Chemical elements migration in ground waters of mining territory
- Authors: Rybnikova L.S.1, Rybnikov P.A.1, Navolokina V.Y.1
-
Affiliations:
- Institute of Mining of the Ural Branch of the Russian Academy of Sciences
- Issue: Vol 335, No 9 (2024)
- Pages: 137-147
- Section: Articles
- URL: https://journal-vniispk.ru/2500-1019/article/view/268788
- DOI: https://doi.org/10.18799/24131830/2024/9/4465
- ID: 268788
Cite item
Full Text
Abstract
Relevance. The need to study the forms of migration of chemical elements in the groundwater of flooded copper pyrite mines in order to correctly understand and predict their transfer and distribution in hydrogeochemical fields. Ground and surface waters are a complex mixture of substances in which, depending on pH, Eh and t °С, phase transitions are formed with subsequent dissolution or precipitation of minerals. To solve these problems, numerical hydrogeomigration modeling is used, including physicochemical, which allows drawing conclusions about the scale of pollution and the localization of such areas for subsequent development of measures to improve the state of the hydrosphere.
Aim. To determine the forms of me-tal migration in groundwater and to calculate water saturation indices in relation to minerals.
Objects. Groundwater in the territory of the closed Levikha copper pyrite mine.
Methods. Laboratory studies of groundwater were carried out using flame emission spectrometry, flame atomic absorption, photometric method with Nessler's reagent, titrimetric, mercumetric and potentiometric methods; mass spectrometry with ionization in inductively coupled plasma and gravimetric method. Physical and chemical modeling using the software product Visual MINTEQ 3.1.
Results. According to the results of processing chemical analyzes and physical and chemical modeling, all tested wells are divided into groups: 1) wells no. 1, 2, 3 and 6, located within the former mining allotment (near the Levikha XIV mine, a man-made reservoir, the Levikha II mine and a neutralization station); 2) represented by water in wells no. 4 near the shaft of the mine Tsentralnaya and no. 5 near the dump Yuzhny; 3) well no. 7, located near the mouth of the Levikha river. Saturation indices and forms of migration of components in the aquatic environment make it possible to identify the scale of pollution and the localization of such areas. Thus, with the current pumping system, there is no large-scale pollution of groundwater at the Levikha mine. It is localized in the area of the Tsentralny mine shaft (well no. 4) and the Yuzhny dump (well no. 5).
Keywords
Full Text
Введение
Химический состав подземных вод зависит от ряда факторов, таких как: природные условия территории; особенности питания и разгрузки; состав и фильтрационные свойства водовмещающих пород [1–3]. Состав подземных вод формируется в результате взаимодействия породы с водой, твердые фазы (неорганические и органические вещества) являются как источниками, так и поглотителями растворенных компонентов подземных вод [4].
Изучение форм химических элементов в подземных водах разного состава позволяет правильно прогнозировать процессы их переноса и распределения в гидрогеохимических полях. Такой аспект важен при исследовании потоков рассеяния и оценки техногенного воздействия их на гидросферу [5]. Так, при решении вопросов охраны водных объектов немаловажное значение имеет то обстоятельство, что разные миграционные формы одного и того же элемента имеют различную токсичность. Например, катионные формы меди (Cu2+, CuOH+, Сu2(ОН)22+) существенно опаснее ее нейтральных или анионных форм [6]. Также при определении химических элементов в воде необходимо учитывать, что многие методы аналитического определения (особенно колориметрического) разработаны только на их определенные химические состояния, поэтому существуют противоречия между формами определения элементов при химическом анализе подземных вод и их реальным состоянием. Вследствие этого в водах могут обнаруживаться не все элементы что приводит к недостоверности полученных данных. В связи с этим необходимо знать и прогнозировать вероятные состояния элементов в подземных водах [7, 8].
Таким образом, целью работы является определение форм миграции металлов в подземных водах затопленного Левихинского рудника и расчет индексов насыщения воды по отношению к минералам.
Объект исследования
Левихинская группа медноколчеданных месторождений расположена в Свердловской области, в 30 км северо-западнее г. Кировград, на восточной окраине поселка Левиха (рис. 1).
Рис. 1. Обзорная схема расположения объектов на Левихинском руднике
Fig. 1. Overview layout of objects at the Levikha mine
Месторождения открыты в 20-х гг. прошлого века. Эксплуатация проводилась как открытым, так и подземным способом. С 2003 г. началось затопление горных выработок [9]. К 2007 г. на северном фланге рудника в провале глубиной около 20 м (в наиболее низкой точке горного отвода) сформировался техногенный водоем, куда разгружаются минерализованные кислые шахтные воды (КШВ) с расходом порядка 120 м3/ч [10].
Начиная с 2007 г. для предотвращения загрязнения окружающей среды после затопления рудника была организована система сбора КШВ, перекачки из техногенного водоема, их нейтрализация известковым молоком, сброс в пруд-осветлитель. Далее вода самотеком по старому руслу р. Левихи попадает в р. Тагил [10].
В 2003 г. водоотлив был остановлен, депрессионная воронка заполнилась, и к 2007 г. в самой низкой точке горного отвода в провале сформировался техногенный водоем, в который происходит разгрузка кислых (рН=2,7–4,1) минерализованных (до 12 г/л) шахтных вод сульфатного состава с высоким содержанием Fe, Al, Mg, Zn, Cu, Mn. Расход такой разгрузки порядка 120 м3/ч – в 2 раза меньше, чем был водоотлив в период отработки.
Начиная с 2007 г. нейтрализация КШВ возобновилась: из техногенного водоема шахтные воды перекачиваются на станцию нейтрализации и очищенные сточные воды поступают в пруд-осветлитель. Сброс их происходит в р. Левиху, левый приток р. Тагил (Иртышский бассейновый округ).
Методы исследования
Для характеристики состава подземных вод в районе Левихинского медноколчеданного рудника в мае 2021 г. были пробурены наблюдательные скважины глубиной от 30 до 50 м, расположенные в пределах бывшего горного отвода (6 скважин) и ниже сброса с пруда-осветлителя в устье р. Левихи (1 скважина) (рис. 2).
Рис. 2. Схема расположения скважин: 1 – возле ш. «Левиха XIV»; 2 – возле техногенного водоема; 3 – возле ш. «Левиха II»; 4 – возле ствола ш. «Центральная»; 5 – возле отвала «Южный»; 6 – возле станции нейтрализации; 7 – ниже сброса с пруда-осветлителя, в устье р. Левихи
Fig. 2. Well location diagram: 1 – near the mine Levikha XIV; 2 – near the collapse zone; 3 – near the mine Levikha II; 4 – near the shaft of the Tsentralnaya mine; 5 – near the Yuzhny dump; 6 – near the neutralization (treatment) station; 7 – below the discharge from the clarification pond, at the mouth of the river Levikha
Химический состав подземной воды на расширенный перечень компонентов исследовался по результатам посезонного четырехкратного опробования в течение 2021 г. Анализы проводились в сертифицированной лаборатории в химико-аналитическом центре Института промышленной экологии УрО РАН (г. Екатеринбург) с использованием методов пламенно-эмиссионной спектрометрии, пламенно атомно-абсорбционной, масс-спектрометрией с ионизацией в индуктивно связанной плазме. В каждой пробе определено порядка 26 компонентов. На месте измеряли температуру (t °C), окислительно-восстановительный потенциал (Eh, mV), водородный показатель (pH, ед.), общее количество растворенных в воде частиц (TDS, ppm), электропроводность (EC, mS).
Определение миграционных форм компонентов и процессов формирования состава подземных вод проводилось методом численных расчётов с использованием программы равновесного физико-химического моделирования геохимических процессов в системе «вода–порода» Visual MINTEQ 3.1 [11–15].
Для каждого минерала рассчитывается индекс насыщения SI (saturation indices), который определяется как разница между log IAP (ion activity product, произведение ионной активности продуктов реакции) и log Ks (константа растворимости минерала, включенная в термодинамическую базу данных):
.
Индекс насыщения SI представляет информацию о состоянии раствора относительно твердой фазы. При SI<0 раствор является ненасыщенным; при SI=0 раствор находится в равновесии с твердой фазой; при SI>0 раствор пересыщен. Если раствор ненасыщен, прогнозируется растворение соответствующей твердой фазы. При условии, что раствор пересыщен, наиболее вероятной будет реакция осаждения растворенных веществ из раствора [6, 16].
Результаты и обсуждение
Гидрохимическая характеристика подземных вод
Минерализация в подземных водах варьирует от 0,2 до 2,0 г/л (табл. 1). Исключение составляют скважины № 4 возле ствола ш. «Центральная» (минерализация до 13,7 г/л) и № 5 возле отвала «Южный» (минерализация до 35,3 г/л). На высокую минерализацию и ее изменчивость в скважине № 5 влияют кислые подотвальные воды, текущие с отвала «Южный». В свою очередь химический состав подотвальной воды сильно зависит от сезона и осадков за предшествующие дни [17].
Таблица 1. Состав воды в скважинах (даты опробования 26.05.2021–24.09.2021)
Table 1. Composition of water in wells (sampling dates 26.05.2021–24.09.2021)
№ скважин Well no. | Состав воды (формула Курлова) Water composition (Kurlov formula) | Минерализация, г/л Mineralization, g/l | рН | Eh, mV | t, °C |
1 | 0,1–0,2 | 5,1–5,4 | 98–103 | 8,0–9,3 | |
2 | 0,5 | 5,0–5,1 | 111–124 | 7,7–9,0 | |
3 | 0,5 | 6,2–6,4 | 48–58 | 8,0 | |
4 | 10,7–13,7 | 2,9–3,5 | 206–210 | 9,0–11,2 | |
5 | 12,9–35,3 | 2,8–3,2 | 233–237 | 9,0–12,0 | |
6 | 1,9–2,0 | 6,1–6,2 | 58–64 | 7,4–8,4 | |
7 | 0,8–0,9 | 6,7–7,0 | 18–30 | 9,1–8,5 |
Анионный состав подземной воды сульфатный, катионный состав магниево-кальциевый либо железо-алюминиевый. Исключение составляют скважины № 1, 3, 7. В скважинах № 1, 3 вода имеет гидрокарбонатно-хлоридно-сульфатный состав; по катионам вода натриево-кальциево-магниевая и магниево-кальциевая. В скважине № 7 вода имеет гидрокарбонатно-сульфатный состав; по катионам вода магниево-кальциевая. В скважинах № 1, 2, 3, 6 воды слабокислые (рН от 5,0 до 6,4). В скважинах № 4 и 5 воды кислые (рН от 2,8 до 3,5). Фактические величины рН имеют нейтральные значения в скважине № 7 (до 7,0). Воды в скважинах № 2, 4, 5 находятся в окислительной обстановке (значения Еh>+100 мВ), в воде присутствует свободный кислород, элементы мигрируют в высшей форме своей валентности. Воды в остальных скважинах находятся в условиях переходной окислительно-восстановительной обстановки: величины Еh изменяются от 0 до +100 мВ, в условиях неустойчивого геохимического режима, когда протекает как слабое окисление, так и слабое восстановление целого ряда металлов (табл. 1, рис. 2, 3).
Рис. 3. Диаграмма Дурова (%-экв/л)
Fig. 3. Durov diagram (%-eq/L).
Содержания металлов в подземных водах превышают кларки концентраций (КК) [18] на один–пять порядков (рис. 4). Самые существенные превышения КК (в тысячи раз) отмечаются в скважинах № 4 и 5 для Al, As, Be, Cd, Cu, Co, Fe, Mg, Mn, Ni, Zn. В скважине № 2 значения КК снижаются на один–два порядка. В скважинах № 1 и 6 превышения кларков (сотни–десятки раз) обнаружены для Cd, Cu, Co, Mn, Ni и Zn. В скважине № 7 отмечаются превышения по Be, Ca, Co, Mg, Mn и Ni (рис. 4).
Рис. 4. Геохимический спектр элементов в воде опробованных скважин (lg КК)
Fig. 4. Geochemical spectrum of elements in the water of tested wells (lg CC)
Формы миграции элементов и результаты расчетов индексов насыщений
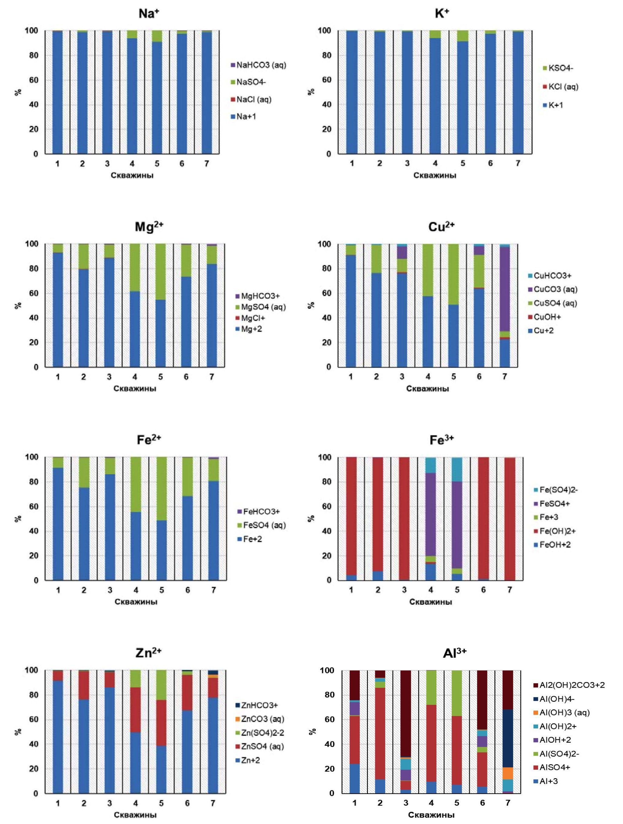
Основные химические формы миграции элементов в подземных водах зависят от их валентности. Так, по данным термодинамических расчетов, однозарядные катионы (натрий и калий) мигрируют преимущественно в виде свободных ионов (в среднем более 95 %) (рис. 5). Двухзарядные катионы (кальций, магний, марганец, цинк) мигрируют в ионно-растворенной форме (более 55 %), реже в форме сульфатных комплексов.
Fe является переходным элементом и, в зависимости от окислительно-восстановительного потенциала, имеет степень окисления 2+ или 3+ [18–20]. Так, Fe2+ находится либо в свободной форме (от 51 до 91 %), либо в комплексе с сульфатами FeSO4+ (до 56 %). Форма миграции Fe3+ определяется кислотностью среды: в слабокислой и нейтральной среде это гидроксидные комплексы (FeOH2+, Fe(OH)2+), в кислой среде это сульфатные комплексы (FeSO4+, FeSO42–).
Al может формировать наибольшее количество разнообразных комплексов, исключение составляют скважины № 4, 5 с кислой водой, в них формы миграции преимущественно в сульфатной группе (рис. 5).
Термодинамические расчеты показали, что подземные воды пересыщены по отношению к различным гидроксидам и сульфатам алюминия, оксид-гидроксидам и оксидам железа, а также к карбонатам (табл. 2).
Рис. 5. Формы миграции элементов
Fig. 5. Forms of element migration
Во всех скважинах воды насыщены по отношению к минералам группы сульфатов. Вода в скважинах № 1, 2, 3, 5, 6 (нейтральная вода) пересыщена по Al4(ОН)10SO4(s) и алуниту. Вода в скважинах № 4, 5 (кислые воды) пересыщена по отношению к ярозиту (табл. 2).
По отношению к минералам группы оксидов воды насыщены в скважинах № 3, 4, 5, 6 и 7. Вода в скважинах № 3, 6, 7 пересыщена по герциниту. В скважинах № 4, 5 воды пересыщены по отношению к гематиту и магнетиту (табл. 2), также кислые воды и вода в скважине № 7 пересыщены по ферриту меди.
Воды практически по всем скважинам показывают насыщение по отношению к минералам группы оксид-гидроксидов. В нейтральных водах отмечается перенасыщение по диаспору (до 3,4). В скважине № 7 перенасыщение также заметно по бемиту (до 1,6). В кислых подземных водах отмечается перенасыщение (до 3,4) по гетиту и (до 3,1) лепидокрокиту (γ-FeO(OH)) (табл. 2).
Индексы насыщения вод по гидроксиду алюминия и гиббситу (гидраргиллиту) находятся в диапазоне от 0,4 до 2,5 (табл. 2).
Индексы насыщения воды по отношению к минералам группы карбонатов самые низкие: в скважине № 7 индекс насыщения по карбонату марганца 0,1 и по родохрозиту 0,6 (табл. 2).
По отношению к минералам группы галогенидов воды насыщены в скважинах № 3, 4, 5, 6 и 7. Наиболее высокая степень перенасыщения отмечается по Fe(OH)2.7Cl3(s) в скважинах № 4 и 5, для которых индексы насыщения достигают 5,4 и 4,9, соответственно (табл. 2).
Таблица 2. Результаты расчета индексов насыщения подземных вод
Table 2. Results of calculation of groundwater saturation indices
Минерал Mineral | Формула Formula | Группа Group | Номера скважин/Well numbers | ||||||
1 | 2 | 3 | 4 | 5 | 6 | 7 | |||
Al(OH)3 (Осадок) Al(OH)3 (Soil) | Al(OH)3 | гидроксиды hydroxide | 0,4 | – | 1,2 | – | – | 0,7 | 1,9 |
Гиббсит (С) | γ-Al(OH)3 | 0,9 | 0,5 | 1,8 | – | – | 1,3 | 2,5 | |
Al4(OH)10SO4(s) | Al4(OH)10SO4 | сульфаты sulfates | 2,6 | 2,1 | 4,5 | – | – | 3,6 | 5,7 |
AlOHSO4(s) | AlOHSO4 | –0,8 | –0,2 | – | 0,9 | 0,9 | – | – | |
Алунит | KAl3 (OH)6(SO4)2 | 1,9 | 2,3 | 2,1 | 0,5 | – | 2,4 | 2,3 | |
Ярозит | KFe3+3(OH)6(SO4)2 | – | – | – | 5,8 | 4,6 | – | – | |
Бёмит | γ-AlO(OH) | оксид-гидроксиды oxide-hydroxides | 0,0 | –0,5 | 0,8 | – | – | 0,3 | 1,6 |
Диаспор | AlO(OH) | 1,8 | 1,4 | 2,7 | – | – | 2,2 | 3,4 | |
Ферригидрит | (Fe3+)2O3·0,5H2O | – | – | – | 0,3 | –0,3 | – | – | |
Гетит | FeO(OH) | – | – | –0,8 | 3,4 | 2,8 | –0,3 | 1,2 | |
Лепидокрокит | γ-FeO(OH) | – | – | –1,0 | 3,1 | 2,6 | –0,5 | 0,9 | |
Гематит | Fe₂O₃ | оксиды oxides | – | – | 0,8 | 9,1 | 7,9 | 1,8 | 4,7 |
Герценит | FeAl₂O₄ | – | – | 1,8 | – | – | 1,3 | 5,0 | |
Магнетит | Fe3O4 | – | – | 1,9 | 7,6 | 6,2 | 3,3 | 7,6 | |
Феррит меди | CuFe2O4 | – | – | – | 4,1 | 2,7 | – | 2,8 | |
Маггемит | γ-Fe₂O₃ | – | – | – | 2,6 | 1,5 | – | – | |
MnCO3 (am) | MnCO3 | карбонаты carbonates | – | – | – | – | – | – | 0,1 |
Pодохрозит | MnCO3 | – | – | – | – | – | –0,9 | 0,6 | |
Fe(OH)2.7Cl3(s) | Fe(OH)2.7Cl3 | галогениды halides | –0,5 | – | 0,7 | 5,4 | 4,9 | 1,1 | 2,1 |
Примечание: «–» индекс насыщения меньше –1/Note: «–» saturation index is less than –1.
Вода в скважинах № 1, 2, 3 и 6 характеризуются идентичными индексами насыщения по минералам групп сульфаты, гидроксиды и карбонаты. Они пересыщены по отношению к Al4(ОН)10SO4(s) (от 2,1 до 4,5), алуниту (от 1,9 до 2,4), диаспору (от 1,4 до 2,7) и гиббситу (от 0,5 до 1,8). Вторая группа – это вода в скважинах № 4 и 5, здесь отмечается пересыщение по отношению к минералам групп оксиды, сульфаты, оксид-гидроксиды и галогениды: гематиту (9,1–7,9), магнетиту (7,6–6,2), ярозиту (5,8–4,6), гетиту (3,4–2,8) и лепидокрокиту (3,1– 2,6). В третьей группе (скважина № 7) наблюдается небольшое перенасыщение по минералам карбонатной группы (MnСО3(am) и родохрозиту), а также по Al4(ОН)10SO4(s) (5,7), гиббситу (2,5) и диаспору (3,4) (табл. 2).
Таким образом, по результатам обработки химических анализов и физико-химического моделирования все опробованные скважины можно разделить на три группы. Первая – скважины № 1, 2, 3 и 6, расположенные в пределах бывшего горного отвода (возле ш. «Левиха XIV», техногенного водоема, ш. «Левиха II» и станции нейтрализации) мало- и слабоминерализованные (до 2 г/л) сульфатные магниево-кальциевые и кальциево-магниевые воды. Фактические величины рН в воде скважин № 1, 2, 3, 6 имеют умереннокислые и слабокислые значения, варьируют от 5,1 (скважина № 2) до 6,2 (скважина № 3), а также характеризуются идентичными индексами насыщения по минералам групп сульфаты, гидроксиды и карбонаты. Они пересыщены по отношению к Al4(ОН)10SO4(s), алуниту, диаспору и гиббситу. Вторая группа представлена водой в скважинах № 4 возле ствола ш. «Центральная» (минерализация 12,2 г/л) и № 5 возле отвала «Южный» (минерализация 24,7 г/л), вскрывшиеся кислые сульфатные магниево-алюминиевые либо железо-алюминиевые воды. Они пересыщены по отношению к минералам групп оксиды, сульфаты, оксид-гидроксиды и галогениды: гематиту, магнетиту, ярозиту, гетиту и лепидокрокиту.
Рис. 6. Индексы насыщения воды по отношению к минералам
Fig. 6. Water saturation indexes with respect to minerals
Третья группа – это вода скважины № 7 с нейтральной средой, расположенная возле устья р. Левихи, слабоминерализованная (до 0,9 г/л) гидрокарбонатно-сульфатная магниево-кальциевая. В воде наблюдается небольшое перенасыщение по минералам карбонатной группы (MnСО3(am) и родохрозиту), а также по Al4(ОН)10SO4(s), гиббситу и диаспору (рис. 6).
Выводы
Подземные воды Левихинского рудника относятся в основном к сульфатным магниево-кальциевым или железо-алюминиевым водам. Несмотря на нейтральные и слабокислые значения рН в опробованных скважинах, содержание тяжелых металлов в них достигает высоких значений, превышающих кларки концентраций на один–пять порядков. Тем не менее для токсичности закомплексованность элементов в воде является важнее, чем общая концентрация. Металлы весьма токсичны в форме свободных ионов, но менее токсичны при тех же концентрациях, когда они представлены в виде комплексов.
Расчеты индексов насыщения относительно минералов выявили, что подземные воды пересыщены по отношению к алуниту и Al4(OH)10SO4. Кислые воды, в отличие от нейтральных и слабокислых, имеют высокие SI по ярозиту, гетиту, ферриту меди (II) и маггемиту.
Полученные результаты обработки химических анализов и моделирования позволили разделить опробованные скважины на группы и выявить масштаб загрязнения и места локализации таких участков на территории Левихинского медноколчеданного рудника.
Благодарности: Работа выполнена при поддержке Государственного задания ИГД УрО РАН № 075-00412-22 ПР. Тема 2 (2022–2024 гг.) «Разработка геоинформационных технологий оценки защищенности горнопромышленных территорий и прогноза развития негативных процессов в недропользовании» (FUWE-2022-0002) г. р. № 1021062010532-7-1.5.1.
Acknowledgements: This work was supported by the State Assignment No. 075-00412-22 PR of the Institute of Mining, Ural Branch, Russian Academy of Sciences. Topic 2 (2022–2024) "Development of geoinformation technologies for assessing the protection of mining areas and forecasting the development of negative processes in subsoil use" (FUWE-2022-0002) No. 1021062010532-7-1.5.1.
About the authors
Liudmila S. Rybnikova
Institute of Mining of the Ural Branch of the Russian Academy of Sciences
Author for correspondence.
Email: userib@mail.ru
ORCID iD: 0000-0002-4221-7879
Dr. Sc., Chief Researcher
Russian Federation, 58, Mamin-Sibiryak street, Ekaterinburg, 620219Petr A. Rybnikov
Institute of Mining of the Ural Branch of the Russian Academy of Sciences
Email: ribnikoff@yandex.ru
ORCID iD: 0000-0002-7829-5035
Cand. Sc., Head of the Laboratory of Geoinformation and Digital Technologies in Subsoil Use
Russian Federation, 58, Mamin-Sibiryak street, Ekaterinburg, 620219Vera Yu. Navolokina
Institute of Mining of the Ural Branch of the Russian Academy of Sciences
Email: vunavolokina@gmail.com
ORCID iD: 0000-0002-1547-9451
Researcher, Institute of Mining
Russian Federation, 58, Mamin-Sibiryak street, Ekaterinburg, 620219References
- Favas P.J.C., Pratas J., Gomes M.E.P. Hydrochemistry of superficial waters in the Adoria mine area (Northern Portugal): environmental implications. Environmental Earth Sciences, 2012, vol. 65, pp. 363–372.
- Soltani N., Moore F., Keshavarzi B., Sharifi R. Geochemistry of trace metals and rare earth elements in stream water, stream sediments and acid mine drainage from Darrehzar Copper Mine, Kerman, Iran. Water Quality, Exposure and Health, 2014, vol. 6, no. 3, pp. 97–114.
- Korneeva T.V., Yurkevich N.V., Aminov P.G. Geochemical features of migration flows in the conditions of mining technogenesis (Mednogorsk). Bulletin of the Tomsk Polytechnic University. Geo Assets Engineering, 2017, vol. 328, no. 2, pp. 85–94. (In Russ.)
- Nordstrom D.K. Hydrogeochemical processes governing the origin, transport and fate of major and trace elements from mine wastes and mineralized rock to surface waters. Applied Geochemistry, 2011, vol. 26, pp. 1777–1791.
- Korneeva T.V., Yurkevich N.V., Saeva O.P. Geochemical modeling of the behavior of heavy metals in technogenic systems. Bulletin of the Tomsk Polytechnic University. Geo Assets Engineering, 2018, vol. 329, no. 3, pp. 89–101. (In Russ.)
- Vorobyova D.A., Evtyugina Z.A Forms of migration of nickel and copper in ultra-fresh waters of the central part of the Kola region. Bulletin of Transbaikal State University, 2021, vol. 27, no. 5, pp. 6–16. (In Russ.)
- Krainov S.R., Ryzhenko B.N., Shvets V.M. Geochemistry of groundwater. Theoretical, applied and environmental aspects. Moscow, Nauka Publ., 2004. 672 p. (In Russ.)
- Novikov D.A., Shokhin A.E., Chernykh A.V., Dultsev F.F. Forms of migration of chemical elements in underground waters of the horizon. Proceedings of the Fersman scientific session of the State Institute of the KSC RAS, 2019, vol. 16, pp. 448–453. (In Russ.)
- Rybnikova L.S., Rybnikov P.A., Navolokina V.Y. Rehabilitation of man-made formation of abandoned copper pyrite deposits on the example of Levikhinsky mine (Middle Urals). Bulletin of the Tomsk Polytechnic University. Geo Аssets Engineering, 2023, vol. 334, no. 8, pp. 137–150. (In Russ.)
- Rybnikova L.S., Rybnikov P.A., Navolokina V.Y. Reducing negative impacts of dormant pyrite copper ore mine on the geosphere in the Urals. Journal of Mining Science, 2022, vol. 58, pp. 519–525.
- Gustafsson J.P. Visual MINTEQ. 2013. Available at: https://vminteq.lwr.kth.se (accessed 15 June 2023).
- Garcia-Lorenzo M.L., Marimon J., Navarro-Hervas M.C., Perez-Sirvent C., Martinez-Sanchez M.J., Molina-Ruiz J. Impact of acid mine drainages on surficial waters of an abandoned mining site. Environmental Science and Pollution Research, 2016, vol. 23, pp. 6014–6023.
- Butler B.A., Ranville J.F., Ross P.E. Observed and modeled seasonal trends in dissolved and particulate Cu, Fe, Mn, and Zn in a mining-impacted stream. Water Res, 2008, vol. 42, pp. 3135–3145.
- Runkel R.L., Kimball B.A., McKnight D.M., Bencala K.E. Reactive solute transport in streams: a surface complexion approach for trace metal sorption. Water Resour Res, 1999, vol. 35 (12), pp. 3829–3840.
- Gijung P., Minjae J., Hwansuk K., Kristine J.B.M., Gunhui C., Sungpyo K., Young K. Seongwook O., Jaeyoung Y. Assessment of metals loading in an acid mine drainage watershed. Mine Water Environmental, 2016, vol. 35, pp. 44–54.
- Alhamed M. Application of geochemical modelling to investigate the geochemical behaviors of iron in a highly complex abandoned coal mine field. Conference: Vietnam International Water Week-VACI 2018. Vietnam, 2018. pp. 1
- Rybnikova L.S., Rybnikov P.A., Galin A.N. Formation of Underspoil Water Compositionat Copper–Pyrite Deposit in the Middle Urals. Journal of Mining Science, 2023, vol. 59, pp. 331–341.
- Shvartsev S.L. Hydrogeochemistry of the hypergenesis zone. M., Nedra Publ., 1998. No. 2, 366 p. (In Russ.)
- Malova A.I., Sidkina E.S., Ryzhenko B.N. Model of the diamond deposit named after M.V. Lomonosov as “water–rock” systems: forms of migration, saturation of groundwater relative to rock-forming and ore minerals, environmental assessment of water quality. Geochemistry, 2017, no. 12, pp. 1128–1140. (In Russ.)
- Davydova O.A., Korovina E.V., Vaganova E.S., Guseva I.T., Krasun B.A., Isaeva M.A., Martseva T.Yu., Mulyukova V.V., Klimov E.S., Buzaeva M.V. Physico-chemical aspects of migration processes of heavy metals in natural water systems. Bulletin of SUSU. Chemistry series, 2016, vol. 8 (2), pp. 40–50. (In Russ.)
Supplementary files








