Вольтамперометрический метод определения гидразина на модифицированном золотыми частицами композитном полимер-углеродном электроде
- Авторы: Ковалева С.В.1, Коршунов А.В.2
-
Учреждения:
- Томский государственный педагогический университет
- Московский государственный строительный университет
- Выпуск: Том 335, № 11 (2024)
- Страницы: 142-156
- Раздел: Статьи
- URL: https://journal-vniispk.ru/2500-1019/article/view/276177
- DOI: https://doi.org/10.18799/24131830/2024/11/4858
- ID: 276177
Цитировать
Полный текст
Аннотация
Актуальность. Гидразин и его производные применяются при получении ингибиторов коррозии, лекарственных препаратов, ядохимикатов, красителей, полимеров, компонентов систем производства и запасания энергии, ракетных топлив. Применение гидразиновых топлив обусловлено их высокой теплотворной способностью и образованием экологически безопасных продуктов окисления (азот, вода). Серьёзным недостатком, ограничивающим широкое применение гидразина, является его высокая токсичность. В связи с этим разработка новых и совершенствование существующих методов определения гидразина и его соединений в объектах окружающей среды, технологических и биологических средах является актуальной задачей.
Цель: установить возможность вольтамперометрического определения гидразина в растворах с использованием композитного полимер-углеродного электрода, модифицированного частицами золота.
Объекты: растворы солей гидразина; водные растворы кислот, щелочей и солей.
Методы: вольтамперометрия постоянного тока, растровая электронная микроскопия, рентгеноспектральный микроанализ, расчетное моделирование ионно-молекулярных равновесий.
Результаты. Окисление гидразина в растворах N2H4×H2SO4+0,1 М KNO3 на композитном полимер-углеродном электроде, модифицированном частицами золота, в условиях вольтамперометрии с линейной разверткой потенциала протекает при потенциалах Е>0,3 В (х. с. э.) с выраженным максимумом тока анодного окисления в области 0,5…0,9 В. Установлено, что замедленной стадией процесса является одноэлектронный перенос; реакция имеет первый порядок по гидразину, является необратимой и контролируется диффузией субстрата к поверхности электрода. По результатам анализа зависимости величины тока окисления гидразина на модифицированном электроде от условий вольтамперометрии (концентрация раствора, скорость развертки потенциалов, рН) предложен метод определения гидразина в растворах. Оптимальными являются следующие условия регистрации вольтамперограмм: деаэрированный азотом фоновый электролит 0,1 М KNO3, рН=5…7, область потенциалов регистрации аналитического сигнала 0,2…1,0 В, скорость развертки потенциала 50 мВ/с. При этих условиях зависимость величины максимума анодного тока окисления от концентрации гидразина описывается линейными регрессионными уравнениями в интервалах 1×10–5…1×10–4 и 1×10–4…1,5×10–3 М N2H4 (предел обнаружения 2,1×10–6 М). По сравнению с известными из литературы электродами использованный в работе модифицированный электрод не требует затратной процедуры приготовления и хранения, по своим аналитическим характеристикам предложенный метод не уступает наиболее высокочувствительным электрохимическим методам определения гидразина.
Полный текст
Введение
Гидразин и его производные применяются при получении ингибиторов коррозии, лекарственных препаратов, ядохимикатов, красителей, полимеров, компонентов систем производства и запасания энергии, ракетных топлив [1]. Перспектива замены углеродных топлив гидразином связана с его высокой теплотворной способностью и образованием экологически безопасных конечных продуктов окисления (азот, вода) [2]. Гидразиновые топливные элементы могут эксплуатироваться при относительно низких температурах и давлениях, по энергетической эффективности они превышают водородные топливные элементы [1–3]. Серьёзным недостатком, ограничивающим широкое применение гидразина, является его высокая токсичность [1, 4]. Гидразин относится ко второму классу опасности, его предельно допустимая концентрация (ПДК) в воде объектов водопользования равна 0,01 мг/л [4]. В воздухе населенных мест ПДК гидразингидрата N2H4×H2O и гидросульфата гидразиния N2H4×H2SO4 составляет 0,001 мг/м3; сброс стоков, содержащих N2H4×H2SO4, в водные объекты водопользования, недопустим [4]. Гидразин и его соединения оказывают на организм человека и животных канцерогенное и мутагенное действие, поражают центральную нервную систему, вызывают анемию [1, 5]. В связи с этим разработка новых и совершенствование существующих методов определения гидразина и его соединений в объектах окружающей среды, технологических и биологических средах является актуальной задачей.
Среди экспрессных чувствительных и недорогих методов определения гидразина можно выделить электрохимические методы, в которых в качестве аналитического сигнала используется ток анодного окисления [1]. Применение наиболее доступных углеродсодержащих электродов для регистрации тока окисления гидразина малоэффективно вследствие высокого перенапряжения процесса и неполного окисления с образованием смеси продуктов. Модифицирование таких электродов частицами металлов и комплексных соединений с каталитическим действием позволяет снизить перенапряжение и увеличить полноту окисления гидразина до азота [3]. Известно, что в щелочной среде гидразин окисляется на платиновых металлах (Rh, Pd, Ir, Pt), серебре и золоте с отдачей четырех электронов и образованием газообразного азота [3]. На электродах из некоторых переходных металлов (Co, Ni, Ru) окисление может отклоняться от стехиометрии и сопровождаться образованием побочных продуктов (Н2), в кислой среде гидразин также может каталитически разлагаться с образованием аммиака [3]:
N2H4+xOH–®N2+(2–0,5x)H2+xH2O+xe,
2N2H4®2NH3+N2+H2.
Электрокаталитический эффект, который проявляется при анодном окислении гидразина на благородных металлах, а также близкая к теоретической стехиометрия процесса обусловливают целесообразность применения таких электродов для определения гидразина. Перспективным является создание металлических электродов с развитой поверхностью, а также композиционных электродов, модифицированных высокодисперсными частицами металлов. В работе [6] показано, что создание развитой поверхности золота путем травления Ag-Au сплава с образованием нанопористой мембраны приводит к снижению перенапряжения и повышению тока окисления гидразина. Начало окисления гидразина в среде фосфатного буферного раствора (рН=8,5) наблюдается при Е=–0,4 В (нас. к. э.) в отличие от массивного золотого электрода
(Е»–0,2 В), при этом ток окисления возрастает в 15 раз. В условиях хроноамперометрии линейная зависимость тока окисления от концентрации гидразина соблюдается в интервале 0,1…10 мкМ, предел обнаружения составляет 16,7 нМ. Использование биметаллических наночастиц (например, PtCu [7]) позволяет снизить стоимость материалов для изготовления сенсоров, а также повысить чувствительность методики определения гидразина. Данный метод позволяет определять гидразин в режиме хроноамперометрии в интервале концентраций 0,006…17,24 мМ (рН=7,4), предел обнаружения составляет 0,09 мкМ [7].
Композиционные материалы на основе наночастиц золота и различных модификаций углерода (графен, углеродные нанотрубки, сажа [8–13]) могут быть использованы в качестве электроактивного компонента при создании сенсоров для определения гидразина. Например, модифицированные наночастицами Au в матрице графена электроды в режиме хроноамперометрии (Е=0,17 В) позволяют определять гидразин в среде фосфатного буфера (рН=7,4) в интервале концентраций 0,006…1,7 мМ, определяемый минимум составляет 0,5 мкМ [8]. Иммобилизация наночастиц неблагородных металлов (Cu) в матрицу из графена и полиглицина также позволяет получить эффективный электродный материал [14]. При этом электрокаталитический эффект выражается в понижении потенциала начала окисления гидразина на 0,15 В, в режиме амперометрии интервал определяемых концентраций составляет 5…150 мкМ (рН=7), предел обнаружения равен 5,33 мкМ [14]. Модификаторы сложного состава, такие как пористые структуры на основе цеолитов, CoS2 и частиц Cu, также проявляют высокую каталитическую активность при электроокислении гидразина [15]. Такие электроды позволяют определять гидразин в интервале концентраций 0,001…10 мМ, предел обнаружения составляет 0,276 мкМ [15].
В качестве материала матриц при создании композитных электродов можно использовать оксиды, при этом композитный электроактивный слой формируют на поверхности стеклоуглерода [16–19] или на металлической подложке [20, 21]. Стеклоуглеродный электрод, модифицированный Au/ZnO, позволяется определять гидразин в режиме хроноамперометрии (Е=0,45 В, х. с. э.; рН=7,4) в интервале концентраций 0,2…200 мкМ [16]. На электроактивном слое из наночастиц Au и g-Fe2O3 в фосфатном буферном растворе (рН=7) линейная зависимость между током окисления и концентрацией гидразина проявляется в интервале 0,02…11 мкМ, определяемый минимум в условиях хроноамперометрии при Е=0,187 В составляет 6 нМ [17]. Использование композиции наночастиц Au с оксидом кобальта Со3О4 и окисленным графеном позволяет повысить каталитическую составляющую тока окисления гидразина [18], при этом интервал определяемых концентраций в среде фосфатного буфера (рН=7,2) в условиях хроноамперометрии (Е=0,079 В) составляет 10…620 мкМ, определяемый минимум достигает 0,443 мкМ [18]. Использование тройной каталитической системы, состоящей из углеродных трубок, смешанного оксида VOx-RuOx и частиц Au, позволяет повысить ток окисления гидразина в ~9 раз, при этом потенциал пика тока смещается в область отрицательных потенциалов более чем на 800 мВ [19]. В условиях вольтамперометрии линейная зависимость величины аналитического сигнала наблюдается в интервале 2,5 мкМ…10 мМ (предел обнаружения 0,5 мкМ) [19]. Применение композитов с нанотрубками из TiO2 на подложке из титановой фольги, содержащих наночастицы Au размерами 30…40 нм, позволяет определять гидразин (рН=7) в интервале концентраций 0,2…22 мкМ [20]. Создание иерархических наноструктур, содержащих наночастицы Au в комбинации с нанопластинками NiO на поверхности пористого никеля, позволяет определять гидразин в интервале концентраций 0,2…300 мкМ (pH=7,5; Е=0,55 В), предел обнаружения составляет 0,04 мкМ [21].
Матрицы композитных электродов могут иметь более сложный состав. Введение наночастиц Au (6…8 нм) в матрицы из наностержневых частиц гидроксиапатита (10…65 нм) позволило повысить чувствительность определения гидразина за счет увеличения адсорбции на поверхности стеклоуглеродного электрода [22]. В условиях амперометрии в фосфатном буферном растворе (рН=7) при Е=0,2 В линейная зависимость величины тока окисления гидразина (до 80 мкА) от концентрации наблюдалась в интервале 0,5–1429 мкМ, предел обнаружения составил 0,017 мкМ. На точность определения гидразина не влияют 50-кратный избыток аскорбиновой и мочевой кислот, допамина, а также 500-кратный избыток сульфитов и хлоридов [22]. Частицы Au, распределенные в модифицированной аминами силикатной матрице на стеклоуглеродной подожке, показывают возможность определения таких токсикантов, как гидразин, сульфит и нитрит [23]. В среде фосфатного буфера (рН=7,2) электрокаталитическое окисление гидразина, сульфита и нитрита наблюдали при 40 мВ, что ниже потенциала его окисления на немодифицированном стеклоуглеродном электроде на 810 мВ [23]. Предел обнаружения гидразина в условиях амперометрии составил 5 нМ, линейность функции тока в этих условиях соблюдалась для интервала концентраций 10 нМ…12 мкМ. Интеркаляция наночастиц Au в матрицу слоистого гидроксида иттрия также позволяет повысить чувствительность метода [24].
Анализ литературы показал, что доступные, простые в технологическом отношении и малозатратные по времени приготовления варианты электродов для определения гидразина не вполне реализованы. В большинстве случаев процедура приготовления электродов и/или восстановления их активного состояния крайне трудоёмка и включает необходимость получения не только модифицирующих металлических частиц, но и многокомпонентных матриц, а также нанесения электроактивных материалов на токопроводящую подложку. В связи с этим целью настоящей работы являлось установление возможности вольтамперометрического определения гидразина в растворах с использованием композитного полимер-углеродного электрода, модифицированного частицами золота.
Материалы и методы исследования
В работе использовали растворы 0,1 М KNO3, 0,01 М H2SO4, 0,01 М NaOH, 0,01 М N2H4.H2SO4, которые готовили из реагентов марки «х.ч.» путем растворения в бидистилированной воде. Стандартный раствор соли гидразина хранили в холодильнике, рабочие растворы с концентрациями
1×10–5…1,5×10–3 М N2H4×H2SO4 готовили ежедневно разбавлением стандартного. Композитный полимер-углеродный электрод (НПП «Томьаналит», г. Томск) с площадью рабочей поверхности 0,426 см2 производится по технологии литья под давлением в цилиндрический полимерный корпус, массовое соотношение термостабилизированного полиэтилена высокого давления и технического углерода марки N220 в составе композитной матрицы равно 2,3:1. Модифицирование поверхности электрода частицами золота проводили путём электролиза 0,01 М раствора H[AuCl4] при постоянном потенциале –0,1 В в течение 5 мин при перемешивании раствора. С использованием микроскопического контроля модифицированного слоя найдено, что при указанных условиях электролиза на поверхности электрода формируется нерегулярный ансамбль частиц золота. В качестве вспомогательного электрода использовали графитовый стержень с площадью погруженной в раствор поверхности 4,5 см2. Электродом сравнения служил насыщенный хлоридсеребряный электрод (х. с. э), относительного которого приведены потенциалы в экспериментальной части работы. Для электрохимических измерений использовали трёхэлектродную ячейку с разделенным катодным и анодным пространством. Ячейку и электрод сравнения соединяли при помощи стеклянного электролитического моста, заполненного раствором фонового электролита. Для регистрации постояннотоковых вольтамперных кривых использован полярограф универсальный ПУ-1 в комплексе с двухкоординатным регистрирующим прибором ЛКД-4. Растворы перед регистрацией вольтамперограмм деаэрировали путем пропускания азота высокой чистоты.
Результаты и их обсуждение
Модифицирование композитного полимер-углеродного электрода (КПУЭ) приводит к формированию на его поверхности частиц золота в виде агрегатов размерами 5…10 мкм, сгруппированных в скопления размерами до 50 мкм, относительно равномерно распределенные по поверхности композитной подложки (рис. 1, а). Размеры отдельных частиц в наблюдаемых агрегатах соответствуют субмикронному диапазону. Результаты рентгеноспектрального микроанализа модифицированного электрода КПУЭ-Au подтверждают присутствие частиц золота на его поверхности (рис. 1, б).
Для интерпретации данных вольтамперометрии в водных растворах солей гидразиния необходимо предварительно рассмотреть характерные потенциалы, при которых протекают электродные реакции. Степень окисления азота (–2) в N2H4 (N2H5+) может как возрастать при отдаче электронов в анодном процессе, так и понижаться при присоединении электронов в катодном процессе в соответствии с уравнениями (данные для щелочной среды) [25]:
2NH2OH+2e=N2H4+2OH–, | E°=0,73 B | (1) |
O2+2H2O+4e=4OH–, | E°=0,401 B | (2) |
N2H4+4H2O+2e=2NH4OH+2OH–, | E°=0,1 B | (3) |
N2+8H2O+6e=2NH4OH, | E°=–0,74 B | (4) |
2H2O+2e=H2+2OH–, | E°=–0,828 B | (5) |
N2+4H2O+4e=N2H4+4OH–, | E°=–1,16 B | (6) |
N2+4H2O+2e=2NH2OH. | E°=–3,04 B | (7) |
Из сопоставления расчетных диаграмм E–lga (рис. 2) для водных растворов (рН=7) солей гидразиния следует, что при одновременном присутствии в окислительно-восстановительной системе трёх (N2/NH2OH/N2H4) (рис. 2, а) и четырёх (N2/NH2OH/N2H4/NH3) (рис. 2, б) равновесных форм с различными степенями окисления азота потенциалы катодного и анодного процессов по-разному соотносятся с потенциалами разложения воды. При протекании в системе полуреакции анодного окисления N2H4®NH2OH (1) и полуреакции катодного восстановления (3) термодинамически более вероятным является электролитическое разложение воды с выделением водорода и кислорода по уравнениям (2) и (5) (рис. 2, а).
Если в системе присутствует аммиак (соли аммония), термодинамически возможными становятся электродные реакции (3) и (4), которые при рН=7 могут стать преобладающими в сравнении с процессом разложения воды (рис. 2, б). Вместе с тем на практике реакции (2) и (4) протекают с достаточно высокими перенапряжениями (в частности, на графитовых и золотых электродах), вследствие чего при электролизе растворов солей гидразиния более вероятной будет являться анодная реакция (6), которая будет протекать при более низких потенциалах, чем реакция выделения кислорода. Катодная реакция (7) с участием молекулярного азота маловероятна, более вероятными в условиях эксперимента являются реакции восстановления гидразина до аммиака (3) и образование водорода при отрицательных потенциалах (5). Особенностью процессов анодного окисления на электродах, модифицированных частицами золота, является образование метастабильных (гидр)оксидов золота (медиаторов окисления) с высокой окислительной активностью в области потенциалов ~0,2 В (х. с. э.) [26].
Рис. 1. Микрофотография (а) поверхности композитного полимер-углеродного электрода, модифицированного частицами золота и (б) фрагмент рентгеновского спектра участка поверхности электрода, содержащего осажденные частицы Au
Fig. 1. Microphotograph of (a) the surface of a composite polymer-carbon electrode modified with gold particles and (b) fragment of the X-ray spectrum of the electrode surface area containing deposited Au particles
Рис. 2. Расчетные диаграммы «логарифм активности – потенциал» для окислительно-восстановительных равновесий в системе N2–H2O, учитывающие совместное присутствие (а) трёх и (б) четырёх ионно-молекулярных форм с различными степенями окисления азота ([N2H4]=0,001 M, t=25 °С, рН=3)
Fig. 2. Calculated diagrams «logarithm of activity – potential» for redox equilibria in the N2–H2O system, assuming the combined presence of (a) three and (b) four ion-molecular forms with different nitrogen oxidation numbers ([N2H4]=0.001 M, t=25°С, рН=7)
Эти промежуточные соединения на поверхности частиц Au способствуют проявлению каталитического эффекта, заключающегося в снижении потенциалов и повышении тока окисления частиц субстрата (деполяризатора) из раствора. Таким образом, при анодной развертке потенциалов в условиях вольтамперометрии следует ожидать появление на вольтамперограммах максимума тока окисления гидразина (ионов гидразиния) в соответствии с реакцией (8) (рис. 2, б).
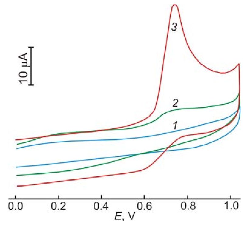
Регистрация вольтамперных кривых с использованием немодифицированного углеродсодержащего электрода, а также электрода, модифицированного частицами золота КПУЭ-Au, показала, что в деаэрированном растворе 0,1 М KNO3 в интервале потенциалов Е=0,0…1,1 В (х. с. э.) возрастание тока за счет протекания электродных процессов не наблюдается (рис. 3). Повышение анодного тока при более высоких потенциалах соответствует протеканию процесса окисления воды с образованием кислорода по реакции (2). Следовательно, в достаточно широкой области положительных потенциалов компоненты раствора не принимают участия в процессе обмена электронами с поверхностью поляризуемого электрода, что позволяет использовать нейтральные растворы KNO3 в качестве фонового электролита при изучении электроокисления гидразина без мешающего влияния на результаты электрохимических измерений. Незначительные подъёмы тока в области потенциалов 0,1…0,2 В на анодной и катодной ветвях вольтамперограмм свидетельствуют о формировании на поверхности частиц золота метастабильных окисленных слоев при поляризации в направлении положительных потенциалов и их восстановлении при обратной развёртке потенциалов [26, 27] (рис. 3). Образование этих метастабильных соединений способствует понижению потенциалов и повышению тока анодного окисления субстрата, что, в свою очередь, повышает чувствительность аналитической методики.
Регистрация анодных вольтамперограмм с использованием модифицированного электрода КПУЭ-Au в растворах сульфата гидразиния N2H4×H2SO4 показала, что в области потенциалов 0,6…0,9 В (х. с. э.) на вольтамперограмме наблюдается выраженный максимум анодного тока, соответствующий процессу окисления гидразина (рис. 3). В отличие от модифицированного электрода, анодный процесс на немодифицированном электроде слабо выражен и протекает при более положительных потенциалах. В соответствии с анализом возможных окислительно-восстановительных реакций в исследуемой системе окисление гидразина с образованием азота (6) должно протекать в широком интервале потенциалов, включая область отрицательных потенциалов (рис. 2). Этот эффект должен выражаться в непрерывном подъеме анодного тока на вольтамперограммах в исследуемом интервале потенциалов. Вместе с тем процесс начинается при положительных потенциалах E>0,3 В (рис. 3), что связано с перенапряжением процесса окисления гидразина с образованием молекулярного азота (рис. 2).
Рис. 3. Циклические вольтамперограммы композитного полимер-углеродного электрода (1) в фоновом электролите 0,1 М KNO3, (2) в растворе соли гидразина 6×10–4 М N2H4×H2SO4+0,1 М KNO3 и (3) модифицированного частицами золота электрода в растворе 6×10–4 М N2H4×H2SO4+0,1 М KNO3 (w=50 мВ/с; деаэрирование растворов азотом)
Fig. 3. Cyclic voltammograms of a composite polymer-carbon electrode (1) in a background electrolyte 0.1 M KNO3, (2) in a solution of a hydrazine salt 6×10–4 M N2H4×H2SO4+0.1 M KNO3 and (3) of an electrode modified with gold particles in a solution of 6×10–4 M N2H4×H2SO4+0.1 M KNO3 (w=50 mV/s; solutions were deaerated with nitrogen)
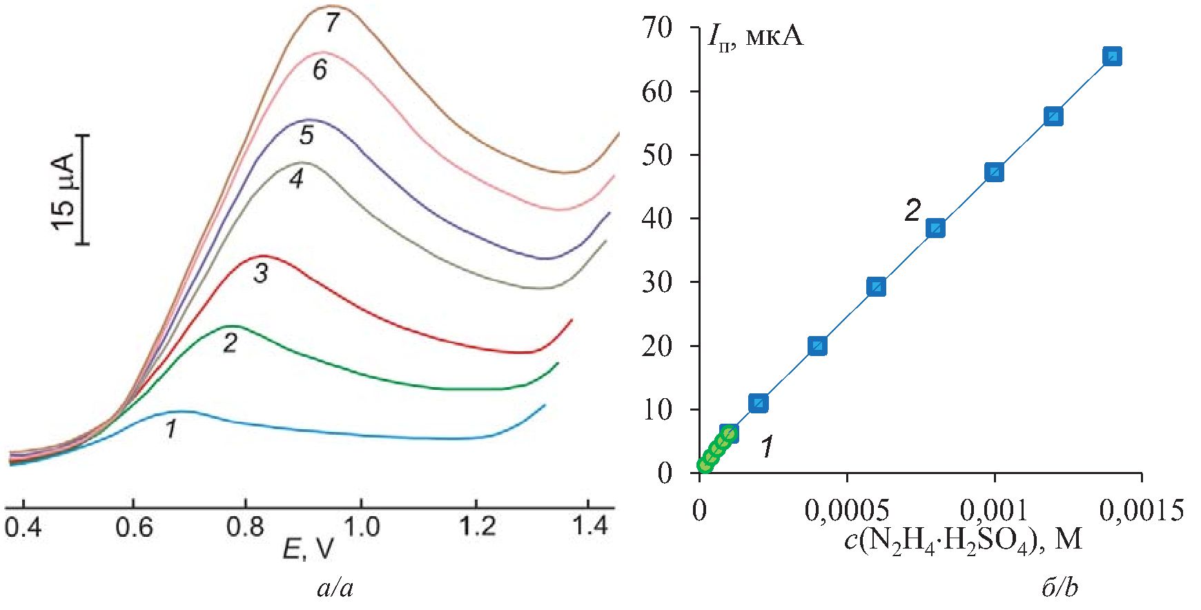
Влияние внешних условий на параметры аналитического сигнала (потенциал максимума Еп, величина пика тока Iп анодного окисления гидразина) было изучено путем варьирования концентрации соли гидразина, температуры и скорости развёртки потенциалов. На рис. 4, а приведены вольтамперограммы модифицированного электрода КПУЭ-Au в растворах сульфата гидразиния при концентрациях 10–4…10–3 М в фоновом электролите 0,1 М KNO3. Из результатов измерений следует, что повышение концентрации соли гидразина в растворе сопровождается повышением потенциала максимума анодного тока Еп и ростом тока анодного окисления (рис. 4, табл. 1). Для определения целесообразности использования наблюдаемого тока окисления в аналитических целях были проанализированы зависимости величин прироста анодного тока от прироста концентрации соли гидразина в растворе. Зависимости Iп=f(c) являются линейными в достаточно широком концентрационном диапазоне соли гидразина в растворе (рис. 4, б). Для области низких концентраций 1·10–5…1·10–4 М указанная зависимость описывается регрессионным уравнением с более высоким угловым коэффициентом, чем при более высоких концентрациях, что свидетельствует о сохранении высокой чувствительности метода при переходе к более разбавленным растворам (табл. 1).
Рис. 4. Анодные вольтамперограммы (а) композитного полимер-углеродного электрода, модифицированного частицами золота, в растворах N2H4×H2SO4+0,1 М KNO3 при различных концентрациях соли гидразина: 1) 2×10–4; 2) 4×10–4; 3) 6×10–4; 4) 8×10–4; 5) 1×10–3; 6) 1.2×10–3; 7) 1.5×10–3 М и (б) зависимости величины пика анодного тока от концентрации в растворах 1) 1·10–5…1·10–4 and 2) 1·10–4…1.5·10–3 M N2H4×H2SO4 (w=50 мВ/с; деаэрирование растворов азотом)
Fig. 4. Anodic voltammograms (a) of a composite polymer-carbon electrode modified with gold particles in solutions of N2H4×H2SO4+0.1 M KNO3 at various concentrations of the hydrazine salt: 1) 2×10–4; 2) 4×10–4; 3) 6×10–4; 4) 8×10–4; 5) 1×10–3; 6) 1.2×10–3; 7) 1.5×10–3 М and (b) dependences of the peak value of the anode current on the concentration in solutions 1) 1·10–5…1·10–4 and 2) 1·10–4…1.5·10–3 M N2H4×H2SO4 (w=50 mV/s; solutions were deaerated with nitrogen)
Таблица 1. Параметры уравнений регрессии, описывающих зависимость величины пика анодного тока окисления гидразина от концентрации модельных растворов N2H4×H2SO4 с использованием композитного полимер-углеродного электрода, модифицированного частицами золота (фоновый раствор 0,1 М KNO3, Ен=0,2 В, Ек=1,2 В, w=50 мВ/с)
Table 1. Parameters of regression equations describing the dependence of the peak value of the anodic oxidation current of hydrazine on the concentration of model solutions of N2H4×H2SO4 using a composite polymer-carbon electrode modified with gold particles (background solution 0.1 M KNO3, Ei=0.2 V, Ee=1.2 V, w=50 mV/s)
Интервал концентрации c(N2H4×H2SO4), М Concentration interval c(N2H4×H2SO4), М | Уравнение регрессии Iп=a + b×c Regression equation Ip=a + b×c | Коэффициент Coefficient | |
a | b | ||
1·10–5…1·10–4 | 0,03 ±0,02 | (6,2 ±0,1)·104 | 0,9997 |
1·10–4…1,5·10–3 | 1,88 ±0,08 | (4,54 ±0,02)·104 | 0,9999 |
Примечание: предел обнаружения гидразина 2,1×10–6 М.
Note: the detection limit of hydrazine is 2.1×10–6 М.
Из данных регрессионного анализа зависимости величины анодного тока от концентрации соли гидразина в растворе следует (табл. 1), что ток анодного окисления в принятых условиях вольтамперометрии может быть использован в качестве аналитического сигнала для определения концентрации гидразина в растворах. По диапазону определяемых концентраций гидразина предлагаемый в работе метод не уступает наиболее чувствительным электрохимическим методам с дорогостоящими электродами и более трудоемкими методами их приготовления [3, 8–13, 22, 23].
Для определения причины различия параметров зависимостей тока Iп=f(c) для различных концентрационных интервалов (табл. 1) был рассчитан порядок реакции по гидразину с использованием логарифмической зависимости lgIп=f(lgc). Угловой коэффициент логарифмической зависимости для интервала концентраций 1·10–5… 1·10–4 М составляет 0,99, для интервала концентраций 1×10–4… 1,4×10–3 М – 0,89. Порядок реакции, близкий к единице при низких концентрациях соли гидразина, согласуется с большим угловым коэффициентом регрессии (табл. 1) и свидетельствует о близком к теоретическому приросте тока Iп при возрастании концентрации в данном интервале. Уменьшение порядка реакции с ростом концентрации соли в растворе согласуется с уменьшением углового коэффициента в уравнении регрессии (табл. 1) и свидетельствует об уменьшении чувствительности отклика прироста аналитического сигнала, причиной чего может являться участие гидразина в побочной химической реакции. Очевидно, что химическая реакция в приэлектродном слое раствора способствует снижению концентрации электроактивных частиц субстрата и приводит к уменьшению доли деполяризатора, участвующего в стадии разряда–ионизации.
Для оценки числа электронов, участвующих в электродной реакции, были проанализированы тафелевские участки вольтамперных кривых, величина тока которых соответствовала условию I<0,1Iп. Из анализа угловых коэффициентов полулогарифмических зависимостей ba=¶Е/¶lgI следует, что замедленной является одноэлектронная стадия (ba=0,12) при стандартном значении коэффициента переноса aа=0,5. Полученное значение коэффициента согласуется с принятым в литературе механизмом анодного окисления гидразина, в соответствии с которым замедленной стадией процесса является одноэлектронный перенос с образованием ион-радикала N2H3–, быстро окисляющегося до азота. Следовательно, состав и структура поверхности использованного в работе электрода, а также его электрохимические характеристики не приводят к изменению формально-кинетических параметров процесса окисления гидразина и не снижают эффективность использования модифицированного электрода КПУЭ-Au в аналитической практике.
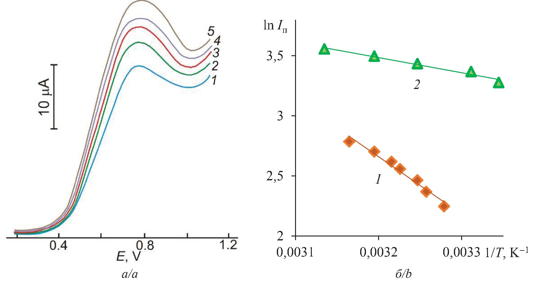
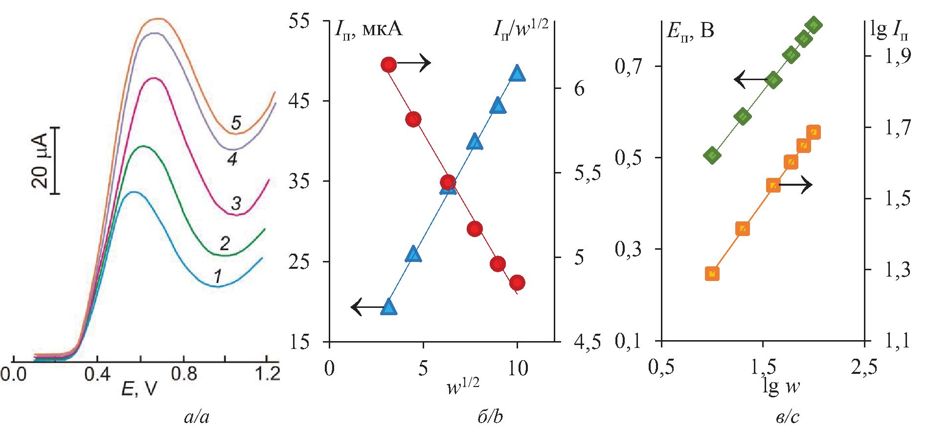
С целью установления влияния условий регистрации вольтамперограмм на параметры электродного процесса было изучено влияние скорости развертки потенциалов на величины Iп и Еп пика анодного окисления гидразина (рис. 5, а). Линейная зависимость величины пика тока Iп от квадратного корня из скорости развертки потенциала Iп=f(w1/2) свидетельствует о замедленной диффузии деполяризатора к поверхности электрода (рис. 5, б). Убывающая зависимость отношения Iп/w1/2 от скорости развертки (рис. 5, б) свидетельствует о наличии химической реакции, протекающей совместно со стадией разряда, что согласуется с уменьшением кажущегося порядка электродной реакции по гидразину, зафиксированным в растворах с относительно высокой концентрацией соли гидразина. Зависимость потенциала пика анодного окисления Еп от концентрации соли гидразина (рис. 4, а), а также линейные зависимости Еп и lgIп от логарифма скорости развертки свидетельствуют о необратимости процесса окисления гидразина (рис. 5, а, в). Таким образом, использование растворов с концентрацией соли гидразина, превышающей ~1,5×10–3 М, нецелесообразно в условиях вольтамперометрического метода определения вследствие усиления влияния побочной химической реакции на величину аналитического сигнала.
Соединения гидразина при нагревании могут подвергаться разложению, что может привести к повышению погрешности определения концентрации гидразина. Для определения влияния температуры на параметры процесса анодного окисления гидразина была проведена регистрация величины анодного тока Iп на электроде КПУЭ-Au в растворах соли гидразина в интервале температур 25…45 °С. Из анализа вольтамперометрических данных следует (рис. 6, а), что форма вольтамперной кривой практически не зависит от температуры, величина тока окисления гидразина увеличивается с ростом температуры. Зависимость тока Iп от температуры удовлетворительно линеаризуется в координатах уравнения Аррениуса (рис. 6, б). Рассчитанные температурные коэффициенты для 6∙10–4 М и 8∙10–5 М гидразина составляют соответственно 1,17 и 3,43 %/К, что подтверждает выводы о диффузионной природе тока пика, сделанные на основе анализа зависимостей параметров процесса от скорости развертки потенциалов (рис. 5). Снижение температурного коэффициента скорости электродного процесса при повышении концентрации раствора соли гидразина (рис. 6, б) является косвенным подтверждением повышения роли побочной химической реакции, приводящей к изменению концентрации гидразина в приэлектродном слое раствора и повышающей погрешность метода при концентрациях c(N2H4×H2SO4)>1,5×10–3 М.
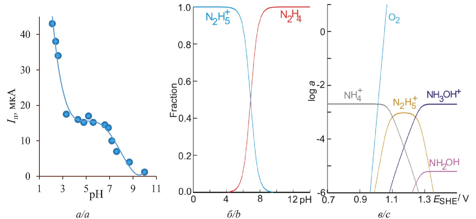
Важным обстоятельством с точки зрения интерпретации анодного пика на вольтамперной кривой является возможность присутствия гидразина в растворах в виде двух равновесных ионно-молекулярных форм N2H4 и N2H5+ в зависимости от рН раствора. Для установления зависимости величины аналитического сигнала от соотношения этих форм в растворах была проведена регистрация вольтамперограмм в растворе 4∙10–4 М N2H4×H2SO4 в диапазоне рН=2…10. Из данных вольтамперометрии следует, что величина анодного тока Iп зависит от рН немонотонно: в интервале рН 7…10 величина анодного тока уменьшается практически до фоновых значений; в интервале рН=3…7 ток практически не зависит от рН; в кислой среде с рН<3 анодный ток резко возрастает (рис. 7, а). Оценку соответствия данных вольтамперометрии содержанию той или иной формы гидразина в растворе проводили путем расчета равновесных активностей этих форм с использованием системы уравнений:
N2H4+H3O+DN2H5++H2O,
N2H4+H2ODN2H5++OH–.
Рис. 5. Анодные вольтамперограммы (а) композитного полимер-углеродного электрода, модифицированного частицами золота, в растворе 6∙10–4 М N2H4×H2SO4+0,1 М KNO3 при различных значениях скорости развертки (w) потенциала: 1) 10, 2) 20, 3) 40, 4) 80, 5) 100 мВ/с, и зависимости (б, в) величин тока и потенциала пика от функций скорости развертки потенциала
Fig. 5. Anodic voltammograms (a) of a composite polymer-carbon electrode modified with gold particles in a solution of 6∙10–4 М N2H4×H2SO4+0.1 M KNO3 at different values of the potential sweep rate (w): 1) 10, 2) 20, 3) 40, 4) 80, 5) 100 mV/s, and the dependence (b, c) of the current and peak potential values on the functions of the potential sweep rate
Рис. 6. Анодные вольтамперограммы (а) композитного полимер-углеродного электрода, модифицированного частицами золота, в растворе 6∙10–4 М N2H4×H2SO4+0,1 М KNO3 при различных температурах: 1) 26, 2) 29, 3) 35, 4) 40, 5) 46 °С, и (б) зависимости логарифма пика тока от обратной температуры для концентрационных диапазонов 1) 1·10–5…1·10–4 and 2) 1·10–4…1.5·10–3 М N2H4×H2SO4 (w=50 мВ/с; деаэрирование растворов азотом)
Рис. 7. Зависимость (а) максимума анодного тока композитного полимер-углеродного электрода, модифицированного частицами золота, в деаэрированном растворе 4∙10–4 М N2H4×H2SO4+0,1 М KNO3 от рН (w=50 мВ/с), (б) расчетное содержание равновесных ионно-молекулярных форм гидразина в 0,001 М растворе при различных рН и (в) расчетная диаграмма «логарифм активности – потенциал» для окислительно-восстановительных равновесий в системе N2–H2O, учитывающая совместное присутствие трёх ионно-молекулярных форм с различными степенями окисления азота ([N2H4]=0,001 M, t=25 °С, рН=3)
Fig. 7. Dependence (a) of the maximum anode current of a composite polymer-carbon electrode modified with gold particles in a deaerated solution of 4∙10–4 М N2H4×H2SO4+0.1 M KNO3 on pH (w=50 mV/s), (b) the calculated content of equilibrium ion-molecular forms of hydrazine in 0.001 M solution at different pH and (c) the calculated diagram «logarithm of activity – potential» for redox equilibria in the N2–H2O system, taking into account the combined presence of three ionic molecular forms with different oxidation numbers of nitrogen ([N2H4]=0.001 M, t=25 °С, pH=3)
Величину константы для иона гидразиния N2H5+ при 25 °С можно представить следующим образом [4]:
, рКa=8,23. (8)
Из уравнения (8) следует выражение для соотношения активностей N2H4 и N2H5+ в растворе:
.
Учитывая, что сумма активностей двух форм равна единице (или 100 %), можно вычислить содержание N2H4 и N2H5+ в растворе:
,
.
Результаты расчетов соотношения мольных долей двух форм гидразина в растворе в зависимости от рН представлены на рис. 7, б. Из сопоставления расчетного содержания форм N2H4 и N2H5+ в растворе с данными вольтамперометрии (рис. 7, а) видно, что величина пика тока напрямую не коррелирует с содержанием молекулярной или ионной форм гидразина в растворе. Относительно постоянное значение анодного тока Iп при рН=3…7 не согласуется с существенным уменьшением доли ионной формы N2H5+ или повышением доли молекулярной формы N2H4 в этом интервале рН (рис. 7, б). Отсюда не совсем ясно, какая именно форма участвует в электродном процессе в рассматриваемом интервале рН. В реакции разряда могут участвовать как обе формы, так и одна из форм, преимущественно присутствующая в приэлектродном слое раствора вследствие несовпадения рН в объёме раствора и в поверхностном слое. Понижение тока Iп при рН>7 может быть связано с каталитическим разложением гидразина на золоте с образованием азота и водорода. Маловероятно, что присутствие протонированной формы N2H5+ при рН<3 приводит к существенному возрастанию тока окисления, поскольку в ряде работ указывается на её меньшую активность в процессе анодного окисления по сравнению с молекулярной формой. Причина резкого возрастания анодного тока в кислой среде может быть выявлена путем сравнения потенциалов окисления гидразина и воды. Из расчетной диаграммы (рис. 7, в) следует, что при уменьшении рН раствора потенциал гидразина сильнее смещается в положительную сторону, чем потенциал окисления воды с образованием кислорода (рис. 2). Следовательно, повышение кислотности анализируемого раствора нецелесообразно, поскольку будет приводить к увеличению погрешности определения гидразина вследствие повышения влияния реакции (2) образования кислорода на величину регистрируемого анодного тока.
Оценку метрологических показателей предложенного метода определения гидразина на модифицированном электроде КПУЭ-Au проводили в модельных растворах гидросульфата гидразиния с использованием метода «введено–найдено». Первоначально в ячейку вносили 25 мл нейтрального фонового электролита 0,1 М KNO3, деаэрировали его током азота и регистрировали вольтамперограмму в интервале потенциалов 0,2…1,0 В со скоростью развертки потенциала 50 мВ/с. Затем в раствор при помощи микродозатора последовательно вводили порции стандартного раствора 1·10–2 М N2H4×H2SO4, после каждой добавки деаэрировали раствор и регистрировали вольтамперограмму при тех же параметрах эксперимента. Регистрацию вольтамперограмм и измерение пика анодного тока окисления проводили трижды для каждой добавки. Статистическую обработку результатов, вычисление предела обнаружения и определяемого минимума проводили по стандартным методикам [28]. Результаты определения концентрации гидразина в модельных растворах приведены в табл. 2.
Таблица 2. Результаты определения гидразина в растворах по методу добавок (Vфон=25 мл; интервал потенциалов 0,2…1,0 В; w=50 мВ/с)
Table 2. Results of hydrazine determination in solutions by the additive method (Vbckgr =25 ml; potential range 0.2…1.0 V; w=50 mV/s)
Введено N2H4×H2SO4, с×104 М Added N2H4×H2SO4, с×104 М | Найдено N2H4×H2SO4, с×104 М Found N2H4×H2SO4, с×104 М |
0,10 | 0,10±0,03 |
0,50 | 0,50±0,02 |
1,00 | 1,01±0,02 |
2,00 | 2,01±0,02 |
4,00 | 3,58±0,03 |
6,00 | 5,01±0,02 |
8,00 | 8,01±0,02 |
10,00 | 10,02±0,03 |
Примечание: предел обнаружения 2,1×10–6 М; определяемый минимум 6,3×10–6 М.
Note: detection limit is 2.1×10–6 М; detectable minimum is 6.3×10–6 М.
Из анализа данных табл. 2 следует, что полученные результаты характеризуются удовлетворительными показателями правильности измерений, предлагаемый метод может быть рекомендован для совершенствования существующих и разработки новых методов определения гидразина. По диапазону определяемых концентраций гидразина метод не уступает описанным в литературе чувствительным методам с применением дорогостоящих и ресурсозатратных в изготовлении электродов.
Выводы
- Окисление гидразина в растворах N2H4×H2SO4+0,1 М KNO3 на модифицированном частицами золота полимер-углеродном электроде в условиях вольтамперометрии с линейной разверткой потенциала протекает при потенциалах Е>0,3 В (х. с. э.) с выраженным максимумом тока анодного окисления в области 0,5…0,9 В. Окисление гидразина на модифицированном электроде протекает при низких потенциалах вследствие проявления эффекта электрокатализа. Установлено, что замедленной стадией электродного процесса является одноэлектронный перенос; реакция имеет первый порядок по гидразину, является необратимой и контролируется диффузией субстрата к поверхности электрода. В растворах с концентрацией соли гидразина выше 1,5 мМ возрастает влияние побочной химической реакции на электродный процесс. Интерпретация вольтамперометрических данных проведена с использованием моделирующих расчетов.
- По результатам анализа зависимости величины максимума тока окисления гидразина на модифицированном электроде от условий вольтамперометрии (концентрация раствора, скорость развертки потенциалов, рН) предложен метод определения гидразина в растворах. Оптимальными являются следующие условия регистрации вольтамперограмм: деаэрированный азотом фоновый электролит 0,1 М KNO3, рН=5…7, область потенциалов регистрации аналитического сигнала 0,2…1,0 В, скорость развертки потенциала 50 мВ/с. При этих условиях зависимость величины максимума анодного тока окисления от концентрации гидразина описывается линейными регрессионными уравнениями в интервалах 1×10–5…1×10–4 и 1×10–4…1,5×10–3 М N2H4 (предел обнаружения 2,1×10–6 М). По сравнению с известными из литературы электродами использованный в работе модифицированный электрод не требует затратной процедуры приготовления и хранения, по своим аналитическим характеристикам предложенный метод не уступает чувствительным электрохимическим методам определения гидразина.
Об авторах
Светлана Владимировна Ковалева
Томский государственный педагогический университет
Email: svetkovaleva@rambler.ru
доктор химических наук, профессор кафедры химии и методики обучения химии биолого-химического факультета
Россия, 634061, Томск, ул. Киевская, 60Андрей Владимирович Коршунов
Московский государственный строительный университет
Автор, ответственный за переписку.
Email: korshunovav@mgsu.ru
ORCID iD: 0000-0002-7585-0953
доктор химических наук, профессор кафедры строительного материаловедения
Россия, 129337, Москва, Ярославское шоссе, 26Список литературы
- Rothgery E.F. Hydrazine and its derivatives // Kirk Othmer Encyclopedia of Chemical Technology. 5th ed. – Hoboken; NJ: John Wiley & Sons, 2005. – Vol. 13. – P. 562–607.
- Carbon-free fuels for direct liquid-feed fuel cells: anodic electrocatalysts and influence of the experimental conditions on the reaction kinetics and mechanisms / E.A. Vorms, A.G. Oshchepkov, A. Bonnefont, E.R. Savinova, M. Chatenet // Applied Catalysis B: Environment and Energy. – 2024. – Vol. 345. – 123676 (1–19). doi: 10.1016/j.apcatb.2023.123676.
- Trends in catalysis and catalyst cost effectiveness for N2H4 fuel cells and sensors: a Rotating Disk Electrode (RDE) study / D.A. Finkelstein, R. Imbeault, S. Garbarino, L. Roué, D. Guay // Journal of Physical Chemistry C. – 2016. – Vol. 120. – P. 4717–4738. doi: 10.1021/acs.jpcc.5b10156.
- Новый справочник химика и технолога. Радиоактивные вещества. Вредные вещества. Гигиенические нормативы / под ред. А.В. Москвина, В.В. Семёнова, В.Ф. Теплых. – СПб.: АНО НПО «Профессионал», 2004. – 1142 с.
- Choudhary G., Hansen H. Human health perspective on environmental exposure to hydrazines: a review // Chemosphere. – 1998. – Vol. 37. – P. 801–843. doi: 10.1016/s0045-6535(98)00088-5.
- Effective and rapid electrochemical detection of hydrazine by nanoporous gold / X. Yan, F. Meng, S. Cui, J. Liu, J. Gu, Z. Zou // Journal of Electroanalytical Chemistry. – 2011. – Vol. 661. – P. 44–48. doi: 10.1016/j.jelechem.2011.07.011.
- Chiani E., Azizi S.N., Ghasemi S. Superior electrocatalyst based on mesoporous silica nanoparticles/carbon nanotubes modified by platinum-copper bimetallic nanoparticles for amperometric detection of hydrazine // International Journal of Hydrogen Energy. – 2022. – Vol. 47. – P. 20087–20102. doi: 10.1016/j.ijhydene.2022.04.118.
- Fabrication of a gold nanocage/graphene nanoscale platform for electrocatalytic detection of hydrazine / S. Daemi, A.A. Ashkarran, A. Bahari, S. Ghasemi // Sensors and Actuators B. – 2017. – Vol. 245. – P. 55–65. doi: 10.1016/j.snb.2017.01.137.
- Preparation and characterization of AuNPs/CNTs-ErGO electrochemical sensors for highly sensitive detection of hydrazine / Z. Zhao, Y. Sun, P. Li, W. Zhang, K. Lian, J. Hu, Y. Chen // Talanta. – 2016. – Vol. 158. – P. 283–291. doi: 10.1016/j.talanta.2016.05.065.
- A novel and sensitive amperometric hydrazine sensor based on goldnanoparticles decorated graphite nanosheets modified screen printed carbon electrode / C. Karuppiah, S. Palanisamy, S.-M. Chen, S.K. Ramaraj, P. Periakaruppan // Electrochimica Acta. – 2014. – Vol. 139. – P. 157–164. doi: 10.1016/j.electacta.2014.06.158.
- A high performance hydrazine electrochemical sensor based on gold nanoparticles/single walled carbon nanohorns composite film / S. Zhao, L. Wang, T. Wang, Q. Han, S. Xu // Applied Surface Science. – 2016. – Vol. 369. – P. 36–42. doi: 10.1016/j.apsusc.2016.02.013.
- Highly sensitive amperometric hydrazine sensor developed from gold nanoparticles electrodeposited on glassy carbon electrode modified with graphene oxide and poly(3,4-ethylenedioxythiophene): poly(styrenesulfonate) composite / H.A. Rahman, B. Riza Putra, M. Rafi, R. Heryanto, C. Takai-Yamashita, Y. Ohya, W.T. Wahyuni // Sensors and Materials. – 2023. – Vol. 35. – P. 4177–4202. doi: 10.18494/SAM4640.
- Localized formation of highly surface-active gold nanoparticle on intrinsic nickel containing carbon black and its scanning electrochemical microscopy interrogation and electrocatalytic oxidation of hydrazine / A.S. Kumar, M. Gandhi, S. Saikrithika, B. Dinesh, S. Shafeeq, V. Ganesh // Electrochimica Acta. – 2023. – Vol. 443. – P. 141937 (1–14). doi: 10.1016/j.electacta.2023.141937.
- Karim-Nezhad G., Pashazadeh S., Honarmand S. Study on electrochemical behavior of hydrazine at a glassy carbon electrode modified with polymer thin films embedded copper nanoparticles // Iranian Journal of Analytical Chemistry. – 2021. – Vol. 8. – P. 40–49. doi: 10.30473/ijac.2022.62498.1214.
- Construction of Co-ZIF-derived CoS2-Cu hollow heterogeneous nanotube array for the detection of hydrazine in environmental water samples / L. Ou, J. Yang, L. Xu, S. Zhao, X. Xiong, T. Xiao // Environmental Research. – 2024. – Vol. 246. – P. 118177. doi: 10.1016/j.envres.2024.118177.
- A sensitive and selective amperometric hydrazine sensor based on mesoporous Au/ZnO nanocomposites / A.A. Ismail, F.A. Harraz, M. Faisal, A.M. El-Toni, A. Al-Hajry, M.S. Al-Assiri // Materials and Design. – 2016. – Vol. 109. – P. 530–538. doi: 10.1016/j.matdes.2016.07.107.
- You Y., Yang Y., Yang Z. A highly stable nano γ-Fe2O3/gold-film modified electrode for electrochemically sensitive sensing to hydrazine // Journal of Solid State Electrochemistry. – 2013. – Vol. 17. – P. 701–706. doi: 10.1007/s10008-012-1903-4.
- An electrochemical sensing platform of cobalt oxide-gold nanocubes interleaved reduced graphene oxide for the selective determination of hydrazine / M.M. Shahid, P. Rameshkumar, W.J. Basirunc, U. Wijayantha, W.S. Chiu, P.S. Khiew, N.M. Huang // Electrochimica Acta. – 2018. – Vol. 259. – P. 606–616. doi: 10.1016/j.electacta.2017.10.157.
- Karaca S., Koçak S. Fabrication and characterization of enhanced hydrazine electrochemical sensor based on gold nanoparticles decorated on the vanadium oxide, ruthenium oxide nanomaterials, and carbon nanotubes composites // Turkish Journal of Chemistry. – 2021. – Vol. 45. – P. 1210–1223. doi: 10.3906/kim-2009-58.
- Hosseini M., Momeni M.M., Faraji M. Electro-oxidation of hydrazine on gold nanoparticles supported on TiO2 nanotube matrix as a new high active electrode // Journal of Molecular Catalysis A: Chemical. – 2011. – Vol. 335. – P. 199–204. doi: 10.1016/j.molcata.2010.11.034.
- Hierarchically Au-functionalized derived ultrathin NiO nanosheets for highly sensitive electrochemical hydrazine detection / W. Wang, Z. Zhao, Q. Lei, W. Zhang, P. Li, W. Zhang, S. Zhuiykov, J. Hu // Applied Surface Science. – 2021. – Vol. 542. – P. 148539 (1–10). doi: 10.1016/j.apsusc.2020.148539.
- Enhanced electrocatalytic activity of gold nanoparticles on hydroxyapatite nanorods for sensitive hydrazine sensors / G. Bharath, A. Naldoni, K.H. Ramsait, A. Abdel-Wahab, R. Madhu, E. Alsharaeh, N. Ponpandian // Journal of Materials Chemistry A. – 2016. – Vol. 4. – P. 6385–6394. doi: 10.1039/C6TA01528J.
- Maduraiveeran G., Ramaraj R. Gold nanoparticle-based sensing platform of hydrazine, sulfite, and nitrite for food safety and environmental monitoring // Journal of Analytical Science and Technology. – 2017. – Vol. 8. – P. 14 (1–10). doi: 10.1186/s40543-017-0113-1.
- Facile preparation of gold nanoparticles anchored on layered yttrium hydroxide by electrochemical methods for enhanced sensing of hydroquinone and catechol / Y. Zhang, X. Du, J. Mao, S. He, Z. Cao // Materials Chemistry and Physics. – 2024. – Vol. 311. – P. 128526 (1–9). doi: 10.1016/j.matchemphys.2023.128526.
- Турьян Я.И. Окислительно-восстановительные реакции и потенциалы в аналитической химии. – М.: Химия, 1989. – 248 с.
- Kovaleva S.V., Aksinenko O.S., Korshunov A.V. Electrooxidation of sulfite ions on a composite carbon-containing electrode modified with submicron gold particles // Journal of Analytical Chemistry. – 2020. – Vol. 75. – P. 1348–1357. doi: 10.1134/S1061934820080080.
- Au-nanoparticles based sensors for voltammetric determination of glutathione / D.O. Perevezentseva, A.V. Korshunov, E.V. Gorchakov, V.I. Bimatov, I.E. Phedorov // Current Analytical Chemistry. – 2017. – Vol. 13. – P. 225–230. doi: 10.2174/1573411012666160606175735.
- Doerffel K. Statistik in der analytischen chemie. – Leipzig: Deutscher Verlag für Grundstoffindustrie, 1990. – 256 p.
Дополнительные файлы










