017
главный научный сотрудник, доктор физико-математических наук
Russian Federation, SevastopolReferences
- Slunyaev, A.V., Kokorina, A.V., Zaytsev, A.I., Didenkulova, E.G., Moskvitin, A.A., Didenkulov, O.I. and Pelinovsky, E.N., 2023. The Dependence of Wave Height Probability Distributions on Physical Parameters from Measurements near Sakhalin Island. Fundamental and Applied Hydrophysics, 16(3), pp. 18–29. https://doi.org/10.59887/2073-6673.2023.16(3)-2 (in Russian).
- Longuet-Higgins, M.S., 1952. On the Statistical Distribution of the Heights of Sea Waves. Journal of Marine Research, 11(3). Available at: https://elischolar.library.yale.edu/ journal_of_marine_research/774 [Accessed: 25 July 2024].
- Naess, A., 1985. On the Distribution of Crest to Trough Wave Heights. Ocean Engineering, 12(3), pp. 221–234. https://doi.org/10.1016/0029-8018(85)90014-9
- Gemmrich, J. and Thomson, J., 2017. Observations of the Shape and Group Dynamics of Rogue Waves. Geophysical Research Letters, 44(4), pp. 1823–1830. https://doi.org/10.1002/2016GL072398
- Dysthe, K., Krogstad, H.E. and Muller, P., 2008. Oceanic Rogue Waves. Annual Review of Fluid Mechanics, 40, pp. 287–310. https://doi.org/10.1146/annurev.fluid.40.111406.102203
- Forristall, G.Z., 2000. Wave Crest Distributions: Observations and Second-Order Theory. Journal of Physical Oceanography, 30(8), pp. 1931–1943. https://doi.org/10.1175/1520-0485(2000)030<1931:WCDOAS>2.0.CO;2
- Nieto-Reyes, A., 2022. On the Non-Gaussianity of Sea Surface Elevations. Journal of Marine Science and Engineering, 10(9), 1303. https://doi.org/10.3390/jmse10091303
- Tayfun, M.A., 1980. Narrow-Band Nonlinear Sea Waves. Journal of Geophysical Research, 85(C3), pp. 1548–1552. https://doi.org/10.1029/JC085iC03p01548
- Toffoli, A., Bitner-Gregersen, E., Onorato, M. and Babanin, A.V., 2008. Wave Crest and Trough Distributions in a Broad-Banded Directional Wave Field. Ocean Engineering, 35(17), pp. 1784–1792. https://doi.org/10.1016/j.oceaneng.2008.08.010
- Longuet-Higgins, M.S, 1963. The Effect of Nonlinearities on Statistical Distributions in the Theory of Sea Waves. Journal of Fluid Mechanics, 17(4), pp. 459–480. https://doi.org/10.1017/S0022112063001452
- Guedes Soares, C., Cherneva, Z. and Antão, E.M., 2004. Steepness and Asymmetry of the Largest Waves in Storm Sea States. Ocean Engineering, 31(8–9), pp. 1147–1167. https://doi.org/10.1016/j.oceaneng.2003.10.014
- Zapevalov, A.S. and Garmashov, A.V., 2022. The Appearance of Negative Values of the Skewness of Sea-Surface Waves. Izvestiya, Atmospheric and Oceanic Physics, 58(3), pp. 263–269. https://doi.org/10.1134/S0001433822030136
- Zapevalov, A.S. and Garmashov, A.V., 2021. Skewness and Kurtosis of the Surface Wave in the Coastal Zone of the Black Sea. Physical Oceanography, 28(4), pp. 414–425. doi: 10.22449/1573-160X-2021-4-414-425
- Glejin, J., Sanil Kumar, V., Nair, T.B., Singh, J. and Nherakkol, A., 2014. Freak Waves off Ratnagiri, West Coast of India. Indian Journal of Geo-Marine Sciences, 43(7), pp. 1339–1342.
- Didenkulova, I. and Anderson, C., 2010. Freak Waves of Different Types in the Coastal Zone of the Baltic Sea. Natural Hazards and Earth System Sciences, 10(9), pp. 2021–2029. https://doi.org/10.5194/nhess-10-2021-2010
- Zapevalov, A.S. and Garmashov, A.V., 2024. Ratio between Trough and Crest of Surface Waves in the Coastal Zone of the Black Sea. Physical Oceanography, 31(1), pp. 71–78.
- Zapevalov, A.S., Bol'shakov, A.N. and Smolov, V.E., 2009. Studying the Sea Surface Slopes Using an Array of Wave Gauge Sensors. Oceanology, 49(1), pp. 31–38. https://doi.org/10.1134/S0001437009010044
- Toloknov, Yu.N. and Korovushkin, A.I., 2010. Hydrometeorological Information Collection System. Monitoring Systems of Environment, 13, pp. 50–53 (in Russian).
- Toffoli, A., Onorato, M., Babanin, A.V., Bitner-Gregersen, E., Osborne, A.R. and Monbaliu, J., 2007. Second-Order Theory and Setup in Surface Gravity Waves: A Comparison with Experimental Data. Journal of Physical Oceanography, 37(11), pp. 2726–2739. https://doi.org/10.1175/2007JPO3634.1
- Tayfun, M.A. and Alkhalidi, M.A., 2016. Distribution of Surface Elevations in Nonlinear Seas. In: OTC, 2016. Proceedings of Offshore Technology Conference. Kuala Lumpur, Malaysia, 22–25 March 2016. pp. 1274–1287. https://doi.org/10.4043/26436-MS
- Forristall, G.Z., 2000. Wave Crest Distributions: Observations and Second-Order Theory. Journal of Physical Oceanography, 30(8), pp. 1931–1943. https://doi.org/10.1175/1520-0485(2000)030<1931:WCDOAS>2.0.CO;2
- Prevosto, M. and Forristall, G.Z., 2004. Statistics of Wave Crests from Models vs. Measurements. Journal of Offshore Mechanics and Arctic Engineering, 126(1), pp. 43–50. https://doi.org/10.1115/1.1641795
Supplementary files








