Совершенствование технологий утилизации отходов нефтепродуктов
- Авторы: Кулагина Т.А.1, Дубровская О.Г.1, Зайцева Е.Н.1, Крылышкин Р.Н.1
-
Учреждения:
- Сибирский федеральный университет
- Выпуск: Том 335, № 6 (2024)
- Страницы: 46-54
- Раздел: Статьи
- URL: https://journal-vniispk.ru/2500-1019/article/view/263543
- DOI: https://doi.org/10.18799/24131830/2024/6/4607
- ID: 263543
Цитировать
Полный текст
Аннотация
Актуальность. В настоящее время особое значение приобретает рациональное и экономное использование нефтепродуктов. Это относится, в том числе, и ко всем известным видам масел. Отработанные масла, попадающие в окружающую природную среду, лишь частично обезвреживаются в результате естественных процессов. Большая их часть является источником загрязнения почв, водных объектов и атмосферного воздуха, приводя к нарушению воспроизводства птиц, рыб, млекопитающих, оказывая вредное воздействие на человека. Таким образом, повсеместная проблема сбора и утилизации отработанных нефтепродуктов является актуальной, рентабельной и наукоемкой областью, так как при правильной организации процесса регенерации стоимость восстановленных масел на 40–70 % ниже стоимости свежих масел при практически одинаковом их качестве.
Цель. Цель работы заключается в совершенствовании технологии утилизации отработанных нефтепродуктов в условиях северных территорий для достижения эко- и энергоэффективности. Отработанные масла после этапа регенерации могут использоваться по прямому назначению – возвращаться в системы смазки оборудования, это до 70–80 % от исходного количества образующегося отработанного масла. Оставшееся, «невосстановленное», в количестве 20–30 % – сжигаться в виде водотопливной смеси на предприятиях, оборудованных котлами на жидком топливе. Имеющихся в литературных источниках сведений недостаточно для создания эффективной системы утилизации отработанных масел и других нефтепродуктов особенно в условиях циркумполярных территорий. Требуется дифференцированный подход к проблеме с учетом особенностей климата, удаленности арктических территорий от транспортных инфраструктур с обязательным соблюдением регламентов защиты окружающей среды.
Методы. Кавитационная технология (эффекты кавитации) и метод глубоко обучения LSTM (Long Short-Term Memory) для обработки отходов углеводородов на примере индустриального масла W30 и, соответственно, моделирование миграции поллютантов от промышленных объектов в открытых природных водных источниках.
Результаты и выводы. Полученные результаты говорят о том, что комплексное использование сырья – это результат наиболее полного, экономически и экологически оправданного использования всех полезных компонентов, содержащихся в сырье, а также в отходах производства. Любые углеводородные отходы можно рассматривать в качестве вторичных материальных ресурсов, которые допустимо использовать в хозяйственных целях, частично или полностью замещая традиционные виды материально-сырьевых и топливно-энергетических ресурсов, главной ценностью которых является их постоянная воспроизводимость в производственном секторе.
Полный текст
Введение
Ежегодно в России потребляется порядка 1,85 млн т масел, при этом собирается всего около 500 тыс. Согласно действующему Временному положению об организации сбора и рационального использования отработанных нефтепродуктов величина среднего показателя норматива сбора по отработанным маслам составляет 0,5. То есть от годового количества потребления сбор должен составлять 925 тыс. т отработанного масла. Существующие в стране легальные мощности по утилизации [1] готовы ежегодно перерабатывать около 100 т, а значит, не учтенными остаются порядка 400 т нефтепродуктов.
Отработанные нефтяные масла и смазочные материалы, не вовлеченные в процесс утилизации [2], попадают в незаконный оборот топливных продуктов, которые, являясь преимущественно отходами 3-го класса опасности, сжигаются, загрязняя окружающую среду бесконтрольными выбросами опасных продуктов горения [3].
По данным источника [4] более благополучные ситуации с отработанными нефтепродуктами складываются:
в европейской части страны (Вологодская, Курская, Смоленская, Саратовская области, республика Коми, республика Татарстан и пр.), где осуществляется сбор и накопление масел;
Красноярском и Краснодарском крае, Волгоградской, Иркутской, Томской, Новосибирской и Амурской областях – сбор и утилизация.
В республике Удмуртия, Омской области, Алтайском и Приморском крае ведутся поиск и переговоры с потенциальными партнерами переработчиками.
Количественные показатели сбора отработанных масел от объемов потребляемого исходного смазочного материала по субъектам РФ складываются так (%):
Центральный – 150,8;
Приволжский – 108,8;
Уральский – 102,1;
Сибирский – 70,4;
Северо-западный – 58,5;
Южный – 56,3;
Дальневосточный – 29,1.
Ту же величину сбора, но относительно сфер образования отработанных масел можно представить так (%):
промышленность – 290,6;
физические лица – 68,5;
строительство – 47,8;
автомобильный транспорт – 37,3;
сельское хозяйство – 35,1;
армия – 13,1;
ж/д транспорт – 8,8;
флот – 5,4;
авиация – 4,4;
прочее – 65,3;
Экологически безопасное использование отработанных смазочных материалов предполагает их переработку с получением товарных продуктов самого различного назначения (топлив, масел, пластичных смазок, СОТС, консервационных материалов и др.) [5]. Современное состояние вопроса безопасной утилизации сталкивается с трудностями и в теории, и на практике [6].
Восстановленное топливо не уступает качеству первично изготовленного, в отработанном масле доля содержания ценных углеводородов достаточно высока [7]. Из отработок удаляются механические примеси, продукты окисления, а глубина очистки дает максимальный выход базового масла [8].
Оптимальный метод утилизации должен сочетать в себе следующие характеристики:
высокое качество очистки;
экономичность технологии;
возможность переработки максимального объема отработанного масла;
минимально возможная продолжительность процесса;
максимальная автоматизация производственных операций;
безопасность для человека и окружающей среды;
получение вторичного сырья, востребованного на рынке [9].
Отработанные масла после этапа регенерации могут использоваться по прямому назначению – возвращаться в системы смазки оборудования, это до 75–80 % от исходного количества образующегося отработанного масла, оставшееся, «невосстановленное», в количестве 20–25 % – сжигаться в виде водотопливной смеси на предприятиях, оборудованных котлами на жидком топливе. Действующие требования Росприроднадзора по прекращению бесцельного сжигания отработанных масел ставят задачу получения из отработанных индустриальных масел двух видов товарного продукта: исходного масла и топлива.
Специфические свойства водотопливной смеси определяются свойствами составляющих системы жидкость–жидкость [10]. Углеводородсодержащие отходы [11] характеризуются повышенной вязкостью, наличием крупных и абразивных частиц дисперсной фазы, склонной к образованию осадков [12], и рядом других отклонений от стандартных топлив, препятствующих использованию этих топлив вместо топливного мазута без специальной обработки [13].
Кавитационная обработка [14], способствующая активации жидких сред [15], изменяющая свойства и интенсифицирующая химико-технологические процессы, может применяться как непосредственно к отработанным индустриальным маслам с целью улучшения их физико-химических характеристик [16] и к водотопливным смесям для создания устойчивых эмульсий [17], так и к воде, изменяя ее физико-химическое состояние.
Целью работы было оценить влияние кавитационного воздействия на свойства отработанных индустриальных масел и их возможный возврат в хозяйственную деятельность предприятий, а также воды и её структурных изменений до и после заморозки для эффективного использования при создании водотопливных эмульсий для сжигания в малых котельных районов Крайнего севера.
Материалы и методы
В эксперименте исследовалась активированная вода до и после замораживания, а также три пробы индустриального масла W30:
исходное матричное масло – проба № 1;
отработанное масло – проба № 2;
отработанное масло после кавитационного воздействия – пробы № 3а и 3б.
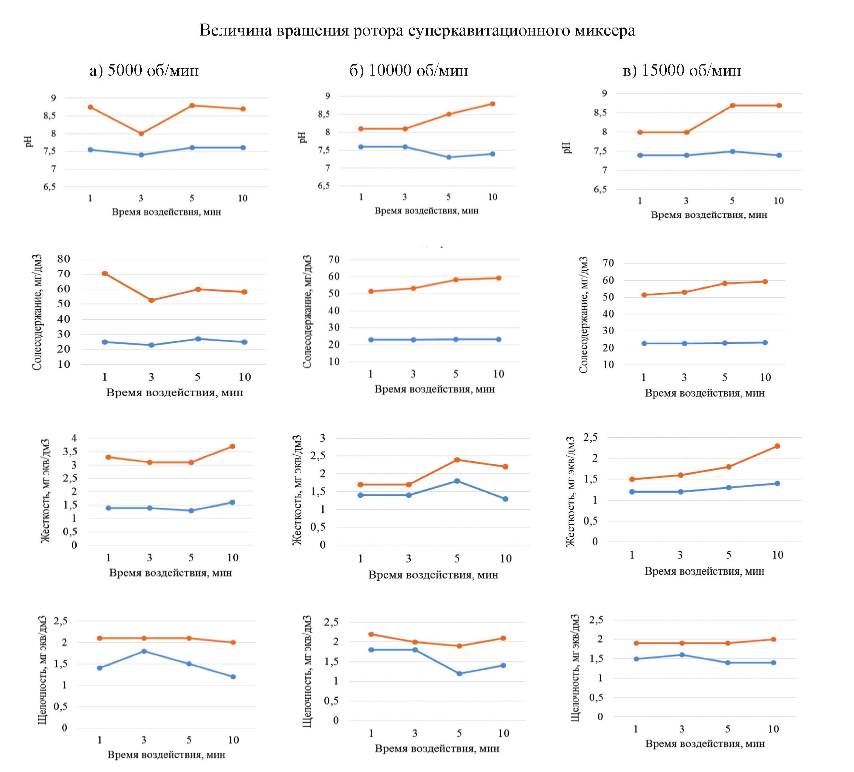
Двенадцать проб воды, каждая по 500 мл, подверглись кавитационной обработке: время обработки 1, 3, 5 и 10 мин, скорость вращения кавитатора в каждом случае составляло 5, 10 и 15 тыс. оборотов в мин. Следом за каждым воздействием проба анализировалась по величине водородного показателя рН, удельной электропроводности (УЭП), температуре. После поочередной разморозки у исследуемых образцов измерялись следующие параметры:
для воды – водородный показатель рН, УЭП, солесодержание, жесткость, щелочность и температура;
для отработанного масла – водородный показатель, вязкость и коэффициент фильтрации.
Исследования проводились с использованием следующего оборудования: термометр лабораторный ТЛ-4, рН-метр/ионометр ИТАН, кондуктометр МАРК 603, вискозиметр ВПЖТ-1, фильтрационный аппарат УОФТ, морозильная камера Бирюса. Для определения жесткости воды использовались МУ 08-47/234, щелочности МУ 08-47/232. Кавитационная обработка выполнялась на установках двух типов: ультразвуковом генераторе и суперкавитационном миксере марка Silverston 5L.
Работа с отработанным маслом проводилась в два этапа:
1) для исходного и отработанного масла были определены параметры вязкости, значение рН и коэффициенты фильтрации;
2) отработанное масло, представленное пробой № 2, подвергли кавитационной обработке двумя способами: ультразвуковой, мощностью 400 Гц, и в суперкавитационном миксере при числе оборотов ротора 7600 об/мин, с последующим определением заявленных ранее физико-химических характеристик. Время обработки составило, соответственно: 5, 7, 10 и 15 мин.
Результаты исследования и их обсуждение
Значения показателей и анализируемых данных по активированной воде представлены в табл. 1. Графическую зависимость полученных числовых значений параметров активированной воды после заморозки можно увидеть на рис. 1.
Таблица 1. Результаты измерений
Table 1. Measurement results
№ пробы Sample no. | Обороты, тыс./мин Turnovers, ths/min | Время, мин. Time, min. | рН | УЭП (МАРК 603) UEP (MARK 603) | t, °С | № пробы Sample no. | Обороты, тыс./мин Turnovers, ths/min | Время, мин. Time, min. | рН | УЭП (МАРК 603) UEP (MARK 603) | t, °С |
1 | 15 | 1 | 8,7 | 114 | 30,5 | 7 | 15 | 5 | 9,4 | 116 | 27,5 |
2 | 10 | 1 | 8,1 | 121 | 24 | 8 | 10 | 5 | 9,4 | 125 | 25 |
3 | 5 | 1 | 8,2 | 131 | 22,5 | 9 | 5 | 5 | 8,7 | 128 | 24 |
4 | 15 | 3 | 9,1 | 134 | 29 | 10 | 15 | 10 | 10 | 152 | 28 |
5 | 10 | 3 | 9,3 | 130 | 24,5 | 11 | 10 | 10 | 10,2 | 129 | 25 |
6 | 5 | 3 | 9,3 | 111 | 23 | 12 | 5 | 10 | 9,3 | 133 | 24 |
солесодержание – менее 1 гр/дм3 щелочность – не менее 0,5 мг-экв/дм3 жесткость – 0–4 мг-экв/дм3 | salt content – less than 1 g/dm3 alkalinity – not less than 0.5 mg-eq/dm3 hardness – 0–4 mg-eq/dm3 | ||||||||||
Рис. 1. Зависимости физико-химических параметров воды от времени кавитационной обработки: – кавитированная вода после разморозки; – кавитированная вода до заморозки
Fig. 1. Dependences of physical and chemical parameters of water on cavitation treatment time: cavitated water after defrost; cavitated water before freezing
При работе любые виды смазочных материалов соприкасаются с металлами, подвергаются воздействию температуры, давления, кислорода воздуха, минеральных примесей и других факторов, под влиянием которых с течением времени происходит изменение свойств масла, называемое старением (табл. 2) [13].
Таблица 2. Характеристика масел марки W30
Table 2. Characteristics of W30 oils
Образец (цветность) Sample (color) | Вязкость, ν (40 °С), мм2/с Viscosity, ν (40°C), mm2/s | Кислотное число, КОН/г Acid number, KOH/g | Температура застывания, °С Solidification temperature, °С | Плотность при 20 °С, кг/м3 Density at 20°C, kg/m3 | Элементарный состав, мас. % Elemental composition, wt % | ||||
С | Н | N | S | О | |||||
А | 1 | 2 | 3 | 4 | 5 | 6 | 7 | 8 | 9 |
Матричное масло (светло-желтое) Matrix oil (light yellow) | 3,0250 | 9 | -15,2 | 865 | 85,9 | 15,7 | 0,10 | 0,20 | 0,10 |
Отработанное масло (темно-коричневое) Used oil (dark brown) | 3,2667 | 12 | -11,9 | 905 | 87,4 | 11,2 | 0,31 | 0,41 | 2,65 |
Кавитационная обработка отработанных индустриальных масел способствовала изменению их физико-химических свойств: вязкости, величины водородного показателя, минерального состава, что подтверждается следующими результатами.
Показатели вязкости заявленных образцов (табл. 3) исходного и отработанного масел были определены по формуле (1) по ГОСТ 33-2016:
(1)
где С – постоянная вискозиметра, мм2/с2; tср – среднеарифметическое значение времени обработки, с.
Таблица 3. Значения вязкости тестируемых образцов
Table 3. Viscosity values of the tested samples
Номер пробы Sample no. | Время обработки, с Processing time, s | Среднеарифметическая величина обработки, с Arithmetic mean value of processing, s | Постоянная вискозиметра, мм2/с2 Viscometer constant, mm2/s2 | Кинематическая вязкость, ν мм2/с при t=23,8 °С Kinematic viscosity, ν mm2/s at t=23,8 °C | Класс вязкости по ISO 3448 Viscosity class to ISO 3448 |
№ 1 | 31,33 | 31,17 | 0,09705 | 3,0250 | 3 (νср=2,88–3,52 мм2/с) (νcr=2.88–3.52 mm2/s) |
31,30 | |||||
30,87 | |||||
№ 2 | 33,79 | 33,66 | 3,2667 | ||
33,34 | |||||
33,86 |
Величина водородного показателя этих же образцов составила:
проба № 1 рН=8,85;
проба № 2 рН=9,71.
Коэффициент фильтрации масла находится по формуле (2) по ГОСТ 19006-73:
(2)
где t1 – время фильтрации первых двух см3 масла; t2 – время фильтрации последних двух см3 масла.
Начальные два см3 масла в первой пробе фильтровались в течение 15,19 с, последние – в течение 62,56 с, т. е. коэффициент фильтрации по формуле (2) равен 4,12. Для второй пробы:
Увеличение коэффициентов фильтрации в отработанном масле более чем в 7 раз свидетельствует о присутствии тяжелых загрязнителей, таких как смолистые вещества, механические примеси и пр.
Далее, отработанное масло пробы № 2 подвергли кавитационной обработке на двух типах установок: ультразвуковой и гидродинамической. Для дальнейшего исследования получили серии проб с результатами в зависимости от типа установки (табл. 4).
Таблица 4. Полученные результаты тестируемых образцов
Table 4. Obtained results of tested samples
Тип кавитационного воздействия Type of cavitation impact | Ультразвуковой Ultrasonic | Суперкавитационный Supercavitation
| ||||||||||||||||||||||
Время, мин Time, min | 5 | 7 | 10 | 15 | 5 | 7 | 10 | 15 | ||||||||||||||||
Время истечения, с Expiration time, s | 43,73 | 44,04 | 44,18 | 48,54 | 47,84 | 48,10 | 48,59 | 48,94 | 49,09 | 49,07 | 48,66 | 48,92 | 46,09 | 47,37 | 47,61 | 48,61 | 47,01 | 48,27 | 49,51 | 47,93 | 49,45 | 49,66 | 48,07 | 49,79 |
tср, с (s) | 43,98 | 48,16 | 48,87 | 48,88 | 47,02 | 47,96 | 48,96 | 49,17 | ||||||||||||||||
С, мм2/с2 mm2/s2 | 0,09705 | |||||||||||||||||||||||
ν, мм2/с (при t=23,8 °С) ν, mm2/s (at t=23,8 оС) | 4,2683 | 4,6730 | 4,7428 | 4,7438 | 4,5633 | 4,6545 | 4,7515 | 4,7719 | ||||||||||||||||
рН | 8,20 | 7,92 | 7,80 | 7,63 | 8,21 | 8,06 | 7,70 | 7,47 | ||||||||||||||||
5 класс вязкости по ISO 3448 (νср=4,14–5,06 мм2/с) Viscosity class 5 according to ISO 3448 (νcp=4.14–5.06 mm2/s) | ||||||||||||||||||||||||
Результаты исследования говорят о том, что процесс кавитации позволяет поднять класс вязкости отработанного масла с 3 до 5 (рис. 2), то есть оно становится гуще, плотнее, а следовательно, увеличиваются максимальные нагрузки, при которых масла сохраняют свои свойства. Графическое сравнение полученных результатов можно увидеть на рис. 2, 3.
Рис. 2. Сравнение показателей вязкости масла – исходного, отработанного и после кавитационного воздействия
Fig. 2. Comparison of oil viscosity indicators – original, used and after cavitation exposure
Рис. 3. Результаты определения величины водородного показателя рН
Fig. 3. Results of determining the pH value
Кроме того, величина водородного показателя проб, подвергшихся кавитации, находится в диапазоне 6–8 (рис. 3), что является оптимальным даже для исходных матричных масел. В отличие от проб № 1, 2, где в первом случае масло содержит присадки, а во втором закислен в процессе эксплуатации оборудования.
Полученные данные и наблюдения за фильтрацией проб № 1, 2 (табл. 3) дают понимание о наличии в отработанном масле осадка, содержащего минеральные примеси, свинец, продукты износа деталей оборудования и т. д. У отработанного масла после кавитационной обработки визуально наблюдается эффект выпадения осадка и присутствия запаха серы уже спустя 10 минут от начала воздействия.
Таким образом, получая повышенный класс вязкости по ISO 3448 восстановленного масла, и с учетом наличия осадка в тестируемом образце [18], было найдено оптимальное соотношение получаемого полезного продукта после кавитационной обработки: 70–80 % идет на повторное использование в хозяйственной деятельности, оставшаяся доля в количестве 20–30 % углеводородного осадка может быть отправлена на сжигание, при обязательном условии создания кавитационно обработанной ВТС с содержанием воды до 10–15 % [19].
Заключение
Эффективность утилизации отработанных масел и других нефтепродуктов в условиях Крайнего Севера может быть достигнута с учетом комплексного подхода за счет использования эффектов гидродинамического воздействия.
Полученные результаты дают право утверждать, что размороженная активированная вода сохраняет свои приобретенные физико-химические свойства. Перевод кавитационно обработанной воды в твердое агрегатное состояние делает возможным ее доставку на удаленные расстояния. Ее естественное замерзание в районах с низкими температурами не будет носить фатального характера, и она может использоваться для создания водотопливных эмульсий на предприятиях, работающих на жидком топливе.
Комплексное потребление ресурсов – это результат наиболее полного, экономически и экологически оправданного использования всех полезных компонентов, содержащихся в сырье, а также в отходах производства [20]. Любые углеводородные отходы можно рассматривать в качестве вторичных материальных ресурсов, которые допустимо использовать в хозяйственных целях, частично или полностью замещая традиционные виды материально-сырьевых и топливно-энергетических ресурсов, главной ценностью которых является их постоянная воспроизводимость в производственном секторе.
Об авторах
Татьяна Анатольевна Кулагина
Сибирский федеральный университет
Автор, ответственный за переписку.
Email: tak.sfu@gmail.com
ORCID iD: 0000-0003-2601-9570
доктор технических наук, профессор, заведующая кафедрой техносферной и экологической безопасности Политехнического института
Россия, 660074, Красноярск, ул. Борисова, 5Ольга Геннадьевна Дубровская
Сибирский федеральный университет
Email: dubrovskayaolga@mail.ru
кандидат технических наук, доцент кафедры инженерных систем зданий и сооружений Инженерно-строительного института
Россия, 660041, Красноярск, пр. Свободный, 82, стр. 1Елена Николаевна Зайцева
Сибирский федеральный университет
Email: Lenap1978@mail.ru
старший преподаватель кафедры техносферной и экологической безопасности Политехнического института
Россия, 660074, Красноярск, ул. Борисова, 5Роман Николаевич Крылышкин
Сибирский федеральный университет
Email: roma@z-gorod.ru
аспирант кафедры техносферной и экологической безопасности Политехнического института
Россия, 660074, Красноярск, ул. Борисова, 5Список литературы
- Крапивский Е.И. Нефтешламы: уничтожение, утилизация, дезактивация: монография. – М.; Вологда: Инфра Инженерия, 2021. – 432 с.
- Технологические аспекты экологически безопасной утилизации отработанных масел / О.П. Филиппова, С.З. Калаева, Э.С. Цховребов, Е.С. Сергеев // Вестник Тверского государственного технического университета. Серия: Строительство. Электротехника и химические технологии. – 2023. – № 4 (20). – С. 91–96.
- Chenavaz R.Y., Dimitrov S. From waste to wealth: policies to promote the circular economy // Journal of Cleaner Production. – 2024. – Vol. 443. – P. 1–11.
- Кулагин В.А., Кулагина Л.В., Штым К.А. Перспективы развития кавитационных технологий: теория и практика // Безопасность и мониторинг природных и техногенных систем. – Новосибирск: ФИЦ ИВТ, 2023. – С. 51–55.
- Крылышкин Р.Н., Гурина Р.В. Энергоэффективность термической утилизации нефтяных остатков // Енисейская теплофизика: Тезисы докладов I Всероссийской научной конференции с международным участием. – Красноярск: СФУ, 2023. – С. 372–373.
- Штриплинг Л.О. Переработка и утилизация нефтешламов и нефтезагрязненных материалов, образующихся в местах добычи, транспортировки и переработки углеводородного сырья: монография / под ред. Н.А. Лившиц. – Новосибирск: Изд-во Сибирского отделения Российской акад. наук, 2013. – 174 с.
- Кулагина Т.А., Гурина Р.В. Высокотемпературное коксование как эффективная переработка нефтяных остатков // Наука, образование, производство в решении экологических проблем (Экология-2022): Материалы XVIII Международной научно-технической конференции. В 2-х т. – Уфа: ФГБОУ ВО УГАТУ, 2022. – С. 131–134.
- Кулагина Т.А., Хаглеев П.Е., Зайцева Е.Н. Обращение с промышленными и особо опасными отходами. – Красноярск: СФУ, 2021. – 512 с.
- Szaja A., Montusiewicz A., Lebiocka M. Challenges of hydrodynamic cavitation of organic wastes // Applied sciences. – Lublin, Poland, 2022. doi: 10.3390/app12157936
- Degradation of pefloxacin by hybrid hydrodynamic cavitation with H2O2 and O3 / B. Wang, H. Jiao, H. Su, T. Wang // Chemosphere. – 2022. doi: 10.1016/j.chemosphere.2022.135299
- Economic and environmental benefits of using cavitation treated fuel in vehicles of internal combustion engines / I. Aftanaziv, M. Malovanyy, L. Shevchuk, O. Strogan, L. Strutynska // Communications – 2022. – Vol. 3 (24). – P. 158–169
- Impact of hydrodynamic cavitation on the properties of coal-water fuel: an experimental study / O.P. Stebeleva, L.V. Kashkina, A.V. Minakov, O.A. Vshivkova // ACS Omega. – 2022. – Vol. 7. – P. 37369–37378.
- Treatment of bio-refractory real effluent from polymer processing industry using cavitation-based hybrid treatment techniques / N.J. Lakshmi, P. Surabhi, P.R. Gogate, A.B. Pandit // Arabian Journal for Science and Engineering. – 2023. – Vol. 12. – P. 1–20.
- Effects of hybrid nanoparticle additives in n-butanol/waste plastic oil/diesel blends on combustion, particulate and gaseous emissions from diesel engine evaluated with entropy-weighted PROMETHEE II and TOPSIS: environmental and health risks of plastic waste / A.A. Yusuf, J.D. Ampah, M.E.M. Soudagar, I. Veza, U. Kingsley, S. Afrane, C. Jin, H. Liu // Energy Conversion and Management. – 2022. doi: 10.1016/j.enconman.2022.115758
- Современное состояние использования кавитационных технологий (краткий обзор) / А.Ю. Радзюк, Е.Б. Истягина, Л.В. Кулагина, А.В. Жуйков // Известия Томского политехнического университета. Инжиниринг георесурсов. – 2022. – Т. 333. – № 9. – С. 209–218. doi: 10.18799/24131830/2022/9/3623
- Ekaterinchev A.V., Baranova M.P. Significance of physical and chemical processes in energy technologies // 21 century: fundamental science and technology. Proceedings of XXX international scientific-practical conference. – Bengaluru, Karnataka, India, 2022. – P. 88–91.
- Insight into the sludge reduction performances by hydrodynamic cavitation / Y. Yao, Y. Sun, X. Wang, Y. Song, Z. Wang // Journal of Water Process Engineering. – 2022. – Vol. 49 – P. 1–8.
- Гульков А.Н., Сухова Т.Н., Осипова Е.Б. Модельное исследование кавитации в вязких средах на примере нефти // Горный информационно-аналитический бюллетень (научно-технический журнал). – 2013. – № S3. – С. 46–52.
- Кулагина Т.А. Разработка режимов сжигания обводненных топочных мазутов и водотопливных эмульсий: дис. … канд. техн. наук. – Красноярск, 2000. – 178 с.
- Гурина Р.В. Утилизация накопленных и образующихся отходов нефтяной промышленности // Экология и безопасность жизнедеятельности: Сборник статей XVIII Международной научно-практической конференции. – Пенза: ФГБОУ ВО Пензенский ГАУ, 2018. – С. 127–131.
Дополнительные файлы






