Характеристики горения капель водомазутной эмульсии со специализированными присадками
- Авторы: Шлегель Н.Е.1, Клименко А.Ю.1
-
Учреждения:
- Национальный исследовательский Томский политехнический университет
- Выпуск: Том 335, № 4 (2024)
- Страницы: 118-130
- Раздел: Статьи
- URL: https://journal-vniispk.ru/2500-1019/article/view/258912
- DOI: https://doi.org/10.18799/24131830/2024/4/4536
- ID: 258912
Цитировать
Полный текст
Аннотация
Актуальность. Применение мазутного топлива на энергетических установках характеризуется повышенными значениями недожога и антропогенных выбросов. Одним из способов снизить антропогенные выбросы является использование водомазутных эмульсий. Также для сокращения антропогенных выбросов и улучшения характеристик горения топлива используются дополнительные специализированные присадки. Цель. Исследование направлено на определение оптимальной присадки к мазутному топливу для снижения антропогенных выбросов и времен задержки зажигания. Методы. В состав водомазутного топлива добавляли присадки: ИОН-М, Роснефть P503B3, Роснефть Р502В1 (относительная массовая концентрация 0,5 %). Определены физико-химические свойства мазута М-100, а также элементарный состав CHNSO. Установлены реологические характеристики составов водомазутных топлив. С помощью высокоскоростной съемки определены времена задержки зажигания капель. С помощью газоанализатора определены антропогенные выбросы. Результаты и выводы. Результаты проведенных исследований показали, что присадка на основе особого сочетания положительно и отрицательно заряженных ионов (ИОН М) снижает времена задержки зажигания на 20–60 % при варьировании температуры газовой среды в диапазоне от 700 до 900 °С. Добавление присадки на основе жирных растительных кислот (P502B3) снижало времена задержки зажигания на 7–10 % при изменении температуры в диапазоне от 700 до 900 °С относительно водомазутного топлива. Установлено, что использование присадки P502B1 в водомазутном топливе позволило снизить времена задержки зажигания на 15–50 %. Определено, что в присутствии катализаторов горения вода связывается с тяжелыми углеводородами и тем самым выход летучих веществ происходит быстрее, т. е. подведенная теплота не тратится на прогрев воды в капли, а равномерно воздействует на весь объём топлива. Результаты исследований антропогенных выбросов показали, что использование присадок при сжигании водомазутного топлива снижает концентрации CO, CO2, NO, SO2 на 8, 6, 10 и 13 %, соответственно, по сравнению с мазутом.
Полный текст
Введение
Топочный мазут М40 и М100 является основным жидким топливом в энергетических установках, поскольку обладает высокой теплотворной способностью и низкой стоимостью [1]. Как правило, при сжигании мазутного топлива образуются различные загрязняющие вещества, такие как остаточные золы, сажа и серная кислота [2–4]. Следует отметить, что мазутное топливо характеризуется высоким содержанием серы (до 4,5 %). При этом в мазуте содержатся различные концентрации микроэлементов тяжелых металлов, таких как ванадий, никель, свинец, медь. Такая концентрация приводит к высокотемпературной коррозии [2–4]. В настоящее время существует высокая потребность в мазутном топливе [5, 6]: для морских перевозок, выработки тепловой и электрической энергии. Для эффективного сжигания мазутного топлива энергетическая установка обязана иметь соответствующее оборудование, входящее в состав мазутного хозяйства. Вследствие чего предусматривается возможность приема, хранения, подготовки мазута к сжиганию и подаче к форсункам котлов [7]. Для улучшения эффективности сжигания мазута и снижения антропогенных выбросов используются дополнительные специализированные присадки [8, 9]. Они способствуют снижению затрат на производство тепловой энергии. Использование присадок в топливе имеет ряд преимуществ, а именно повышение КПД котла и предотвращение образования эвтектических смесей при сжигании топлива. Также введение присадок позволяет снизить температуру застывания (до 15–20 °С) и повысить текучесть мазута [10]. Производство эффективных присадок включает смешивание, перемешивание ингредиентов в течение 5–10 минут и фильтрование. Как правило, в присадку добавляют катализаторы горения, износостойкие, дымоудаляющие и энергосберегающие компоненты, а также регуляторы октанового числа [11, 12].
На данный момент существует несколько типов специализированных присадок, которые позволяют повысить КПД энергетической установки [13]. Например, катализаторы горения улучшают процесс горения, тем самым способствуют более равномерному распределению тяжело воспламеняющихся частей в капле мазута, что приводит к снижению недожога топлива [14]. Для уменьшения температуры застывания мазута используют депрессорные присадки. Как правило, они состоят из растворов сополимеров. Такие присадки применяются для уменьшения затрат на подогрев мазута, а также вследствие снижения вязкости топлива позволяют уменьшить расходы на перекачку его по трубопроводам [15].
Одним из основных направлений с целью повышения КДП котельной установки является сжигание мазута в виде водомазутной эмульсии [16]. Как правило, одной из главных проблем сжигания мазута является его обводнение. Известно, что после получения с нефтеперерабатывающего завода мазут содержит до 1,5 % воды [17]. При транспортировке содержание воды в мазуте повышается до 3–5 %. Но особенно сильное обводнение мазута происходит при его сливе и разогреве, так как наиболее распространенным способом его разогрева является разогрев острым паром [7]. При этом содержание воды в мазуте может достигать 30 %. Стоит отметить, что распределение воды в мазуте имеет линзовый характер из-за малой разницы плотностей рассматриваемых фаз. При сжигании таких смесей образуются огромные количества газовых выбросов в окружающую среду, что приводит к понижению эффективности сжигания топлива, а также появляется опасность пульсаций и срыва факела [18]. Определено [19], что вязкость и высшая теплота сгорания водомазутных эмульсий зависят от содержания воды. Оптимальное содержание воды в водомазутных эмульсиях определяется на основе численных значений вязкости. Как правило, содержание воды в водомазутной эмульсии составляет около 10–15 % [19]. В [20, 21] установлено, что оптимальная концентрация воды в водомазутном топливе составляет около 10 %. При этой концентрации усиливается эффективность распыливания топлива, тем самым повышаются характеристики горения, а также снижается содержание антропогенных выбросов (оксиды азота, углерода и др). Еще одним важным параметром при сжигании эмульсии является содержание водорода в газовой фазе, т. е. отношение Н/С. При этом основным определяющим параметром является состав смеси, который характеризуется коэффициентом избытка воздуха и количеством воды в топливе. Тем самым гомогенизация воздушно-мазутной смеси на основе воды позволяет снизить концентрации сажи в дымовых газах [22].
Существует несколько способов получения водомазутной эмульсии. Одним из способов является интенсивная гидромеханическая обработка в кавитационном поле. При этом способе происходят глубокие структурные изменения в молекулярном составе углеводородов, вследствие чего повышается степень дисперсности асфальтенов, карбенов, карбоидов до размеров 2–3 мкм. В работе [23] показано исследование процесса приготовления топливных эмульсий в конических измельчителях. Проведенное исследование показывает возможность использования конических измельчителей в качестве эмульгаторов. При этом оптимальное содержание воды составляет 5–10 %. Но эти методы требуют дополнительных затрат на оборудование. Показано [10], что при добавлении присадки СППХ-9777 расход топлива снижается на 3–5 %.
Присадки для водомазутного топлива используются в котельных агрегатах для улучшения работы горелки, снижения потребления топлива, повышения эффективности горения и сокращения выбросов вредных веществ в окружающую среду. Выбор оптимальных присадок для улучшения характеристик горения считается сложной задачей, так как на сегодняшний день есть множество присадок, которые могут влиять на реологические характеристики топлива и на его характеристики горения. Цель настоящего исследования – определение оптимальной присадки для сжигания водомазутного топлива в высокотемпературных условиях.
Методика проведения экспериментов, стенд и материалы
На рис. 1 представлена схема экспериментального стенда для проведения исследований по определению характеристик горения и концентраций антропогенных выбросов. Для проведения экспериментальных исследований приготавливалась водомазутная эмульсия (6) при помощи магнитного перемешивающего устройства (5) в течение 10–15 минут. В качестве лабораторной камеры сгорания использовалась муфельная печь R50/250/13 Nabertherm GmbH (максимальная рабочая температура 1100 °C, внутренний диметр 30 мм). Эксперименты проводились при температуре газовоздушной среды Tg=700–900 °С. Высокоскоростная видеокамера Phantom Miro C110 использовалась для визуализации и записи процессов горения (2). Эксперименты проведены при разрешении 1280×1024 пикселей, со скоростью съемки 915 кадров в секунду и межкадровой задержкой 1/10000. Высокоскоростная камера использовалась совместно с объективом Sigma 50мм f/1.4 EX DG OS HSM Macro Nikon F. Эксперименты по изучению характеристик горения проводились с одиночными каплями. Стоит отметить, что экспериментальная установка обеспечивала устойчивые условия горения без влияния потока окисляющей среды. С помощью электропривода (8) запускался координатный механизм (9), который помещал каплю (10) в муфельную печь (3). Координатный механизм (9) соединялся с компьютером (7), который отслеживал положение капли топлива. Для регистрации антропогенных выбросов в муфельную печь помещался щуп газоанализатора (4). Концентрации газов, выделяемых во время горения, измерялись с помощью газового анализатора Тест 1 (электрохимические – О₂ (0–25 %, ±0,2 %), SO₂ (0–1000 ppm, ±5 %), NO (0–2000 ppm, ±5 %), NO₂ (0–500 ppm, ±7 %), H₂S (0–500 ppm, ±5 %); оптические – СО₂ (0–30 %, ±2 %), СН₄ (0–50 %, ±5 %), СО (0–50 %, ±5 %), Н₂ (0–30 %, ±5 %)). Газоанализ проводился при использовании небольшого количества топлива (0,2 мл). Исследуемый состав набирался с помощью шприца и помещался на держатель. После чего отправлялся в муфельную печь. Отбор проб дымовых газов производился с помощью насоса, встроенного в газоанализатор, и зонда, расположенного в камере сгорания. Для осушки дымовых газов и отделения крупных частиц сажи и летучей золы использовались фильтр и влагоотделитель. Расчет средних значений концентраций газов проведен по методике [24].
Рис. 1. Схема стенда: 1 – штатив для камеры; 2 – высокоскоростная видеокамера; 3 – муфельная печь; 4 – газоанализатор; 5 – перемешивающее устройство; 6 – исследуемый состав; 7 – компьютер; 8 – электропривод; 9 – координатный механизм; 10 – капля топлива
Fig. 1. Stand diagram: 1 – camera tripod; 2 – high-speed video camera; 3 – muffle furnace; 4 – gas analyzer; 5 – mixing device; 6 – composition under study; 7 – computer; 8 – electric drive; 9 – coordinate mechanism; 10 – drop of fuel
При помощи высокоскоростной съемки регистрировалось время задержки зажигания капли . Временем задержки зажигания считался интервал от начала нагрева образца топлива до появления пламени. Время задержки зажигания капли определялось как 𝜏d = 𝜏b − . Где 𝜏b – время начала теплового воздействия, – 𝜏н момент времени, видимого начала горения. Время горения – это интервал от момента воспламенения газовой фазы до окончания горения. Капля водомазутной эмульсии с диаметром 2±0,3 мм сжигалась в предварительно нагретой камере сгорания. Средний размер капель контролировался с помощью программного обеспечения Phantom Camera Control. Функция измерения позволяла определять линейный размер объектов в кадре. С помощью этой функции измерялся диаметр капли суспензии в трех проекциях, после чего определялся средний диаметр капли.
Выполнена серия из 15 экспериментов. Далее по правилу трёх сигм отсеивались грубые ошибки. Также определялась средняя квадратичная погрешность , где – среднее время задержки зажигания, n – количество измерений. После чего определялся доверительный интервал (абсолютная погрешность серии измерений) , где t(α,n) – коэффициент Стьюдента.
В результате экспериментальных исследований установлены зависимости концентраций газообразных веществ от времени при температуре муфельной печи около 800 ℃. Для этого выполнена серия из пяти экспериментов для каждого состава. После чего рассчитывались средние содержания газов (1) в течение времени горения топлива:
(1)
После этого с помощью метода трапеции (2) определялось содержание газа как:
(2)
где 𝜏н и 𝜏к– время начала и конца горения. Грубые ошибки в эксперименте отсеивались по правилу 3 сигм.
Для экспериментальных исследований использован мазут марки М100. Физико-химические характеристики мазута приведены в табл. 1. Состав мазута определялся с помощью элементного анализатора vario MICRO cube в соответствии с методами, описанными в статье [25]. Образец топлива сжигали в кислороде при температуре 1100 °C. Затем полученные газы хроматографически разделяли и анализировали с помощью детектора теплопроводности. Впоследствии были определены массовые доли C, H, N и S и пересчитаны до сухого беззольного состояния. Свойства мазута определялись в соответствии с методами, указанными в [26]. Содержание золы и воды в маслах оценивалось с использованием стандартов ISO 3405-88. Температура вспышки и температура воспламенения мазута определялась с использованием стандартов ГОСТ 10585-99. В табл. 1, 2 представлены результаты исследования.
Таблица 1. Характеристики мазута
Table 1. Fuel oil characteristics
Характеристики исследуемого мазута М100 Characteristics of the studied fuel oil M100 | Численные значения Numerical values |
Массовая доля механических примесей, %, не более Mass fraction of mechanical impurities, %, no more | 1 |
Зольность, %, не более/Ash content, %, no more | 0,09 |
Массовая доля воды/Water mass fraction, % | 1,51 |
Массовая доля серы/Sulfur mass fraction, % | 2,6 |
Температура вспышки/Flash point, °C | 122 |
Температура застывания/Pour point, °C | 25 |
Таблица 2. Компонентный состав мазута
Table 2. Fuel oil component composition
Марка/Grade | W | A | S | C | N | O+H |
М-100 | 1,51 | 0,09 | 2,6 | 85,2 | 9,9 | 0,7 |
Для измерения вязкости использовались: ротационный вискозиметр Brookfield DV3T (диапазон измерения от 1 до 6·106 мПа∙с, точность ±1 %, воспроизводимость ±0,2 %), шпиндель SC4-18 (диапазон измерения вязкости 50–100000 мПа∙с) и термостат Termex КРИО-ВТ-12-01 (рабочая жидкость – Тосол, диапазон рабочих температур от –30 до +200 °С, точность поддержания температуры ±0,1 °С) для поддержания температуры образца 20 и 80 °С, свойства которого измеряются за счет организации внешнего контура термостатирования для потребителя. Для измерения поверхностного натяжения использовался тензиометр Kruss K20 (диапазон измерения 1–999 мН∙м, разрешение 0,01 мH∙м, диапазон температур 1–130 °С). С помощью метода отрыва кольца вычисляется поверхностное натяжение по формуле: , где – максимальное усилие, приложенное для отрыва кольца; – сила гидростатического столба жидкости под кольцом; – длина смачивания; – угол смачивания. Для определения поправок использовался метод Хаша–Масона. Также с помощью тензиометра определялась плотность топливной смеси. Измерение плотности основано на силе Архимеда. В табл. 3 представлены результаты реологических характеристик водомазутных топлив.
Катализаторы горения ИОН-М, Роснефть P503B3, Роснефть Р502В1 – жидкие присадки для топочных и флотских мазутов. Они предназначены для повышения производительности в котлах и промышленных печах. Присадка ИОН-М имеет многокомпонентный состав, который оказывает влияние на структуру топлива и непосредственно на процесс горения. ИОН-М представляет собой особое сочетание положительных и отрицательных ионов. При этом электростатические поля оказывают структурирующее (упорядочивающее) воздействие на молекулы вещества среды (топлива), в которой он находится. Роснефть P503B3 и P502B1 – присадки, которые состоят из комплекса алифатических углеводородов, олеиновой и жирных кислот растительных масел.
В табл. 4 приведены реологические характеристики водомазутного топлива в зависимости от концентрации присадки ИОН М.
Таблица 3. Реологические характеристики исследуемых составов
Table 3. Rheological characteristics of the studied compositions
Наименование топливной смеси Fuel mixture | Температура состава Temperature of composition Тf, ℃ | Динамическая вязкость µ, мПа·с Dynamic viscosity µ, mPa·s | Плотность ρ, кг/м3 Density ρ, kg/m3 | Поверхностное натяжение σ, Н/м Surface tension σ, N/m |
Мазут/Fuel oil | 20/80 | 1795/130 | 1015/937 | 0,041/0,035 |
Мазут/Вода – 90/10 % Fuel oil/Water – 90/10% | 20/80 | 1543/116 | 1021/933 | 0,044/0,033 |
Мазут/Вода/P503B3 – 89,5/10/0,5 % Fuel oil/Water/P503B3– 89,5/10/0,5% | 20/80 | 1505/111 | 1020/934 | 0,042/0,030 |
Мазут/Вода/P502B1 – 89,5/10/0,5 % Fuel oil/Water/P502B1 – 89,5/10/0,5% | 20/80 | 1515/112 | 1022/934 | 0,044/0,031 |
Мазут/Вода/ ИОН М – 89,5/10/0,5 % Fuel oil/Water/ ION M – 89,5/10/0,5% | 20/80 | 1493/109 | 1016/933 | 0,041/0,029 |
Таблица 4. Реологические характеристики водомазутного топлива в зависимости от концентрации присадки ИОН М
Table 4. Rheological characteristics of water-oil fuel depending on the capacity of the ION M additive
Концентрация присадки ИОН М, % Additive ION M concentration, % | Температура состава Temperature composition Тf, ℃ | Динамическая вязкость µ, мПа·с Dynamic viscosity µ, mPa·s | Плотность ρ, кг/м3 Density ρ, kg/m3 | Поверхностное натяжение σ, Н/м Surface tension σ, N/m |
0 | 20/80 | 1543/116 | 1021/933 | 0,044/0,033 |
0,25 | 20/80 | 1532/114 | 1020/933 | 0,044/0,032 |
0,5 | 20/80 | 1493/109 | 1016/933 | 0,041/0,029 |
1 | 20/80 | 1506/112 | 1018/933 | 0,042/0,030 |
Результаты исследования и их обсуждение
На рис. 2, а показаны видеокадры горения капли водомазутного топлива при температуре газовоздушной среды около 700 °C. Процесс горения можно разделить на несколько этапов. Сначала при нагреве капли выделялись летучие вещества и парафины, которые затем зажигались. В результате зажигания летучих веществ температура в зоне горения капли увеличивалась, вызывая ее диспергирование. Этот эффект обусловлен присутствием около 10 % воды в капле, которая испарялась и вызывала локальное повышение давления, что и приводило к микро-взрывной фрагментации. В результате повышенного давления капля наполнялась пузырьками пара, тем самым образуя вторичные фрагменты. На следующем этапе эти вторичные фрагменты распространялись по всей камере сгорания и затем зажигались.
На рис. 2, б приведены кадры горения капли водомазутного топлива с добавлением присадки на основе жирных кислот растительных масел (P503B3, состав № 3). Установлено, что процесс зажигания протекал аналогично опытам с водомазутным топливом при добавлении около 10 % воды. Однако второй этап с зажиганием капель происходил иначе. При диспергировании капли водомазутного топлива с добавлением присадки на основе жирных кислот растительных масел образованные вторичные фрагменты имели меньшие размеры относительно водомазутного топлива на 50 %. Такой эффект обусловлен тем, что при добавлении присадок к топливу вода, имеющаяся в его составе, связывается с углеводородами (снижается межфазное натяжение). Топливо становится более однородным.
На рис. 2, в представлены кадры горения капли водомазутного топлива при добавлении присадки на основе жирных кислот растительных масел (P503B1, состав № 4). Анализ кадров показал, что в течение второго этапа зажигания капли процесс диспергирования происходит практически мгновенно. Образуется большее количество вторичных фрагментов, в отличие от водомазутного топлива (рис. 2, а), на 20 %. На рис. 2, г представлены кадры горения капли водомазутного топлива при добавлении присадки на основе особого сочетания положительно и отрицательно заряженных ионов (ИОН М, состав № 5). Анализ кадров показал, что процесс зажигания протекал аналогично топливной композиции № 4. Однако количество вторичных фрагментов возрастало на 15 %. При этом длительность процесса горения капли увеличивалась на 10 % относительно композиции № 4.
Рис. 2. Видеокадры горения капли при Tg=700 °C для составов: а) № 2; б) № 3; в) № 4; г) № 5
Fig. 2. Video frames of a drop burning at Tg=700°C for compositions: а) no. 2; b) no. 3; c) no. 4; d) no. 5
Такой эффект связан с тем, что присадка на основе особого сочетания положительно и отрицательно заряженных ионов связывает углеводороды и снижает размер капли воды в эмульсии вследствие меньшего поверхностного натяжения. Такая присадка позволяет создавать ионные связи в эмульсии, что приводит к увеличению полноты сгорания топлива. Углеводороды при смешении с присадкой приобретают заданную ориентацию в объеме.
На рис. 3 показаны зависимости времени задержки зажигания капель водомазутных эмульсий от температуры газовоздушной среды. Показано, что все исследуемые присадки способствуют снижению времен задержки зажигания капель. Такой эффект обусловлен тем, что присадки являются катализаторами горения. Поэтому такие присадки уменьшают пороговую энергию активации окисления топлива, что приводит к более полному выгоранию. Вследствие чего укрепляется связь в капле между водой и тяжелыми углеводородами, т. е. топливная смесь становится более однородной [27]. Благодаря такому воздействию катализаторы способствуют зажиганию топлива при более низких температурах окружающей среды. Анализ экспериментальных исследований показал, что минимальными временами задержки зажигания характеризуется состав № 5. Такой состав снижал времена задержки зажигания на 20–60 % во всем исследуемом температурном диапазоне газовоздушной среды. Другие два состава (№ 3 и 4) позволили снизить времена задержки зажигания на 7–10 и 15–50 % соответственно.
Рис. 3. Зависимости времен задержки зажигания капель исследуемых топлив от температуры газовоздушной среды: 1 – № 2; 2 – № 3; 3 – № 4; 4 – № 5
Fig. 3. Dependence of the ignition delay time of droplets of the fuels under study on the temperature of the gas-air environment: 1 – no. 2; 2 – no. 3; 3 – no. 4; 4 – no. 5
Оптимальная работа котла может быть достигнута только в том случае, если при определении программы обработки присадками были приняты во внимание стадии предварительного сгорания и сжигания топлива. При этом присадки к мазутному топливу применяются в разных концентрациях – от 0,01 до 0,5 % [28]. Определение оптимальной концентрации присадки является ключевым аспектом повышения эффективности котла. Следующим этапом экспериментальных исследований являлось установление оптимальной концентрации присадки для снижения времени задержки зажигания. Экспериментальные исследования проведены с составом № 5, так как он позволил максимально снизить времена задержки зажигания капли. На рис. 4 представлено влияние концентрации присадки на времена задержки зажигания капли. В ходе экспериментальных исследований установлено, что минимальными временами задержки зажигания обладает водомазутное топливо с концентрацией присадки 0,5 %. При увеличении концентрации присадки до 1 % времена задержки зажигания капли возрастали на 50–60 % во всем исследуемом температурном диапазоне. Такой эффект связан тем, что при добавлении присадки изменяются реологические свойства топлива. В связи с этим вязкость, межфазное и поверхностное натяжения топливной композиции увеличиваются, что приводит к нестабильности процесса горения [29].
Рис. 4. Влияние концентрации присадки на времена задержки зажигания капли для состава № 5
Fig. 4. Influence of additive concentration on droplet ignition delay times for composition no. 5
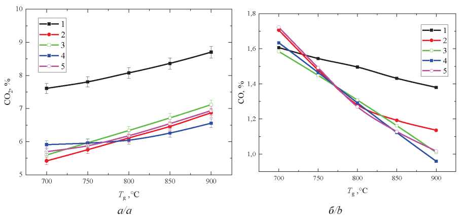
На рис. 5, a представлены концентрации СО₂ при сжигании водомазутных эмульсий. Установлено, что снижение концентрации монооксида углерода осуществлялось при высоких температурах (900 °С) газовоздушной среды.
Рис. 5. Концентрации CO₂ (a) и CO (б) при варьировании температуры газовоздушной среды: 1 – № 1; 2 – № 2; 3 – № 3; 4 – № 4; 5 – № 5
Fig. 5. CO₂ (a) and CO (b) concentrations when varying the temperature of the gas-air environment: 1 – no. 1; 2 – no. 2; 3 – no. 3; 4 – no. 4; 5 – no. 5
При таких температурах сгорание водомазутных эмульсий происходит более полно, что приводит к снижению химического недожога. Тем самым высокие температуры способствуют превращению CO в СО₂. Анализ проведенных исследований показал, что добавление воды в мазут приводило к уменьшению концентрации оксидов углерода. Такой эффект связан тем, что при нагреве водомазутного топлива вода в каплях испаряется первой, поскольку ее объем меньше объема мазута. Это наблюдается при температурах, намного превышающих температуру кипения воды (~270 °C). При испарении воды образуются пузырьки. При их взрыве капли топлива разбиваются, образуя вторичные фрагменты. Стоить отметить, что сжигание такого топлива способствует снижению температуры в камере сгорания, а также снижению скорости окислительных реакций. Размер капель водомазутного топлива, впрыскиваемого в камеру сгорания, также влияет на полноту сгорания. Добавление воды способствует дроблению капель топлива, что увеличивает площадь взаимодействия с воздухом [30].
Результаты экспериментальных исследований показали, что использование водомазутного топлива с присадками позволяет снизить выбросы СО₂ на 21,5, 24,98 и 22,86 % для составов № 3, 4, 5 по сравнению с мазутом во всем исследуемом диапазоне температур Tg. На рис. 5, б представлена зависимость содержания оксида углерода при сжигании исследуемых составов. Определено, что с ростом концентрации воды в капле уменьшается содержание CO. Установлено, что при добавлении присадок снижаются выбросы СО на 14,36, 14,16 и 17,61 % для составов № 3, 4, 5 по сравнению с мазутом во всем исследуемом диапазоне температур газовой среды Tg. Показано, что при горении составов № 3, 4, 5 возрастает количество СО₂ на 3,6, 0,7 и 2,1 %, соответственно, относительно состава № 2 при Tg=700–900 °С. Такой эффект связан тем, что присадки являются катализаторами горения. Такие присадки усиливают реакции окисления в процессе горения и уменьшают количество крупных несгоревших капель. Также результаты показали, что при добавлении присадок снижаются выбросы СО на 4,2, 5,1 и 2,7 % для составов № 3, 4, 5 при Tg=800 °C относительно № 2. Присадка действует как ускоритель окисления несгоревшего углерода (катализатор), тем самым увеличивается выгорание углерода в частицах.
Рис. 6. Концентрации NO (a) и SO₂ (б) при варьировании температуры газовоздушной среды: 1 – № 1; 2 – № 2; 3 – № 3; 4 – № 4; 5 – № 5
Fig. 6. NO (a) and SO₂ (b) сoncentrations when varying the temperature of the gas-air environment: 1 – no. 1; 2 – no. 2; 3 – no. 3; 4 – no. 4; 5 – no. 5
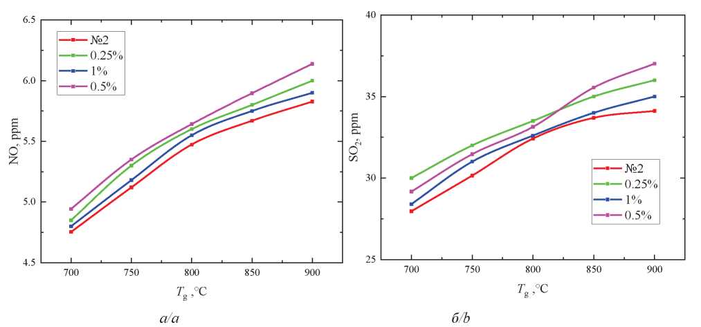
На рис. 6, a представлены зависимости содержания NO от температуры газовоздушной среды при горении водомазутных эмульсий при добавлении присадок. Установлено, что при добавлении присадок в водомазутное топливо выбросы NO уменьшаются на 6,7, 9,4 и 5,3 % для составов № 3, 4, 5 относительно № 1 (Tg=700–900 °C). На рис. 6, б приведена зависимость содержания SO₂ от температуры газовоздушной среды для водомазутных эмульсий с добавлением специализированных добавок. Установлено, что при добавлении воды в мазут происходило снижение SO₂. Это объясняется тем, что при горении водомазутного топлива выделяется водяной пар. Он реагирует с оксидами серы, образуя соли, которые выпадают в виде зольного осадка. Результаты проведенных исследований позволили установить, что при использовании составов № 3, 4, 5 уменьшаются выбросы SO₂на 10,89, 12,13 и 13,43 %, соответственно, по сравнению с необводненным мазутом.
Установлено, что использование композиций № 3, 4, 5 приводит к увеличению выбросов SO₂на 0,6, 3,1 и 3,8 % при сопоставлении с составом № 2 во всем исследуемом температурном диапазоне. Также при добавлении присадок в водомазутное топливо выбросы NO увеличиваются на 1,9, 0,8 и 4,9 % для составов № 3, 4, 5 относительно № 2. Такой эффект связан с тем, что при добавлении присадок в топливо вода связывается с тяжелыми углеводородами. Таким образом выход летучих веществ происходит быстрее.
Рис. 7. Концентрации СО₂ (a) и CO (б) при варьировании концентрации присадки ИОН М
Fig. 7. CO₂ (a) and CO (b) concentrations when varying ION M additive concentration
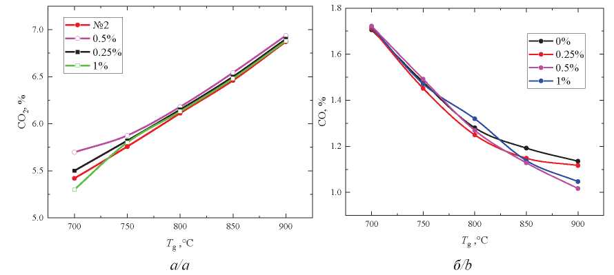
На рис. 7, а представлены зависимости содержания СО₂ от температуры газовоздушной среды при горении водомазутных эмульсий при варьировании концентрации присадки ИОН М. Показано, что при варьировании присадки ИОН М в размере 0,25, 0,5, 1 % возрастает количество СО₂ на 0,9, 2,1 и 0,1 %, соответственно, относительно состава № 2 при Tg=700–900 °С. На рис. 7, б представлена зависимость содержания оксида углерода при варьировании концентрации присадки ИОН М. Показано, что при горении водомазутной эмульсии при варьировании присадки ИОН М в размере 0,25, 0,5, 1 % снижаются выбросы СО на 0,5, 2,7 и 1,1 %, соответственно, относительно состава № 2 при Tg=700–900 °С. Таким образом увеличение концентрации присадки до 1 % к водомазутному топливу оказывает несущественное влияние на антропогенные выбросы.
Рис. 8. Концентрации NO (a) и SO₂ (б) при варьировании концентрации присадки ИОН М
Fig. 8. NO (a) and SO₂ (b) concentrations when varying ION M additive concentration
На рис. 8, a представлены зависимости содержания NO от температуры газовоздушной среды при горении водомазутных эмульсий при варьировании присадки ИОН М. Установлено, что использование присадки ИОН М в размере 0,25, 0,5, 1 % приводит к увеличению выбросов NO на 2,6, 3,8 и 1,3 % при сопоставлении с составом № 2 во всем исследуемом температурном диапазоне (Tg=700–900 °C). На рис. 8, б приведена зависимость содержания SO₂ от температуры газовоздушной среды для водомазутных эмульсий при варьировании концентрации присадки ИОН М. Установлено, что при добавлении присадки ИОН М в размере 0,25, 0,5, 1 % в водомазутное топливо выбросы NO увеличиваются на 5,2, 4,9 и 1,6 % относительно № 2. Такой эффект связан с тем, что при добавлении присадок в топливо вода связывается с тяжелыми углеводородами, и тем самым выход летучих веществ происходит быстрее. Таким образом при увеличении концентрации присадки до 1 % к водомазутному топливу оказывает несущественное влияет на антропогенные выбросы.
Заключение
Результаты проведенных исследований показали, что присадка на основе особого сочетания положительно и отрицательно заряженных ионов (ИОН М) снижает времена задержки зажигания на 40–50 % во всем исследуемом температурном диапазоне. Добавление присадки на основе жирных растительных кислот (P502B3) снижала времена задержки зажигания на 10 % во всем исследуемом температурном диапазоне относительно водомазутного топлива. Добавление присадки P502B1 в водомазутное топливо позволило снизить времена задержки зажигания на 30–40 %. Определено, что в присутствии катализаторов горения вода связывается с тяжелыми углеводородами и тем самым выход летучих веществ происходит быстрее, т. е. подведенная теплота не тратится на прогрев воды в капле, а равномерно воздействует на весь объём топлива.
Проведенные исследования показали, что использование присадок при сжигании водомазутного топлива снижает концентрации CO, CO₂, NO, SO₂ на 8, 6, 10 и 13 %, соответственно, по сравнению с мазутом.
Об авторах
Никита Евгеньевич Шлегель
Национальный исследовательский Томский политехнический университет
Автор, ответственный за переписку.
Email: nes6@tpu.ru
ORCID iD: 0000-0001-7402-5321
кандидат технических наук, доцент лаборатории тепломассопереноса Исследовательской школы физики высокоэнергетических процессов
Россия, 634050, г. Томск, пр. Ленина, 30Андрей Юрьевич Клименко
Национальный исследовательский Томский политехнический университет
Email: ayk40@tpu.ru
магистрант лаборатории тепломассопереноса Инженерной школы энергетики
Россия, 634050, г. Томск, пр. Ленина, 30Список литературы
- Darbandi M., Fatin A., Bordbar H. Numerical study on NOx reduction in a large-scale heavy fuel oil-fired boiler using suitable burner adjustments // Energy. – 2020. – Vol. 199. – P. 117371. DOI: doi.org/10.1016/j.energy.2020.117371.
- Calculation of average molecular parameters, functional groups, and a surrogate molecule for heavy fuel oils using 1H and 13C nuclear magnetic resonance spectroscopy / A.G. Abdul Jameel, A.M. Elbaz, A.-H. Emwas, W.L. Roberts, S.M. Sarathy // Energy & Fuels. American Chemical Society. – 2016. – Vol. 30. – № 5. – P. 3894–3905. DOI: doi.org/10.1021/acs.energyfuels.6b00303.
- Goldstein H.L., Siegmund C.W. Influence of heavy fuel oil composition and boiler combustion conditions on particulate emissions // Environ. Science. Technol. American Chemical Society. – 1976. – Vol. 10. – № 12. – P. 1109–1114. DOI: doi.org/10.1021/es60122a006.
- Comparison of particle emissions from small heavy fuel oil and wood-fired boilers / O. Sippula, J. Hokkinen, H. Puustinen, P. Yli-Pirilä, J. Jokiniemi // Atmos. Environ. – 2009. – Vol. 43. – № 32. – P. 4855–4864. DOI: doi.org/10.1016/j.atmosenv.2009.07.022.
- Incorporating scarcity into footprints reveals diverse supply chain hotspots for global fossil fuel management / Q. Zhong, Z. Zhang, H. Wang, X. Zhang // Appl Energy. – 2023. – Vol. 349. – P. 121692. DOI: doi.org/10.1016/j.apenergy.2023.121692.
- Минзяк М.В. Противоречия в реализации новых положений конвенций МАРПОЛ и КБО в международной морской практике // Океанский менеджмент. Общество с ограниченной ответственностью «Агентство морского права». – 2022. – № 4 (18). – C. 17–20.
- Свирин Г.А., Катин В.Д. Обоснование сжигания мазута в виде водомазутных эмульсий в паровых и водогрейных котлах и анализ схем их приготовления // Научно-техническое и экономическое сотрудничество стран АТР в XXI веке. – 2014. – Т. 1. – С. 262–267.
- Huang H. et al. Effects of pine oil additive and pilot injection strategies on energy distribution, combustion and emissions in a diesel engine at low-load condition // Appl. Energy. – 2019. – Vol. 250. – P. 185–197. DOI: doi.org/10.1016/j.apenergy.2019.05.028.
- Определение и улучшение стабильности судовых высоковязких топлив / Т.Н. Митусова, Н.К. Кондрашева, М.М. Лобашова, М.А. Ершов, В.А. Рудко, М.А. Титаренко // Химия и технология топлив и масел. – 2017. – № 6. – С. 22–24.
- Сжигание в энергетических котлах и промышленных печах водомазутной эмульсии с присадкой СНПХ-9777 / А.Ф. Шагеев, М.Ф. Шагеев, Т.Н. Юсупова, Г.В. Романов, Е.С. Охотникова // Известия высших учебных заведений. Проблемы энергетики. – 2009. – № 3–4. – С. 21–26.
- Copper catalysis for particulate removal from diesel exhaust gas. Copper fuel additives in combination with copper coatings / J.P.A. Neeft, N. Kruse, A. Frennet, J.-M. Bastin // Studies in surface science and catalysis. – 1998. – Vol. 116. – P. 655–666. DOI: doi.org/10.1016/S0167-2991(98)80921-X
- Щестаков Я.К., Садов А.А. Катализатор горения топлива: определение, применение и эффективность // Молодежь и наука Учредители Уральский государственный аграрный университет. – 2021. – № 10. – С. 45–46.
- Монашков В.В., Клюй В.В., Потапова Ю.С. Оценка параметров взрывоопасности технологии получения присадки к топливному мазуту // Проблемы управления рисками в техносфере. – 2020. – № 4. – С. 105–108.
- Киселёв И.И., Грибков А.М. Улучшение качества мазута с помощью присадок // Приборостроение и автоматизированный электропривод в топливно-энергетическом комплексе и жилищно-коммунальном хозяйстве. – Казань: Казанский государственный энергетический университет, 2022. – С. 307–310.
- Изучение влияния депрессорных присадок на нефть и продукты ее переработки / А.Я. Дугиева, Б.А. Гайтукаева, И.А. Аушева, Р.Д. Арчакова, З.Х. Султыгова // Технологии нефти и газа. Общество с ограниченной ответственностью ТУМА ГРУПП. – 2014. – № 4. – С. 12–14.
- Патров Ф.В., Вахромеев О.С. Использование водотопливной эмульсии при эксплуатации судовых ДВС // Вестник Астраханского государственного технического университета. Серия Морская техника и технология. – 2009. – № 1. – С. 223–225.
- Забродин А.Г., Алибеков С.Я., Забродина Н.А. Исследование характеристик топочного мазута марки М100 // Экология и промышленность России. Общество с ограниченной ответственностью Калвис. – 2014. – № 2. – С. 54–55.
- Physicochemical properties of water-residual-fuel-oil emulsions / Z.A. Antonova, Yu.V. Maksimuk, V.S. Kruk, V.N. Kursevich, V.V. Fes’ko // Chem. Technol. Fuels Oils. – 2016. – Vol. 51. – № 6. – P. 719–727.
- Ведрученко В.Р., Крайнов В.В., Флек Е.С. Оптимизация подготовки тяжелого жидкого топлива к сжиганию в топках котельных и других топливосжигающих установок // Омский научный вестник. – 2015. – № 2 (140). – С. 144–147.
- Shlegel N.E., Strizhak P.A. Regime maps of collisions of fuel oil/water emulsion droplets with solid heated surface // Fuel. – 2023. – Vol. 342. – P. 127734.
- Klimenko A., Shlegel N.E., Strizhak P.A. Breakup of colliding droplets and particles produced by heavy fuel oil pyrolysis // Energy. – 2023. – Vol. 283. – P. 128480.
- Молдобаев М.Б., Самбаева Д.А., Маймеков З.К. Снижение концентрации сажи в газовой фазе на основе использования водотопливных эмульсий в котлоагрегатах типа КЕв-4-14 // Инженер научное и периодическое издание Инженерной академии Кыргызской Республики. Инженерная академия Кыргызской Республики. – 2015. – № 9. – C. 354–358.
- Дементиенко О.А., Кузнецов М.Г., Панков А.О. Исследование процесса приготовления жидких топливных эмульсий в конических измельчителях // Вестник Казанского государственного аграрного университета. – 2012. – № 4 (7). – С. 71–74.
- Composition of a gas and ash mixture formed during the pyrolysis and combustion of coal-water slurries containing petrochemicals / V.V. Dorokhov, G.V. Kuznetsov, G.S. Nyashina, P.A. Strizhak // Environ. Pollut. – 2021. – Vol. 285. – P. 117390. DOI: doi.org/10.1016/j.envpol.2021.117390.
- Vershinina K.Y., Shlegel N.E., Strizhak P.A. Promising components of waste-derived slurry fuels // J. Energy Inst. – 2020. – Vol. 93. – № 5. – P. 2044–2054.
- Ignition of promising coal-water slurry containing petrochemicals: analysis of key aspects / D.O. Glushkov, S.V. Syrodoy, A.V. Zhakharevich, P.A. Strizhak // Fuel Process. Technol. – 2016. – Vol. 148. – P. 224–235.
- Shlegel N.E., Tkachenko P.P., Strizhak P.A. Influence of viscosity, surface and interfacial tensions on the liquid droplet collisions // Chem. Eng. Sci. – 2020. – Vol. 220. – P. 115639.
- Prelec Z., Mrakovčić T., Dragičević V. Performance study of fuel oil additives in real power plant operating conditions // Fuel Process. Technol. – 2013. – Vol. 110. – P. 176–183.
- Зройчиков Н.А., Лысков М.Г.,. Прохоров В.Б, Галас И.В. Сжигание водомазутной эмульсии в паровых котлах ТЭЦ-23 ОАО Мосэнерго в сочетании с режимными и технологическими мероприятиями // Современные природоохранные технологии в электроэнергетике. – М.: ИД МЭИ, 2007. – C. 192–196.
- Anthropogenic emissions in the combustion of liquid biofuel droplets / D.V. Antonov, V.V. Dorohov, G.S. Nyashina, D.S. Romanov / Coke Chem. – 2022. – Vol. 65. – № 4. – P. 137–143.
Дополнительные файлы











