Fragmentation of water-coal fuel droplets in the air flow
- 作者: Syrodoy S.V.1, Zamaltdinov R.R.1, Poznakharev A.S.1, Akimov V.S.1
-
隶属关系:
- National Research Tomsk Polytechnic University
- 期: 卷 335, 编号 7 (2024)
- 页面: 7-19
- 栏目: Articles
- URL: https://journal-vniispk.ru/2500-1019/article/view/267620
- DOI: https://doi.org/10.18799/24131830/2024/7/4615
- ID: 267620
如何引用文章
全文:
详细
Relevance. An analysis of the current state of the global energy agenda shows that the problem of anthropogenic impact on the planet’s atmosphere by thermal energy facilities is one of the most important for humanity. At the same time, the growth in electricity consumption stimulates the introduction of ever new power generating capacities. For a long time, it was believed that the solution to this problem was the large-scale introduction of non-traditional renewable energy sources (wind generators and solar panels) into the overall balance of electricity generation. However, it is now becoming obvious that renewable energy sources cannot fully cover all electricity needs. The latter creates incentives for the commissioning of new thermal power plants, usually operating on coal fuel. But the main problem of coal energy – its anthropogenic impact – still remains unresolved. This situation creates the prerequisites for the development of new “clean” coal technologies with a full cycle of sequestration of combustion products. One of the most promising technologies for burning coal with low emissions is coal combustion in the composition of coal-water fuel. However, coal-water fuel technology has a number of disadvantages. One of the most significant is the high ignition delays of typical (with a characteristic size of 3–5 mm) droplets of coal-water fuel. One of the most promising methods for solving this problem is spraying coal-water fuel in an ultra-fine state (with a characteristic droplet size of 0.1–1 mm). Aim. Experimental study of the conditions and characteristics of crushing droplets of coal-water fuel in a high-speed air flow. Object. Coal-water fuel prepared on the basis of lean coal. Method. Special experimental stand to establish the main characteristics and conditions of dispersion of coal-water fuel droplets. Results. The results of experimental studies show that for stable fragmentation of typical droplets of coal-water fuel, the speed of the latter (during the spraying process) must be at least 40 m/s.
全文:
Введение
Перспективность внедрения водоугольного топлива (ВУТ) в общий баланс тепло- и электрогенерации обоснована уже достаточно давно (например, [1–3]). Показано (по результатам экспериментальных [4–6] и теоретических [7–9] исследований), что при сжигании ВУТ образуется значительно меньше оксидов серы и азота. Также, по результатам теоретических исследований [10], установлено, что эффективность передачи теплоты от топочной среды к внутритрубному теплоносителю при сжигании ВУТ выше по сравнению с процессами горения однородного угля. Но при всех преимуществах водоугольных технологий они имеют ряд значимых недостатков. Самым существенным из таковых считаются высокие задержки зажигания (до 15 секунд) типичных капель ВУТ [11, 12]. По результатам проведенных ранее экспериментальных исследований [13] установлено, что при распылении ВУТ образуются капли преимущественно с характерным размером от 1 до 3 мм. Задержки зажигания таких относительно крупных капель (даже при достаточно высоких температурах внешней среды Tg≥1273 K) составляют от 5 до 15 секунд (в зависимости от марки угля). На настоящее время разработаны [14] и продолжают разрабатываться [15] системы распыления ВУТ, позволяющие формировать мелкодисперсный (с характерным размером капель от 0,05 до 1 мм) поток капель ВУТ. Однако надежность таких систем не высока вследствие высокого эрозийного износа форсуночных аппаратов. Например, в [16] показано, что ресурс работы водоугольных форсунок котельных агрегатов Новосибирской ТЭЦ-5 не превышал 40 часов. Также можно отметить работу сотрудников института теплофизики СО РАН [17], в которой приведены экспериментальные данные о процессах распыления ВУТ пневматической форсункой в крупномасштабном энергетическом стенде (с тепловой мощностью 5 МВт).
Также можно отметить статью [18], в которой приведены результаты экспериментальных исследований процессов квазитеплового распыления ВУТ. Показано, что в результате распыления формируются капли ВУТ с характерным размером 100–200 мкм. Однако стоит сказать, что в [18] не указана длительность работы форсуночного устройства. Также в [18] не приведены значения характерных чисел Вебера капель ВУТ, формирующихся при распыле топлива. Аналогичные [18] результаты приведены в [19]. Надо сказать, что в [16–18] приведены результаты экспериментальных исследований процессов распыления ВУТ в условиях, когда продолжительности непрерывной работы ограничена 10 минутами. В реальной практике обеспечение такого ультратонкого распыления при долговременной (около года) непрерывной работе форсуночного аппарата пока невозможно. Последнее обусловлено существенным эрозийным износом соплового аппарата форсуночных устройств (среднее время работы форсунки не превышает 120 часов [20]). При этом необходимо отметить, что в работе [20] приведены экспериментальные данные для форсунки, выполненной из высокопрочной керамики (Al2O3/(W,Ti)). Вместе с тем, например, в статье [17] приведены результаты экспериментальных исследований процессов распыления ВУТ форсункой, выполненной из легированной стали аустенитного класса 12X18H10T, по которой на настоящее время нет точных данных о рабочем ресурсе (предельное время работы) форсуночных устройств, распыляющих высококонцентрированные (с долей угольной компоненты φ≥0,5) водоугольные суспензии. В такой ситуации неопределенности с ресурсом работы форсунок, выполненных из разных материалов, значимость экспериментальных данных о процессах распыления ВУТ приобретает еще большую актуальность. В этих условиях имеет смысл разработка новых технологий, позволяющих проводить бесконтактное (с поверхностью горелочного устройства) дробление относительно крупных капель ВУТ в потоке окислителя.
Но в настоящее время не создано технологий устойчивого аэродинамического дробления капель ВУТ (можно выделить лишь несколько примеров надежной эксплуатации водоугольных форсунок, например [21, 22]). Для разработки такой технологии необходимо знать характеристики и условия процесса дробления капли водоугольного топлива в потоке окислителя. Можно отметить ряд исследований [23–26]. Например, в [23] приведены результаты математического моделирования динамики трансформации капель водоугольной суспензии (ВУС) в потоке воздуха. Установлено, что на изменение формы капель существенное влияние, как и следовало ожидать, оказывают реологические характеристики. При численном моделировании [23] применяется метод, включающий моделирование больших вихрей (Large Eddy Simulation – LES), и сглаженный объем жидкости (Volume of fluid – VOF), которые использовались с динамической адаптивной сеткой. По результатам численного моделирования установлена «эффективная» вязкость, позволяющая описывать дробление капель ВУТ по аналогии с ньютоновской жидкостью.
Также можно отметить работу [24], в которой представлены результаты компьютерного моделирования процесса распада капель органо-водоугольного топлива. Использовался метод VOF в сочетании с динамической адаптацией пространственной сетки. Установлены режимы разрушения капель в зависимости от числа Вебера. Также исследована структура течения воздуха в области аэродинамической тени капель.
В статье [25] приведены результаты математического моделирования процессов диспергирования капель гелеобразного керосинового топлива в потоке воздуха. При этом использовался метод VOF. По результатам численного моделирования установлены типичные формы деформирующихся в потоке капель топлива. Показано, что на формы капель определяющее влияние оказывает спектр вихрей, формирующихся в аэродинамическом следе капли.
Также можно отметить статью [26], в которой приведены результаты экспериментальных исследований процессов разрушения струи ВУТ, истекающей из форсунки. При этом дробление струи осуществлялось в результате воздействия высокоскоростной струи воздуха, ориентированной в том же направлении, в котором распыляется топливо. В статье [27] приведены результаты экспериментальных исследований процессов дробления капель ВУТ высокоскоростным потоком воздуха, который подавался в направлении, перпендикулярном направлению движения капли. Выделены режимы дробления топливных капель. Но такой способ аэродинамического дробления в реальной практике трудно применим. Также стоит сказать, что достаточно сложно определить критические числа Вебера вследствие больших погрешностей в определении скоростей движения капли. При этом критические значения чисел Вебера являются важнейшей характеристикой, позволяющей определить условия процесса дробления капель топлива и, соответственно, конструкцию форсуночных устройств. Также надо отметить, что ранее не проводился анализ влияния концентрации топливной компоненты (угля) на характеристики и условия дробления капель ВУТ.
Цель данной работы – установление критических значений числа Вебера в потоке воздуха при движении капель ВУТ в одном направлении с потоком воздуха при варьировании фракционного состава топлива.
Методика проведения эксперимента
Методика подготовки топлива
Подготовка ВУТ к экспериментам проводилась в соответствии с методикой [28]. На первом этапе крупнокусковой уголь марки Т (тощий – является одним из распространённых энергетических углей, использующихся в качестве основного топлива на тепловых электрических станциях) дробился в щековой дробилке до характерного размера d=20 мм. Затем угольная крошка загружалась в шаровую мельницу и измельчалась до пылевидного состояния (характерный размер частиц ≈90 мкм). В дальнейшем угольную пыль помещали на вибрационное сито с размером ячейки 90 мкм и просеивали. Фракция, оставшаяся на сите, повторно измельчалась в мельнице. После этого получившуюся угольную пыль смешивали с водой и доводили до гомогенного состояния в гомогенезаторе. С целью установления влияния фракционного состава на характеристики и условия дробления капель ВУТ массовое соотношение в системе уголь/вода варьировалось в достаточно широком диапазоне (от 0/100 до 55/45). В табл. 1 приведены основные характеристики компонентов топливной суспензии. Выбор приведенных выше концентраций угольной компоненты в ВУС обусловлен тем, что у угля Т (согласно данным [29]) в минеральной части содержится до 12 % CaO. Как известно [30], оксид кальция при соединении с водой может формировать прочные сцементированные соединения. По этой причине выбор той или иной концентрации твердой топливной компоненты топлива в ВУТ является сложной задачей, требующей обоснования соответствующего соотношения твердой и жидкой фазы суспензии (по аналогии с задачей о выборе момента останова независимых испытаний [31]). Выбор значений φ (доли угольной компоненты топлива) зависит от индивидуальных свойств угля: гидрофобности/гидрофильности, пористости, состава минеральной и органической частей угля, теплоты сгорания, температуры горения и др.
Таблица 1. Основные характеристики компонентов ВУТ [32, 33]
Table 1. Main characteristics of coal-water fuel (CWF) components [32, 33]
Компонент Component |
|
| Vг, % | Cг, % |
| |
Каменный уголь марки Т Lean coal | 1342 | 0,122 | 962 | 17 | 91 | 25,12·106 |
Вода/Water | 4190 | 0,56 | 1000 | – | – | – |
ВУТ/CWF | 2683 | 0,336 | 981 | – | – | – |
Экспериментальные исследования проводились на стенде, схема которого приведена на рис. 1, a. Основной частью экспериментального стенда является плоское, специально спрофилированное сопло, сечение которого на входном участке составляло 350×40 мм, в выходном участке 40×40 мм. Длина соплового канала L=180 мм. Сопло рассчитывалось в соответствии с методикой, приведенной в [34]. На рис. 1, b приведена схема соплового канала. Противолежащие стенки сопла были выполнены из прочного стекла, с одной стороны которого устанавливался источник монохроматической плоской световой волны. С обратной стороны была установлена высокоскоростная видеокамера (Evercam 1000-32М с объективом Sigma AF 105mm f/2.8 EX DG OS HSM Macro). Сопловой канал через карман Рихтера подключался к центробежному вентилятору ВЦ5. Последний приводился в движение с помощью электродвигателя АДМ80И2У3 мощностью 2,2 кВт.
Капли ВУТ подавались вертикально через шприц, установленный на оси симметрии, в сопловой канал. Шприц был подключен к инфузионному шприцевому насосу Mindray BeneFusion SP3. Массовая скорость подачи суспензии составляла 150 мл/ч. С целью определения скорости потока на выходе из сопла устанавливалась трубка Пито, подключенная к дифференциальному микроманометру ЛТА-4. Скорость потока воздуха рассчитывалась по методике [35]. Капли ВУТ подавались в сопловой аппарат с использованием шприцевого насоса (рис. 1, а). Соответственно, объемный расход ВУТ составляет Gcwf=150 мл/ч. Объемный расход воздуха через сопло составляет Gair=7,3 м3/ч. Характерный размер капель ВУТ в экспериментах составлял 3±0,1 мм (капли, отличавшиеся от заданного размера, в процессе эксперимента отбраковывались).
Рис. 1. Экспериментальный стенд (a) и схема движения капли ВУТ в сопловом аппарате (b): 1 – инфузионный шприцевой насос Mindray BeneFusion SP3; 2 – источник света; 3 – электродвигатель АДМ80И2У3; 4 – центробежный вентилятор ВЦ5; 5 – держатель со шприцом; 6 – персональный компьютер; 7 – высокоскоростная камера Evercam 1000-32М; 8 – сопло Витошинского (ось X, Y – горизонтальная и вертикальная оси)
Fig. 1. Experimental bench (a) and the scheme of CWF droplet motion in the nozzle apparatus (b): 1 – Mindray BeneFusion SP3 infusion syringe pump; 2 – light source, 3 – ADM80I2U3 electric motor; 4 – VC5 centrifugal fan; 5 – holder with syringe; 6 – personal computer; 7 – Evercam 1000-32M high-speed camera; 8 – Vitoshinsky nozzle
Методика проведения экспериментальных исследований
Капля ВУТ сбрасывается вертикально вниз в полость полуоткрытого соплового аппарата. После входа капли в сопло на нее воздействует ускоряющийся поток воздуха. В результате аэродинамического воздействия топливная капля также ускоряется, при этом ее скорость много меньше скорости несущей среды. В результате неравномерного распределения давления, но поверхности капли происходит ее существенная деформация, а при достижении критических условий – разрушение.
Весь комплекс процессов дробления капель ВУТ в высокоскоростном потоке воздуха регистрировался высокоскоростной видеокамерой Evercam Е4 (скорость видеосъемки 3000 кад/сек). С целью установления характеристик и условий диспергирования топливных капель проводились серии экспериментов, состоящих из 25 опытов, в идентичных условиях. Такое относительно большое число опытов обусловлено тем, что на характеристики разрушения топливных капель оказывает существенное влияние большой комплекс факторов второго уровня значимости (флуктуации внутрикапельных и внешних течений жидкости, неравномерное и анизотропное распределение частиц угля в капле, форма последних и др.). Обработка результатов экспериментов проводится в соответствии со статистическими методами [36]. Доверительный интервал при доверительной вероятности P=0,95 составляет 12 %.
С целью установления необходимых условий дробления введено в рассмотрение характеристическое число Вебера, которое показывает отношение сил инерции и поверхностного натяжения:
,
где Vg – скорость воздуха, м/с; Vd – скорость капли в момент дробления, м/с; pg – плотность воздуха, кг/м3; d – диаметр капли, м; – коэффициент поверхностного натяжения, н/м.
Для установления скорости капли в момент времени, предшествующий непосредственному дроблению, разработан специальный алгоритм обработки изображений кадров видеограммы, основанный на теневой методике [37]. Программная реализация алгоритма проведена на языке высокого уровня Matlab с использованием функций Image Processing Toolbox. Скорость воздуха в сечении сопла, соответствующем месту дробления капли, определялась из уравнения неразрывности [38] в приближении неизменности плотности воздуха (ρ=const):
.
Результаты экспериментальных исследований
На рис. 2 приведены типичные кадры процесса эволюции формы (до начала дробления) капли воды (столбец a) и водоугольного топлива (столбцы b–j) в высокоскоростном потоке воздуха. Можно отметить, что в рассматриваемых условиях процесс диспергирования капель протекает в режимах существенной трансформации их формы. В начальный момент времени (момент входа капли в сопловой канал) капля имеет форму сферы. В результате аэродинамического воздействия происходит трансформация капли из сферы в эллипсоид (рис. 3). В условиях продолжающегося аэродинамического воздействия происходит переход от эллипсоидальной формы в диск. Затем вследствие роста скорости и, соответственно, касательных и нормальных напряжений происходит трансформация капли дискообразной формы в диск с «шапкой» (рис. 3).
Рис. 2. Типичные кадры процесса диспергирования капель воды (a) и ВУТ (b–j). Соотношение в системе уголь/вода: a – 0/100; b –10/90; c – 20/80; d – 30/70; e – 40/60; f – 50/50; j – 55/45
Fig. 2. Typical frames of dispersion of water droplets (a) and coal-water slurry (b–j). Ratio in the coal/water system: a – 0/100; b –10/90; c – 20/80; d – 30/70; e – 40/60; f – 50/50; j – 55/45
Рис. 3. Коммутативная диаграмма типичных форм капель ВУТ в потоке воздуха
Fig. 3. Commutative diagram of typical shapes of CWF droplets in the air flow
В этом случае разница давлений между наветренной и подветренной стороной становится настолько большой, что силы давления превышают силы вязкости и поверхностного натяжения водоугольной суспензии. В результате происходит разрушение капли. При этом можно отметить, что в основном разрушение происходит в результате срыва пленки с формированием центрального вытянутого ядра по направлению движения. Также анализ кадров показывает, что концентрация угольной компоненты в топливе оказывает существенное влияние на характеристики и условия дробления капель ВУТ (рис. 3). Так, при концентрации угля в пределах динамика дробления капель ВУТ почти идентична дроблению капель воды (рис. 2). При концентрации угольной компоненты дробление капель иное, и для достижения соответствующих условий диспергирования необходимы значительно более высокие скорости обтекания капель. Последнее показывает, что при концентрации угольной компоненты выше 50 % частицы угля начинают играть роль связующего компонента, «консолидирующего» суспензию. Значения характерных временных показателей τi приведены в табл. 2.
Таблица 2. Хронология характерных точек процесса дробления капли
Table 2. Chronology of characteristic points of a droplet fragmentation
Характерные временные точки Typical time points | Обозначения столбцов, соответствуют обозначениям, приведеным на рис. 2 Column designations, correspond to the designations shown in Fig. 2 | ||||||
, с | a | b | c | d | e | f | j |
1 | 0 | 0 | 0 | 0 | 0 | 0 | 0 |
2 | 0,0025 | 0,0025 | 0,0025 | 0,003 | 0,0025 | 0,004 | 0,01 |
3 | 0,005 | 0,005 | 0,005 | 0,0055 | 0,005 | 0,008 | 0,015 |
4 | 0,007 | 0,0065 | 0,0075 | 0,0085 | 0,0075 | 0,0105 | 0,02 |
5 | 0,0095 | 0,0085 | 0,0095 | 0,0125 | 0,01 | 0,013 | 0,025 |
6 | – | 0,012 | 0,0125 | – | 0,013 | 0,0155 | 0,029 |
7 | – | – | – | – | – | 0,018 | 0,034 |
8 | – | – | – | – | – | 0,0205 | – |
9 | – | – | – | – | – | 0,023 | – |
10 | – | – | – | – | – | 0,025 | – |
На рис. 4 приведены зависимости скорости потока (Vg) воздуха, а также капель жидкости (Vdr – до их разрушения) от расстояния, пройдённого по сопловому каналу. Анализа кадров показывает, что при концентрациях угольной компоненты топлива менее 50 % капли ВУТ и воды разрушаются идентично (критические значения относительной скорости движения капель различаются не более чем на 8 %). При этом можно выделить важную закономерность – чем больше концентрация угольной компоненты, тем меньше ускорение () капли в потоке.
Рис. 4. Зависимость скорости воздуха (Vg – зависимость 1) и капель жидкости (Vdr – зависимости 2–7) от расстояния, пройдённого по сопловому тракту до момента дробления, при разной концентрации (φ) угля в суспензии: 1 – воздуха; 2 – капля воды (φ=0); 3 – капля ВУТ (φ=10); 4 – капля ВУТ (φ=20); 5 – капля ВУТ (φ=30); 6 – кап-ля ВУТ (φ=40); 7 – капля ВУТ (φ=50); 8 – капля ВУТ (φ=55)
Fig. 4. Dependence of velocity of air (Vg – dependence 1) and liquid droplets (Vdr – dependences 2–7) on the distance traveled along the nozzle path to the moment of fragmentation, at different concentration (φ) of coal in suspension: 1 – air; 2 – water droplet (φ=0); 3 – CWF droplet (φ=10); 4 – CWF droplet (φ=20); 5 – CWF droplet (φ=30); 6 – CWF droplet (φ=40); 7 – CWF droplet (φ=50); 8 – CWF droplet (φ=55)
Это, вероятнее всего, обусловлено тем, что, как видно на кадрах видеограммы (рис. 2), капли суспензии с малым содержанием угольной компоненты быстро деформируются из сферы в диск. При этом плоскость диска перпендикулярна направлению движения потока воздуха. В этом случае аэродинамическое сопротивление такой капли будет максимально (возникает эффект «паруса»). Последнее приводит к существенному ускорению процесса разрушения капли. В то же время капли ВУТ с высоким содержанием угля значительно больше времени сохраняют форму обтекаемой сферы, что существенно снижает их аэродинамическое сопротивление.
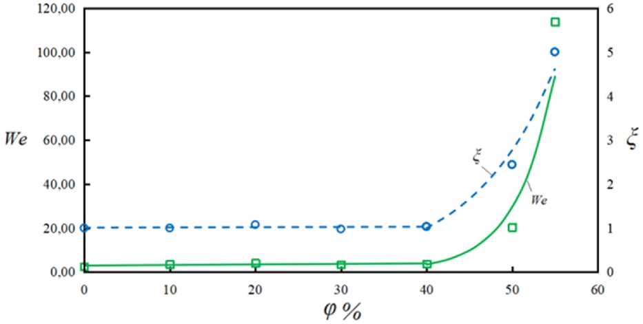
На рис. 5 приведены зависимости критического числа Вебера (We) и относительной скорости капли в момент разрушения (ξ=|Vg-Vd |⁄ ; где Vg, Vd – скорости воздуха и капли в зоне ее разрушения, – скорость воздуха на входе в сопловой аппарат, =7 м/с) от концентрации угольной компоненты в топливе. Можно отметить, что зависимости We(φ) и имеют характер типа «хоккейная клюшка». Последнее обусловлено тем, что, как уже указывалось выше, при переходе через значения φ≥50 % скачкообразно меняются характеристики дробления капель ВУТ. Данный эффект обусловлен тем, что в этих условиях частицы угля в суспензии начинают играть роль связующего материала, что приводит к существенному росту сил вязкости и сил поверхностного натяжения и к соответствующему изменению диспергирования капли.
Рис. 5. Зависимость критического числа Вебера и относительной скорости витания капли ξ=|Vg-Vd |⁄ (где Vg, Vd – скорости воздуха и капли в зоне ее разрушения; – скорость воздуха на входе в сопловой аппарат; =7 м/с) от концентрации угольной компоненты в топливной капле
Fig. 5. Dependence of the critical Weber number and relative velocity of the droplet ξ=|Vg-Vd |⁄ (where Vg, Vd – velocities of air and droplet in the zone of its destruction; – air velocity at the nozzle inlet; = 7 m/s) on coal component concentration in the fuel droplet
Надо отметить, что полученные результаты достаточно хорошо коррелируют с известными экспериментальными данными. Так, например, авторами [39] установлены режимы дробления капель воды и воды с твердыми включениями. Показано [39], что при введении в состав капель твердых частиц критическое число Вебера возрастает до значений 12–14, что несколько отличается от полученных экспериментальных результатов (max (We)=100). Последнее обусловлено, по-видимому, тем, что в экспериментах [39] капля подавалась в направлении, перпендикулярном направлению движения основного потока воздуха. В результате дробление происходило не только за счет аэродинамического воздействия, но и вследствие центробежных сил, возникающих при вращении капли, обусловленном эффектом Магнуса.
Сравнительный анализ полученных результатов с известными данными
Полученные по результатам экспериментов данные имеют фундаментальное значение. В настоящее время в мировой научной периодике опубликован ряд статьей с описанием результатов исследования процессов дробления отдельных капель ВУТ в потоке воздуха. Например, в статьях [24, 27, 40] приведены результаты теоретических и экспериментальных исследований процессов дробления капель ВУТ в потоке окислителя (рис. 6). Однако можно отметить, что капли ВУТ в начальный период времени двигались перпендикулярно направлению потока воздуха [24, 27, 40]. В этих условиях при воздействии потока воздуха на каплю в последней формируется момент вращения. В результате капля ВУТ разрушается не только за счет действия сил аэродинамического сопротивления, но также и в результате действия центробежных сил.
Рис. 6. Схема экспериментального стенда (а) и типичные кадры процесса дробления одиночных капель ВУТ (b), приведенные в [24, 27, 40]
Fig. 6. Schematic diagram of the experimental setup (a) and typical shots of the CWF single droplet fragmenation (b) given in [24, 27, 40]
Также можно выделить статью [23], в которой приведены результаты математического моделирования процесса дробления капель в потоке воздуха. Можно отметить, что по результатам компьютерного моделирования [23] в условиях высокоскоростного воздействия потока воздуха процессы дробления на первом этапе выражаются в виде трансформации капли в диск, который вследствие высокой «парусности» как бы надувается, после чего происходит разрыв пленки. В результате разрушения родительской капли формируется полноторий и множество мелких вторичных капель (рис. 7, a). Дальнейшее воздействие приводит к разрыву полнотория. При этом по результатам моделирования установлено, что в период высокоскоростного воздействия потока воздуха на каплю процесс дробления протекает несколько по другому «сценарию». После формирования диска происходит срыв периферийной пленки диска вдоль по потоку воздуха (рис. 7, b). В результате образуется перевернутый «гриб», который разрывается в результате дальнейшего растягивания под действием сил аэродинамического сопротивления.
Рис. 7. Результаты численного моделирования (а – приведенные в [23]) и типичные кадры процесса дробления одиночных капель ВУТ (b – полученные экспериментально, рис. 2)
Fig. 7. Results of numerical simulation (a – given in [23]) and typical frames of CWF single droplet fragmentation (b – obtained experimentally, Fig. 2)
Заключение
По результатам проведенных экспериментов установлено, что стабильное дробление капель водоугольного топлива при умеренных значениях чисел Вебера (менее 40) достигается при концентрации угля φ≤50 %. Увеличение концентрации приводит к экспоненциальному росту критических значений числа Вебера (We>100). В этих условиях для дробления даже относительно крупных капель ВУТ (при характерном размере d=3 мм) скорость витания капли должна составлять не менее 40 м/с (по аналогии с [17]). При этом очевидно, что после дробления начальной крупной капли формируется поток мелких капель ВУТ, для разрушения которых необходимы значительно большие скорости витания (Ug≈100–150 м/с). В этих условиях имеет смысл уменьшать силы поверхностного натяжения ВУТ посредством введения ПАВ в состав топлива и повышения начальной температуры ВУТ.
作者简介
Semen Syrodoy
National Research Tomsk Polytechnic University
编辑信件的主要联系方式.
Email: ssyrodoy@yandex.ru
ORCID iD: 0000-0002-6924-8552
Dr. Sc., Professor
俄罗斯联邦, TomskRoman Zamaltdinov
National Research Tomsk Polytechnic University
Email: rrz3@tpu.ru
ORCID iD: 0009-0003-2802-4856
Postgraduate Student
俄罗斯联邦, TomskAndrey Poznakharev
National Research Tomsk Polytechnic University
Email: asp71@tpu.ru
Engineer
俄罗斯联邦, TomskVladislav Akimov
National Research Tomsk Polytechnic University
Email: vsa19@tpu.ru
Master Student
俄罗斯联邦, Tomsk参考
- Butylkova T.N., Delyagin G.N. Ash and slag from combustion of coal-water slurries. New methods of fuel combustion and issues of combustion theory. Moscow, Nauka Publ., 1969. 58–64 p. (In Russ.)
- Gvozdyakov D.V., Gubin V.E., Larionov K.B., Zenkov A.V. Ignition of water-coal fuel with addition of liquid fraction of rubber pyrolysis residue. Chemical and Oil and Gas Machinery, 2020, vol. 1, pp. 25–28. (In Russ.)
- Valiullin T.R., Vershinina K.Y., Glushkov D.O., Strizhak P.A. Ignition of a drop of composite liquid fuel in a vortex combustion chamber. Modern Problems of Thermophysics and Power Engineering: Materials of the International Conference on Thermal Physics and Power Engineering. Moscow, October 9–11, 2017. pp. 105–106. (In Russ.)
- Dmitrienko M.A., Kosintsev A.G., Nyashina G.S., Lyrshchikov S.Yu. Anthropogenic emissions from combustion of organo-coal fuel compositions based on coals and products of coal and oil refining. Chemical and Oil and Gas Machinery, 2018, no. 1, pp. 41–44. (In Russ.)
- Vershinina K.Y., Nyashina G.S., Shabardin D.P. Combined combustion of industrial waste as part of suspension fuels. Problems of Gas Dynamics and Heat and Mass Transfer in Power Plants. Proc. of the XXII School-Seminar of Young Scientists and Specialists under the guidance of Acad. RAS A.I. Leontiev. Moscow, May 20–24, 2019. Moscow, Printed Salon "Chance" Publ., 2019. pp. 166–169. (In Russ.)
- Murko V.I., Fedyaev V.I., Karpenok V.I. Studies of harmful emissions during combustion of water-coal fuel in heat-generating units of small capacity. Materials of the International Agroecological Forum. St. Petersburg, NWRIMEA, 2013. pp. 245–252. (In Russ.)
- Kuznetsov G.V., Syrodoy S.V., Salomatov V.V., Malyshev D.Y., Kostoreva Z.A., Purin M.V., Yankovsky S.A. Ignition and combustion characteristics of coal-water fuels based on coal & semi-coke. Combustion and Flame, 2022, vol. 246, pp. 112430.
- Kuznetsov G.V., Syrodoy S.V., Purin M.V., Zenkov A.V., Gvozdyakov D.V., Larionov K.B. Justification of the possibility of car tires recycling as part of coal-water composites. Journal of Environmental Chemical Engineering, 2021, vol. 9, pp. 104741.
- Kuznetsov G.V., Syrodoy S.V., Malyshev D.Yu., Gutareva N.Yu., Nigay N.A. Theoretical justification of utilization of forest waste by incineration in a composition of bio-water-coal suspensions. Ignition stage. Applied Thermal Engineering, 2020, vol. 170, pp. 115034.
- Syrodoy S.V., Kuznetsov G.V., Gutareva N.Yu., Salomatov V.V. The efficiency of heat transfer through the ash deposits on the heat exchange surfaces by burning coal and coal-water fuels. Journal of the Energy Institute, 2018, vol. 91, pp. 1091–1101.
- Vershinina K.Yu., Glushkov D.O., Strizhak P.A. Ignition of organo-coal fuels prepared on the basis of coals of different quality. Actual questions of thermophysics and physical hydrogasodynamics. Abstracts of XIV All-Russian Conference of Young Scientists with International Participation. Novosibirsk, November 22–25, 2016. pp. 86–88. (In Russ.)
- Vershinina K.Yu., Glushkov D.O., Strizhak P.A. Characteristics of ignition of droplets of organo-coal fuels based on used and industrial oils. Chemical and Oil and Gas Machinery 2017, vol. 3, pp. 63–69. (In Russ.)
- Zhicun Xue, Yan Gong, Qinghua Guo, Fuchen Wang, Guangsuo Yu. Visualization study on breakup modes of coal water slurry in an impinging entrained-flow gasifier. Fuel, 2019, vol. 244, pp. 40–47.
- Kovalchuk T.N., Gorlov E.G. Effect of cavitation bubbles on atomization of fuel suspensions. Chemistry and nature-saving technologies of coal utilization. Proceedings of the International Scientific Conference. Zvenigorod, February 15–17, 1999. Moscow, MSU Publ., 1999. pp. 62–64. (In Russ.)
- Gvozdyakov D.V., Zenkov A.V., Gubin V.E., Vedyashkin M.V. To the issue of studying the structure of the flow of water-coal fuel in the process of its pneumomechanical pulverization. Bulletin of Yuzhno-Ural State Univ. Energy Series, 2018, no.18, vol. 4, pp. 5–12. (In Russ.)
- Shchinnikov P.A. Integrated research of power units of power plants and power units: a monograph. Novosibirsk, NSTU Publ., 2020. 500 p. (In Russ.)
- Shadrin E.Yu., Anufriev I.S., Butakov E.B., Kopyev E.P., Alekseenko S.V., Maltsev L.I., Sharypov O.V. Coal-water slurry atomization in a new pneumatic nozzle and combustion in a low-power industrial burner. Fuel, 2021, vol. 303, pp. 121182.
- Gvozdyakov D.V., A.V. Zenkova A.V., Lavrinenkoa S.V. Quasi-hot spraying of coal-water slurries with pyrogenetic water. Chemical Engineering Research and Design, 2022, vol. 186, pp. 587–598.
- Senchurova Y.A., Murko V.I., Fedyaev V.I., Dzyuba D.A.Results of research on atomization of water-coal fuel. Materials of VI International Scientific and Practical Conference. Kemerovo, November 15–16, 2005. Kemerovo, Kuzbass State Technical University Publ., 2005. pp. 152–154. (In Russ.)
- Deng J., Ding Z., Yuan D. Erosion wear mechanisms of coal-water-slurry (CWS) ceramic nozzles in industry boilers. Materials Science and Engineering, 2006, vol. 417, pp. 1–7.
- 石橋喜孝, 石炭ガス化複合発電(IGCC)商用設備の 最新運転状況、課題と今後の展, 日本: 日本計画研究所, 2014. Available at: https://www.joban-power.co.jp/category/igcc/unit10/docs/ (accessed 10 March 2024).
- Pontjo Ir., Soedjanto H., Zhou Z. Application of coal water slurry in power generation. Addressing Climate Change. China, 2017.
- Tavangar S., Hashemabadi S.H., Saberimoghadam A. CFD simulation for secondary breakup of coal–water slurry drops using OpenFOAM. Fuel Processing Technology, 2015, vol. 132, pp. 153–163.
- Minakov A.V., Shebeleva A.A., Strizhak P.A., Chernetskiy M.Yu, Volkov R.S. Study of the Weber number impact on secondary breakup of droplets of coal water slurries containing petrochemicals. Fuel, 2019, vol. 254, pp. 115606.
- Essaïdi Z., Lauret P., Heymes F., Aprin L., Slangen P. Aerodynamic fragmentation of water, ethanol and polyethylene glycol droplets investigated by high-speed in-line digital holography. Optical Materials, 2021, vol. 122, pp. 111747.
- Hui Zhao, Hai-Feng Liu, Jian-Liang Xu, Wei-Feng Li, Wei Cheng Breakup and atomization of a round coal water slurry jet by an annular air jet. Chemical Engineering Science, 2012, vol. 78, pp. 63–74.
- Hui Zhao, Hai-Feng Liu, Jian-Liang Xu, Wei-Feng Li. Secondary breakup of coal water slurry drops. Physics of Fluids, 2011, vol. 23, pp. 113101.
- Salomatov V.V., Kuznetsov G.V., Syrodoy S.V., Gutareva N.Yu. Mathematical and physical modeling of the coal–water fuel particle ignition with a liquid film on the surface. Energy Reports, 2020, vol. 6, pp. 628–643.
- Kuznetsov N.V. Thermal calculation of boilers (Normative method). St. Petersburg, SPA CBTI Publ., 1998. 256 p. (In Russ.)
- Richter L.A. Air and gas ducts of thermal power plants. Moscow, Energiya Publ., 1969. 272 p. (In Russ.)
- Huseyn-Zadeh S.M. Selection problem and optimal stopping rule for a sequence of independent tests. Probability theory and its applications, 1966, no. 11, vol. 3, pp. 534–537. (In Russ.)
- Agroskin A.A., Gleibman V.B. Thermophysics of solid fuel. Moscow, Nedra Publ., 1980. 256 p. (In Russ.)
- Lipov Y.M., Samoilov Y.F., Vilensky T.V. Composition and thermal calculation of a steam boiler. Moscow, Energoatomizdat Publ., 1988. 208 p. (In Russ.)
- Deitch M.E. Technical gas dynamics. Moscow, Energiya Publ., 1974. 592 p. (In Russ.)
- Abramovich G.N. Applied gas dynamics. Moscow, Nauka Publ., 1976. 887 p. (In Russ.)
- Schenk H. Theory of engineering experiment. Moscow, Mir Publ., 1972. 381 p. (In Russ.)
- Hiroyuki Kan, Hideya Nakamura, Satoru Watano. Effect of droplet size on particle-particle adhesion of colliding particles through droplet. Powder Technology, 2017, vol. 321, pp. 318–325.
- Kochin N.E., Kibel I.A., Roze N.V. Theoretical hydromechanics. Moscow, SPOTTL Publ., 1955. No. 1, 560 p. (In Russ.)
- Dubrovsky V.V., Podvysotsky A.V., Schreiber A.A. Experimental study of droplet crushing by aerodynamic forces. Industrial heat engineering, 1990, vol. 6, pp. 87–93.
- Qin-Liu Cao, Wen-He Liao, Benveniste Natan, Feng Feng, Wei-Tao Wu. Secondary atomization of non-Newtonian kerosene gel at low Weber numbers: a numerical study. Aerospace Science and Technology, 2022, vol. 120, pp. 107280.
补充文件









