Влияние туристско-рекреационной деятельности на показатели почвенно-экологического мониторинга прилежащей территории Телецкого озера (Горный Алтай)
- Авторы: Ельчининова О.А.1
-
Учреждения:
- Институт водных и экологических проблем СО РАН
- Выпуск: Том 336, № 1 (2025)
- Страницы: 18-35
- Раздел: Статьи
- URL: https://journal-vniispk.ru/2500-1019/article/view/281098
- DOI: https://doi.org/10.18799/24131830/2025/1/4654
- ID: 281098
Цитировать
Полный текст
Аннотация
Актуальность. Обусловлена возрастающей рекреационной нагрузкой на экосистемы бассейна Телецкого озера, сопровождающейся явным ущербом для них и возникающей необходимостью количественной оценки происходящих изменений. Цель. Оценка современного состояния почвенного покрова прилежащей территории Телецкого озера, формирующегося под влиянием туристско-рекреационной деятельности. Методы. Сравнительно-географический, химический. Изучаемые показатели почвенно-экологического мониторинга ранней, кратко- и долгосрочной диагностики. Результаты и выводы. Следствием влияния туризма в прибрежной зоне горно-лесного пояса Телецкого озера является развитая тропиночная сеть, приводящая к трансформации естественных экосистем. Установлено существенное различие по ряду параметров свойств и состава почвы на тропе и на участках, неподверженных влиянию вытаптывания. Анализ водной вытяжки показал уменьшение кислотности, снижение содержания аммонийного и нитратного азота, фосфатов, изменение концентрации катионов кальция, калия и магния верхнего слоя почвы на тропе по сравнению с ненарушенной почвой. Следствием вытаптывания стало нарушение подстилки, уменьшение её мощности или полное уничтожение в зоне троп. Запасы подстилки на средневыраженных тропинках снизились более чем в 2,7–4,0 раза. При этом на хорошо выраженных тропинках, распространенных на территории Алтайского государственного биосферного заповедника, где нет бессистемного передвижения по территории, подстилка на немногочисленных или даже единственных тропинках отсутствует вообще. На слабовыраженных (свежих) тропинках запасы подстилки даже выше, чем на незатронутой территории или на тропках, расположенных рядом с тропой, отсыпанной щебнем. Влияние рекреационных нагрузок привело к увеличению плотности почвы верхнего (0–5 см) слоя почвы в 1,2–1,7 раз. Увеличение плотности сопровождалось снижением пористости и воздухообеспеченности почвы. Твердость почвы была на тропе выше, чем возле тропы, в 1,3–1,5 раза. Последствия влияния пешего туризма на общие физические свойства прослеживалось до глубины 20–30 см, но наибольшие изменения были отмечены в верхнем (0–5 см) слое. Рекреационная нагрузка не оказала существенного влияния на агрегатный состав. Не обнаружено значительных изменений в элементном химическом составе почв, обусловленных влиянием туристско-рекреационной деятельности. Содержания биогенных элементов и свинца находятся в пределах фоновых значений и не превышают нормируемых значений. Обнаруженные высокие концентрации мышьяка не связаны с влиянием туристско-рекреационной деятельности.
Полный текст
Введение
В настоящее время туристская отрасль является одной из наиболее значимых в экономике многих регионов Российской Федерации. Одним из главных компонентов развития отдыха и туризма являются природные ресурсы и экологическая обстановка территории. Большинство публикаций посвящено изучению положительного влияния туристско-рекреационной деятельности на социально-экономическое развитие регионов, активного стимулирования сопутствующих отраслей экономики.
Вместе с тем в литературе наблюдается дефицит исследований по изучению влияния туризма и рекреации на природные экосистемы, а в имеющихся в основном дается качественная оценка изменений. При этом отрицательные последствия рекреационной деятельности, в частности вытаптывания, вполне очевидны и выражаются, в первую очередь, в изменении растительно-почвенного покрова. Последнее подтверждается исследованиями как отечественных [1, 2], так и зарубежных ученых [3–9].
Оценка степени непосредственного влияния туризма на окружающую среду имеет ряд сложностей методологии. По мнению Т.М. Кривошеевой [10], если рассматривать туризм как совокупность видов деятельности, становится практически невозможным измерить влияние туризма на окружающую среду.
Нами для количественной оценки влияния туристско-рекреационной деятельности на почвенный покров прилежащей территории Телецкого озера были взяты за основу показатели почвенно-экологического мониторинга, предложенные в [11].
Телецкое озеро находится под пристальным вниманием научного сообщества как уникальный природный объект мирового значения, выполняющий особую рекреационную роль на Алтае и нуждающийся во всестороннем исследовании. Проводимые исследования разнообразны и многоплановы. Они касаются изучения влияния туристско-рекреационной деятельности на отдельные компоненты окружающей среды, но носят также комплексный характер. Значительная часть Телецкого озера и прилежащей территории (восточная и северо-восточная) относится к Алтайскому государственному природному биосферному заповеднику. Граница заповедника проходит ориентировочно по середине озера, поэтому остальная часть открыта для широкого посещения туристами. Также в соответствии с Положением об Алтайском заповеднике можно посетить эколого-просветительские маршруты, расположенные в селе Яйлю (центральная усадьба Алтайского заповедника), на кордонах «Байгазан» и «Беле», водопаде Корбу.
В последние десятилетия сеть особоохраняемых природных территорий в Российской Федерации активно развивается, в большинстве из них осуществляются различные виды туризма и проводятся научные исследования [12–17].
В настоящее время возрастающая рекреационная нагрузка на окружающую среду сопровождается явным ущербом для неё. Наиболее наглядно этот процесс прослеживается в лесных массивах и береговых зонах водоемов. Опасность деградации лесных биогеоценозов, обеднения флористического разнообразия и разрушения почвенного покрова вызывает необходимость всестороннего изучения последствий рекреационного нарушения лесных земель.
Цель работы – оценка современного состояния почвенного покрова прилежащей территории Телецкого озера, формирующегося под влиянием возрастающих рекреационных нагрузок от туристско-рекреационной деятельности.
Объекты и методика исследования
Телецкое озеро находится в Кыга-Камгинском физико-географическом районе Северо-Восточной Алтайской провинции на территории Турочакского и Улаганского районов Республики Алтай.
Котловина озера лежит на абсолютной высоте 434,8 м, площадь 223 км2, средняя ширина 2,9 км, максимальная 5,2 км, длина 77 км. Максимальная глубина озера 325 м. Длина береговой линии более 180 км. Высота окружающих ее хребтов достигает 2100–2200 м. Озерная котловина имеет руслообразную форму с удлиненной меридиональной (50 км) и укороченной субширотной (28 км) частями, представляет собой узкую глубоко врезанную межгорную впадину с крутыми осыпными склонами, поросшими в северной части черневой тайгой, в центральной и южной частях – кедровыми и парковыми лиственничными лесами. На прилегающих к озеру горных склонах преобладают серые и бурые лесные почвы, реже маломощные горные черноземы [18].
Телецкое озеро проточное, в него впадают более 70 рек и речек, среди которых наиболее крупный приток – р. Чулышман, вносящая 67 % воды. Вытекает из озера только р. Бия. Озеро и его окрестности обладают исключительным многообразием растительного и животного мира, включая виды, занесенные в Красные книги России и Республики Алтай [19].
В ходе проведения исследований были использованы как традиционные подходы (ландшафтно-геохимический и биогеохимический), так и подходы, учитывающие специфику исследуемого объекта (бассейновый), методы исследований – сравнительно-географический и химический.
Точки опробования были выбраны на 12 притоках Телецкого озера (рис. 1). Номера точек опробования, обозначенные на картосхеме, также приведены по тексту статьи и указаны в таблицах и рисунках.
Следствием рекреационного влияния в горно-лесном поясе является развитая тропиночная сеть, приводящая к трансформации естественных экосистем (рекреационная дигрессия). Отбор проб проводили на типичных для исследуемой территории тропах с одновременным отбором на незатронутой рекреационной деятельностью территории.
Отбор проб почв осуществляли по ГОСТ 17.4.3.01-83.
Подстилку отбирали в местах, сопряженных с местом отбора почвенных проб с площади 0,25 м2. Одновременно определяли её мощность.
Изучаемые показатели почвенно-экологического мониторинга были разделены на показатели ранней, кратко- и долгосрочной диагностики [11]:
- Показатели ранней диагностики антропогенных изменений свойств почв: характеристики кислотно-основного и ионно-солевого режимов почв на основе анализа водных вытяжек, в которых определяли рН потенциометрическим методом и содержание анионов: СO32–, HCO3–, Cl–, SO42–, PO43–, и катионов: Ca2+, Mg2+, K+, Na+, NH4+ методом капиллярного электрофореза на системе Капель 105М.
- Показатели средней устойчивости: мощность и запасы подстилки – методами биогеоценотических исследований, содержание гумуса – методом мокрого сжигания по И.В. Тюрину.
- Показатели долгосрочной диагностики нарушений почвообразования при рекреационном воздействии: плотность – методом режущего кольца, плотность твердой фазы – пикнометрически, порозность – через соотношение плотности сложения почвы и плотности ее твердой фазы, воздухообеспеченность – расчетным методом, структурное (агрегатное) состояние – по Н.И. Савинову. Твердость почвы определяли в полевых условиях твердомером TYD-1 согласно прилагаемой инструкции.
Для оценки изменений свойств почв тропинок, подверженных разной нагрузке, за основу была взята классификация, предложенная в [1], – слабо-, средне- и хорошо выраженные, которая учитывает ширину, проективное покрытие живого напочвенного покрова и глубину уплотнения.
Валовое содержание биогенных и токсичных элементов в почве определяли методом РФА СИ (рентгено-флуоресцентный анализ с использованием синхротронного излучения) [20], в ИЯФ СО РАН.
Результаты исследования и их обсуждение
Одной из важнейших составляющих любой экосистемы является почва как центральное звено обмена вещества и энергии, поэтому при исследовании воздействия вытаптывания необходимо отдельно изучать изменения, происходящие в ней [21]. В большинстве работ зарубежных исследователей рассматривается влияние туристско-рекреационной деятельности на почвы и растительность [22–34].
Влияние туристско-рекреационной деятельности на показатели ранней диагностики антропогенных изменений свойств почв: реакцию и состав водной вытяжки почв. Реакция и состав водной вытяжки относятся к показателям ранней диагностики антропогенных изменений свойств почв, позволяющим обнаружить неблагоприятные процессы на начальных стадиях их развития.
Водная вытяжка представляет собой фильтрат, приготовленный из анализируемой почвы, после трехминутного взбалтывания взятой навески с пятикратным количеством воды. Анализ водной вытяжки показал некоторое уменьшение кислотности верхнего слоя почвы на тропе по сравнению с ненарушенной почвой (рис. 2). Подщелачивание почв в результате рекреационного воздействия также отмечается в литературе [35, 36]. Основной причиной этого считается снижение поступления опада на поверхность почвы, отсутствие лесной подстилки и прекращение воздействия на почву органических кислот при её разложении.
С другой стороны, выявлено снижение содержания кальция в водной вытяжке в почве под тропой в большинстве исследованных точек. Одной из наиболее объективных причин этого А.Б. Лысенков [36] называет более слабое проявление кислотного гидролиза и, соответственно, ослабление выщелачивания кальция из поглощающего комплекса.
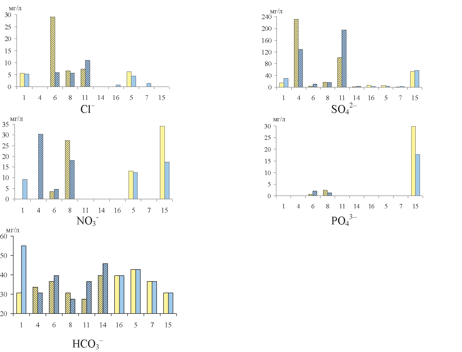
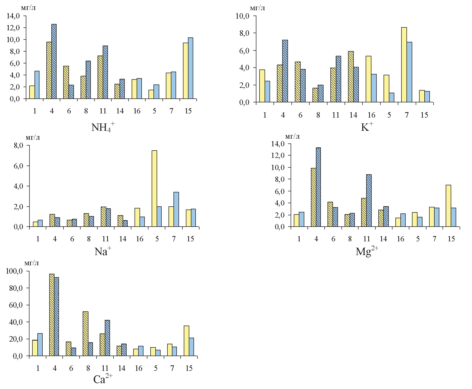
Существенное влияние вытаптывание оказывает на катионный (рис. 3) и анионный (рис. 4) состав водной вытяжки. Практически во всех точках опробования содержание аммонийного азота в почве под тропой ниже, чем на участках, незатронутых деятельностью рекреантов, что обусловлено более низкими запасами подстилки или полным её отсутствием. Несколько отличается картина по катионам калия, натрия и магния. Оценка содержания последних в почве показала, что на тропе концентрация калия в 70 %, натрия в 60 % и магния в 50 % исследованных точек была выше по сравнению с ненарушенными участками, что объясняется более высоким потреблением этих элементов растениями из почвы на незатронутой туристско-рекреационной деятельностью территории по сравнению с уплотненной почвой тропы.
Низкое содержание нитрат-ионов или их отсутствие связано с количеством подстилки, выносом минерального азота корнями и с атмосферными осадками. Отсутствие анионов фосфорной кислоты обусловлено низкой подвижностью последних в почве. На более низкое содержание нитратов и фосфатов в почвах рекреационных участков Катунского района Республики Алтай относительно фона указывают К.С. Павлова, Ю.В. Робертус, А.В. Кивацкая [37].
В 40 % исследованных точек туристско-рекреационная деятельность не оказала влияния на содержание гидрокарбонатов и сульфат-ионов в водной вытяжке. Низкое содержание или отсутствие хлорид-ионов связано с высокой подвижностью их в почве, обусловливающей вымывание атмосферными осадками и с поверхностным стоком.
Влияние туристско-рекреационной деятельности на показатели средней устойчивости. Среди почвенных горизонтов наибольшие изменения претерпевает подстилка. На начальных стадиях дигрессии в ходе вытаптывания происходит нарушение подстилки и с увеличением интенсивности рекреационного воздействия – её уничтожение. Подстилка играет значительную роль в функционировании экосистемы. Она является источником питательных элементов для растений и микроорганизмов, поддерживает благоприятный микроклимат почвы, сглаживая температурные колебания и испарение с поверхности, предохраняет почву от эрозии, а в зимний период – от глубокого промерзания. В условиях уплотненных почв происходят морфологические изменения, мешающие выполнению данных функций [38].
Рис. 3. Содержание катионов в почвенной вытяжке, мг/л
Fig. 3. Cation content in soil extract, mg/l
Рис. 4. Содержание анионов в почвенной вытяжке, мг/л
Fig. 4. Anion content in soil extract, mg/l
Вытаптывающее действие рекреантов вызывает нарушение подстилки, уменьшение её мощности и полное уничтожение в зоне троп. Под влиянием вытаптывания она уплотняется, перетирается и измельчается. Измельченная подстилка выдувается ветром и легко смывается водами поверхностного стока. Крупная фракция перемещается пешеходами, в результате чего вдоль тропинок образуются «валики» подстилки. Подстилка на тропинках характеризуется высокой фрагментарностью и неоднородностью состава. Мощность её варьирует от 1 до 2 см. В то время как на участках, неподверженных вытаптыванию, этот показатель изменяется от 2 до 5 см (рис. 5, а). Интегральным показателем, характеризующим состояние подстилки, является ее запас. Изменения запасов подстилки на тропинках по сравнению с фоном представлены на рис. 5, б.
По полученным данным запасы подстилки на средневыраженных тропинках снижаются более чем в 2,7 (устье р. Чулышман) – 4 (устье р. Б. Чили) раза. При этом на хорошо выраженных тропинках, распространенных на территории Алтайского государственного биосферного заповедника, где нет бессистемного хождения по территории, подстилка отсутствует вообще. На слабовыраженных тропинках запасы подстилки даже выше, чем на незатронутой территории (р. Чеченек) или на тропках, расположенных рядом с тропой, отсыпанной щебнем (р. Тевенек). О.Е. Марфениной [39] было показано, что уменьшение запасов подстилки на рекреационно используемых территориях связано не только с ее вытаптыванием или перераспределением, но и с активизацией в ней процессов микробной, в том числе и грибной, деструкции. Деятельность деструкторов стимулируется предварительным измельчением подстилки в результате рекреационного воздействия и перемешиванием измельченных фрагментов с почвой. Усиление процессов микробной деструкции было зафиксировано аппликационным методом уже на следующий год после одного сезона рекреационной нагрузки. Авторы [40] указывают на воздействие антропогенного вытаптывания на органическое вещество почвы и почвенные микробиологические процессы в пригородных буковых лесах.
Представленные на рис. 6 данные свидетельствуют о неоднозначном влиянии туристско-рекреационной деятельности на содержание гумуса в почве. В одном случае оно не изменилось (точки 1 и 14), в другом – снизилось (точки 7,11,16), в третьем – увеличилось (точки 4,6,8,15,18).
Причинами снижения содержания гумуса при воздействии вытаптывания являются уменьшение поступления количества органических остатков и эрозия верхних гумусово-аккумулятивных горизонтов. Увеличение содержания гумуса обусловливается внедрением в верхний слой почвы фрагментов опада и усилением процесса биохимической деструкции подстилки при ее постоянном перемешивании [1].
Влияние туристско-рекреационной деятельности на показатели долгосрочной диагностики нарушений почвообразования при рекреационном воздействии. Плотность почвы – это важнейшее ее свойство, от которого зависит газообмен, поступление и передвижение воды, ее запасы в корнеобитаемом слое. Увеличение плотности приводит к переорганизации естественного сложения почвенного материала поверхностных горизонтов. Вытаптывание приводит к изменению плотности поверхностного слоя почвы в результате как прямого, так и косвенного уплотнения. Опосредованное влияние рекреационной деятельности связано с изменениями в растительном покрове. Неконтролируемые высокие рекреационные нагрузки могут приводить к уменьшению сомкнутости крон, разрежению древостоя, исчезновению подлеска и подроста. Это приводит к увеличению освещенности и смене подпологовой травянистой растительности на светолюбивую злаково-разнотравную, которая способствует «естественному» косвенному уплотнению почвы на 0,3–0,4 г/см3 [21]. Прямое уплотнение, в отличие от косвенного, на начальных стадиях дигрессии может нивелироваться упругостью напочвенного покрова и естественным восстановлением свойств почв в результате циклов промораживания–оттаивания [41].
Рис. 7. Плотность почвы, г/см3. Номера графиков соответствуют точкам опробования на рис. 1
Fig. 7. Soil density, g/cm3. The graph numbers correspond to the sampling sites in Fig. 1
Влияние вытаптывания прослеживается до глубины 20–30 см, но наибольшие изменения отмечаются в верхнем (0–5 см) слое. Исследования показали, что влияние рекреационных нагрузок привело к увеличению плотности верхнего (0–5 см) слоя почвы в 1,2–1,7 раза (рис. 7), но абсолютные значения не превышают 1,24 г/см3. Оптимальной плотностью почв для древесной растительности являются значения от 0,9 до 1,45 г/см3 [42]. Выпадение лесных видов травяных растений происходит при плотности почв 1,2–1,3 г/см3 [43].
На глубине 10–20 см плотность почвы на тропе возрастала не более чем в 1,1–1,4 раза, а иногда была даже ниже, чем на участках, незатронутых рекреационной деятельностью. На глубине 20–30 см эти различия практически стирались.
На влияние вытаптывания на плотность почвы указывает D.N. Cole [44].
Плотность твердой фазы – более стабильный показатель по сравнению с плотностью почвы. Величина плотности твердой фазы почвы зависит от ее химического и минералогического составов и определяется средней величиной плотности вещества, составляющего данную почву.
В состав минеральной части почвы в качестве основных минералов входят кварц, полевой шпат, глинистые минералы, плотность которых варьирует в пределах от 2,4 до 2,8 г/см3. В то же время в почве содержится гумус с плотностью около 1,4 г/см3. Поэтому в малогумусированных почвах плотность твердой фазы колеблется в пределах 2,6–2,8 г/см3, а в богатых гумусом – 2,4–2,5 г/см3. Этим и вызваны различия значений плотности твердой фазы почвы на тропе и на участках, незатронутых рекреационной деятельностью, в слое 0–5 см (рис. 8). С глубиной эти различия нивелируются. В нижележащих горизонтах этот показатель выше и соответствует плотности твердой фазы для минеральных почв – от 2,4 до 2,8 г/см3.
Рис. 8. Плотность твердой фазы, г/см3. Номера графиков соответствуют точкам опробования на рис. 1
Fig. 8. Solid phase density, g/cm3. The graph numbers correspond to the sampling sites in Fig. 1
Отдельные гранулометрические (механические) элементы и агрегаты обычно неплотно прилегают друг к другу. Поэтому между ними образуются промежутки, различные по величине и форме, которые называются порами. Совокупность этих пор составляет пористость (порозность, скважность) почвы. С общей пористостью связаны водо- и воздухопроницаемость, влагоемкость и некоторые другие важные характеристики почв. Пористость, размер и форма пор зависят от гранулометрического состава (величины и формы гранулометрических элементов), структуры почвы – количества, величины и формы агрегатов, а также от расположения их относительно друг друга. Поэтому пористость различных почв и даже разных горизонтов одной и той же почвы неодинаковая.
Пористость исследуемых почв находится в обратной зависимости от плотности, т. е. с глубиной снижается (рис. 9). Согласно качественной оценке общей пористости Н.А. Качинского пористость в слое 0–5 см варьирует от неудовлетворительной до избыточно пористой на тропе и от удовлетворительной до отличной – на участках, незатронутых вытаптыванием. В нижележащих горизонтах пористость снижается, достигая величин, соответствующих чрезмерно низкой, характерной для иллювиальных горизонтов.
Степень аэрации (воздухообеспеченности) почвы характеризуется объемом, занятым почвенным воздухом в 100 см3. Степень аэрации является важным показателем состояния почв и зависит от заполненности пор почвы водой. Когда вода заполняет все поры, развиваются восстановительные процессы, угнетающие развитие растений и многих представителей микронаселения почв.
Рис. 9. Пористость почвы, %. Номера графиков соответствуют точкам опробования на рис. 1
Fig. 9. Soil porosity, %. The graph numbers correspond to the sampling sites in Fig. 1
Рис. 10. Воздухообеспеченность почвы, %. Номера графиков соответствуют точкам опробования на рис. 1
Fig. 10. Air content in soil, %. The graph numbers correspond to the sampling sites in Fig. 1
Показатель воздухообеспеченности исследуемых почв тропы ниже, чем на участках, незатронутых вытаптыванием рекреантами (рис. 10). В обычных условиях воздухообеспеченность верхних горизонтов выше, чем нижележащих. В наших исследованиях в период экспедиционных работ были дни с осадками, поэтому часть пор была занята просочившимися атмосферными осадками.
Наиболее объективным показателем для определения рекреационного влияния на почву является твердость почвы. Твердость – это сопротивление почвы проникновению в нее тела (металлического плунжера) определенной формы, мера механической проницаемости почв.
Результаты определения твердости почвы представлены на рис. 11.
Твердость почвы была на тропе выше, чем возле тропы, в 1,3–1,5 раза. На увеличение твердости почвы под влиянием рекреационных нагрузок указывают и другие исследователи [45].
Структура, или агрегатный состав, почв относится к показателям долгосрочной диагностики нарушений почвообразования при рекреационном воздействии. Показатели долгосрочной диагностики нарушений формируются в результате относительно длительных однонаправленных процессов и поэтому требуют измерений через 10 лет и более. Под структурой почвы понимают совокупность агрегатов, или структурных отдельностей, различной величины, формы, пористости механической прочности и водопрочности. Агрегаты диаметром больше 0,25 мм называются макроагрегатами, мельче 0,25 мм – микроагрегатами. Ценными являются агрегаты с размером от 0,25 до 10 мм, обладающие пористостью и водопрочностью, такая структура обусловливает наиболее благоприятный водно-воздушный режим почвы.
В наших исследованиях рекреационная нагрузка не оказала влияния на агрегатный состав почвы (табл. 1).
Таблица 1. Агрегатный состав почвы
Table 1. Aggregate composition of soil
№ точки отбора (рис. 1) Sampling site no. (Fig. 1) | Место отбора Sampling site | Фракции частиц Particle fractions, % | Состояние Condition | Коэффициент структурности Structural coefficient | Состояние Condition | ||
<0,25 | 0,25–10 | >10 | |||||
15 | тропа/trail | 10 | 81 | 9 | отличное excellent | 4,26 | отличное excellent |
возле тропы near the trail | 7 | 83 | 10 | 4,88 | |||
11 | тропа/trail | 8 | 83 | 9 | 4,88 | ||
возле тропы near the trail | 10 | 82 | 8 | 4,56 | |||
8 | тропа/trail | 13 | 77 | 20 | 2,33 | ||
возле тропы near the trail | 30 | 67 | 7 | 1,81 | |||
6 | тропа/trail | 15 | 79 | 6 | 3,76 | ||
возле тропы near the trail | 25 | 70 | 5 | 2,33 | |||
4 | тропа/trail | 17 | 56 | 27 | хорошее good | 1,27 | хорошее good |
возле тропы near the trail | 23 | 59 | 18 | 1,44 | |||
1 | тропа/trail | 5 | 90 | 5 | отличное excellent | 9,00 | отличное excellent |
возле тропы near the trail | 7 | 86 | 7 | 6,14 | |||
5 | тропа/trail | 5 | 87 | 8 | 6,69 | ||
возле тропы near the trail | 21 | 71 | 8 | 2,45 | |||
7 | тропа/trail | 5 | 94 | 1 | 15,67 | ||
возле тропы near the trail | 24 | 63 | 13 | 1,70 | |||
14 | тропа/trail | 3 | 77 | 20 | 3,35 | ||
возле тропы near the trail | 3 | 75 | 22 | 3,00 | |||
16 | тропа/trail | 8 | 83 | 9 | 4,88 | ||
возле тропы near the trail | 6 | 87 | 7 | 6,69 | |||
По содержанию наиболее ценных частиц (0,25–10 мм) в 80 % исследованных точек агрегатное состояние почвы оценивалось как отличное и в 20 % – как хорошее. При этом различия данного показателя на тропе и возле неё были незначительными. В половине точек опробования содержание частиц размером от 0,25 до 10 мм на тропе было чуть выше, чем рядом с тропой. Аналогичная картина наблюдалась при оценке агрегатного состояния почвы и по величине коэффициента структурности (0,25–10/(<0,25+>10). Снижение содержания ценных частиц в почвах в местах, неподверженных вытаптыванию, обусловлено, вероятно, повышением содержания микроагрегатов (ила) за счет привноса их во время паводков. На тропах же эти частицы удаляются при передвижении туристов.
Если о вышеуказанных показателях в литературе имеются данные, хоть в небольшом количестве, то по элементному химическому составу почв они крайне ограничены [46].
Таблица 2. Содержание биогенных и токсичных элементов, мг/кг
Table 2. Content of biogenic and toxic elements, mg/kg
№ точки отбора (рис. 1) Sampling site no. (Fig.1) | Глубина отбора, см Sampling depth, cm | Место отбора Sampling site | К | Ca | Mn | Fe | Cu | Zn | Mo | As | Pb |
15 | 0–5 | тропа/trail | 7700 | 8400 | 680 | 37100 | 10,9 | 71 | 2,6 | 18,0 | 16,3 |
5–30 | 9700 | 11200 | 560 | 38800 | 17,2 | 50,4 | 1,3 | 11,3 | 18,2 | ||
0–5 | возле тропы near the trail | 6600 | 7400 | 430 | 36500 | 8,0 | 56 | 2,7 | 14,6 | 13,7 | |
5–30 | 9100 | 10700 | 510 | 37900 | 12,6 | 47,2 | 2,3 | 11,2 | 14,7 | ||
18 | 0–5 | тропа/trail | 9100 | 7900 | 340 | 40500 | 13,6 | 51,1 | 2,7 | 6,6 | 11,3 |
5–10 | 9400 | 8500 | 420 | 38000 | 9,8 | 49 | 2,1 | 8,0 | 8,1 | ||
0–5 | возле тропы near the trail | 9500 | 9200 | 370 | 35000 | 13,9 | 51 | 2,7 | 7,3 | 10,2 | |
5–10 | 12200 | 9500 | 490 | 44600 | 15,5 | 56 | 2,3 | 11,5 | 7,9 | ||
11 | 0–5 | тропа/trail | 12300 | 16000 | 770 | 32000 | 13,6 | 88 | 2,1 | 2,5 | 17,4 |
5–30 | 10200 | 11500 | 670 | 37100 | 14,6 | 47,2 | 1,0 | 2,9 | 19,4 | ||
0–5 | возле тропы near the trail | 11300 | 11500 | 770 | 42300 | 9,1 | 60 | 1,8 | n/o | 18,0 | |
5–30 | 9200 | 9600 | 600 | 27500 | 15,9 | 46,7 | 1,1 | 2,8 | 23,2 | ||
12 | 0–5 | 13400 | 8700 | 620 | 43900 | 24,0 | 40,6 | 2,2 | 9,8 | 14,2 | |
8 | 0–5 | тропа/trail | 8600 | 12600 | 810 | 50100 | 9,1 | 57 | 2,0 | n/o | 12,3 |
5–30 | 9100 | 14500 | 830 | 34000 | 16,8 | 60,0 | 1,4 | 3,3 | 15,7 | ||
0–5 | возле тропы near the trail | 10000 | 14100 | 830 | 41300 | 11,5 | 62 | 3,5 | n/o | 12,4 | |
5–30 | 8900 | 12500 | 770 | 32400 | 15,0 | 54,0 | 0,8 | 1,5 | 14,0 | ||
6 | 0–5 | тропа/trail | 11200 | 13600 | 800 | 44000 | 11,5 | 69 | 1,8 | n/o | 12,9 |
5–30 | 10800 | 11500 | 820 | 32700 | 21,2 | 57,0 | 1,1 | 2,5 | 13,6 | ||
0–5 | возле тропы near the trail | 9100 | 10100 | 540 | 28900 | 8,0 | 56 | 1,5 | n/o | 9,6 | |
5–30 | 10700 | 12000 | 670 | 30800 | 17,7 | 52,2 | 0,9 | 3,4 | 12,4 | ||
3 | 0–5 | 12500 | 14800 | 1000 | 39300 | 30,2 | 71 | 1,8 | 15,0 | 10,5 | |
4 | 0–5 | тропа/trail | 13100 | 11900 | 750 | 37100 | 14,8 | 73 | 1,5 | 3,5 | 11,0 |
5–30 | 10500 | 11400 | 820 | 35200 | 25,9 | 64,0 | 1,4 | 4,7 | 17,7 | ||
0–5 | возле тропы near the trail | 11800 | 11800 | 750 | 34800 | 15,9 | 70 | 1,8 | 3,3 | 12,2 | |
5–30 | 16800 | 16000 | 1050 | 43400 | 27,1 | 78,0 | 1,5 | 10,6 | 13,5 | ||
1 | 0–5 | тропа/trail | 7900 | 20700 | 810 | 38600 | 24,4 | 60 | 2,2 | 7,2 | 13,6 |
5–30 | 9900 | 12500 | 600 | 32800 | 11,1 | 48,1 | 1,3 | 9,4 | 9,3 | ||
0–5 | возле тропы near the trail | 9100 | 12700 | 520 | 30300 | 9,3 | 54,4 | 1,6 | 6,6 | 8,7 | |
5–30 | 8300 | 14900 | 730 | 37900 | 16,0 | 49,6 | 1,2 | 10,7 | 11,4 | ||
5 | 0–5 | тропа/trail | 12500 | 12500 | 790 | 41500 | 27,8 | 167 | 1,4 | n/o | 12,2 |
5–30 | 9100 | 14500 | 1240 | 30800 | 27,5 | 113,0 | 1,1 | 4,2 | 47,0 | ||
0–5 | возле тропы near the trail | 9200 | 14000 | 1210 | 37700 | 32,4 | 562 | 1,6 | n/o | 100,0 | |
5–30 | 12200 | 16600 | 750 | 47200 | 20,9 | 50,7 | 1,2 | 3,8 | 11,8 | ||
7 | 0–5 | тропа/trail | 10300 | 21100 | 710 | 64100 | 17,7 | 55 | 1,6 | n/o | 11,3 |
5–30 | 11600 | 22300 | 850 | 48600 | 35,5 | 45,0 | 1,2 | 3,4 | 20,3 | ||
0–5 | возле тропы near the trail | 12000 | 19800 | 820 | 68300 | 25,0 | 51,9 | 1,5 | n/o | 8,3 | |
5–30 | 10700 | 19200 | 560 | 40800 | 33,3 | 41,0 | 1,2 | 4,2 | 10,2 | ||
14 | 0–5 | тропа/trail | 11900 | 10400 | 1060 | 39700 | 10,6 | 78 | 1,4 | 4,4 | 14,0 |
5–30 | 10400 | 10500 | 900 | 37700 | 12,3 | 64,0 | 1,1 | 7,2 | 17,0 | ||
0–5 | возле тропы near the trail | 9900 | 10400 | 680 | 40200 | 12,8 | 70 | 1,4 | 4,8 | 13,5 | |
5–30 | 11000 | 12400 | 1330 | 38800 | 20,1 | 70,0 | 1,1 | 9,7 | 13,0 | ||
16 | 0–5 | тропа/trail | 10900 | 9500 | 800 | 35100 | 8,8 | 65 | 1,2 | 8,4 | 14,3 |
5–30 | 8800 | 11300 | 780 | 30100 | 20,3 | 56,0 | 0,8 | 8,7 | 26,1 | ||
0–5 | возле тропы near the trail | 13100 | 11200 | 1270 | 43300 | 16,0 | 67 | n/o | 10,2 | 17,9 | |
5–30 | 9000 | 11000 | 730 | 33600 | 15,2 | 62,0 | 1,1 | 9,0 | 18,6 | ||
ОДК/Approximate permissible concentration (UEC) | нет | нет | 1500 | нет | 33 | 55 | нет | 2 | 32 | ||
n/o – не обнаружено (<0,5 мг/кг)/not detected (<0,5 mg/kg); жирным шрифтом выделены значения, превышающие ОДК/values in bold are those exceeding UEC concentrations.
В настоящее время нами не обнаружено значительных изменений в элементном химическом составе почв, обусловленных влиянием туристско-рекреационной деятельности (табл. 2). Содержания биогенных элементов (Mn, Cu, Zn) не превышают нормируемых значений для почв легкого гранулометрического состава (ОДК, 2009). Содержание остальных биогенных элементов находится в пределах фоновых значений. Благоприятная обстановка складывается по содержанию свинца, за исключением устья р. Большие Чили. Обнаружены высокие содержания другого токсичного элемента – мышьяка. Уровень этот не выходит за пределы фоновых концентраций мышьяка для незагрязненных почв мира (<1–95 мг/кг) [47], но превышает ОДК в 1,2–9 раз. Высокие концентрации мышьяка не связаны с влиянием туристско-рекреационной деятельности, а обусловлены, вероятно, геохимическим сродством элемента к фосфору и фосфоритоносностью отложений Алтае-Саянской горной страны [48]. Среднее валовое содержание мышьяка в педосфере Алтая по данным [49] составляет 17,6±1,0 мг/кг, изменяясь от 0,4 до 69 мг/кг.
Заключение
Следствием рекреационного влияния в прибрежной зоне горно-лесного пояса Телецкого озера является развитая тропиночная сеть, приводящая к трансформации естественных экосистем (рекреационная дигрессия).
Оценка результатов анализа свойств и состава почвы на тропе и на участках, незатронутых рекреационной деятельностью, показала существенное различие по ряду параметров.
Анализ водной вытяжки показал уменьшение кислотности, снижение содержания аммонийного и нитратного азота, фосфатов, изменения концентрации катионов кальция, калия и магния верхнего слоя почвы на тропе по сравнению с ненарушенной почвой.
Вытаптывающее действие рекреантов вызвало нарушение подстилки, уменьшение её мощности или полное уничтожение в зоне троп. Мощность её варьировала от 1 до 2 см. В то время как на участках, незатронутых туристско-рекреационной деятельностью, этот показатель изменялся от 2 до 5 см. Запасы подстилки на средневыраженных тропинках снизились более чем в 2,7–4,0 раза. При этом на хорошо выраженных тропинках, распространенных на территории Алтайского государственного биосферного заповедника, где нет бессистемного передвижения по территории, подстилка на немногочисленных или даже единственных тропинках отсутствует вообще. На слабовыраженных (свежих) тропинках запасы подстилки даже выше, чем на незатронутой территории или на тропках, расположенных рядом с тропой, отсыпанной щебнем. Полученные результаты свидетельствуют о неоднозначном влиянии вытаптывания на содержание гумуса в почве, выражающемся в увеличении или снижении его количества.
Влияние рекреационных нагрузок привело к увеличению плотности почвы верхнего (0–5 см) слоя в 1,2–1,7 раз, но абсолютные показатели не превышали критических значений для древесной и травянистой растительности. Увеличение плотности сопровождалось снижением пористости и воздухообеспеченности почвы. Твердость почвы была на тропе выше, чем возле тропы, в 1,3–1,5 раза. Рекреационная нагрузка не оказала существенного влияния на агрегатный состав – показатель долгосрочной диагностики нарушений почвообразования при рекреационном воздействии, которое оценивается примерно через 10 лет.
Влияние туристско-рекреационной деятельности на общие физические свойства прослеживалось до глубины 20–30 см, но наибольшие изменения были отмечены в верхнем (0–5 см) слое.
Не обнаружено значительных изменений в элементном химическом составе почв, обусловленных влиянием туристско-рекреационной деятельности. Содержания биогенных элементов и свинца находятся в пределах фоновых значений и не превышают нормируемых значений. Обнаруженные высокие концентрации мышьяка не связаны с влиянием туристско-рекреационной деятельности, а предположительно обусловлены геохимическим сродством элемента к фосфору и фосфоритоносностью отложений Алтае-Саянской горной страны.
Об авторах
Ольга Анатольевна Ельчининова
Институт водных и экологических проблем СО РАН
Автор, ответственный за переписку.
Email: eoa59@mail.ru
ORCID iD: 0000-0002-4482-9000
доктор сельскохозяйственных наук, директор Горно-Алтайского филиала
Россия, БарнаулСписок литературы
- Кузнецов В.А., Стома Г.В., Рыжова И.М. Зависимость изменений свойств почв тропинок и их импактных зон в лесопарках Москвы от уровня рекреационного воздействия // Вестник Московского университета. Серия: Почвоведение. – 2018. – № 2. – С. 19–28.
- Жигунова Т.С., Жигунов Э.А. Об оценке воздействия туризма на окружающую среду: проблемы взаимодействия // Экологическое равновесие: геоэкология, краеведение, туризм: Материалы X международн. научно-практ. конф. – СПб, 2021. – С. 75–78.
- Локтев Р.И. Систематический обзор методов оценки влияния массового туризма на природно-территориальные комплексы Cубарктики и Арктики // Вестник Карагандинского университета. Серия: Биология. Медицина. География. – 2021. – Т. 104. – № 4. – С. 155–165.
- Кенжебек У.А. Кыргызстандагы туризм тармагынын өнүгүүсү жана анын айлана-чөйрөгө таасири // Наука, новые технологии и инновации Кыргызстана. – 2021. – № 4. – С. 153–155. doi: 10.26104/NNTIK.2019.45.557
- Абдрказакова Л.С., Ким П.Г., Тулегенов А.М. Проблемы и перспективы развития экологического туризма на территории Республики Казахстан // Chronos. – 2022. – Т. 7. – № 4 (66). – С. 111–117. EDN: ZEYZXJ
- Мадышева А.М., Темиралиева З.С. Перспективы развития туристских трансграничных территорий РФ и РК // М. Рыскулбеков атындагы Кыргыз экономикалык университетинин кабарлары. – 2023. – № 3 (60). – С. 174–177.
- Buckly R. Environmental impacts of ecotourism. – Cambridge, USA: CABI Publ., 2004. – 389 p.
- Cakir M., Makineci E., Kumbasli M. Comparative study on soil properties in a picnic and undisturbed area of Belgrad Forest, Istanbul // Journal of Environmental Biology. – 2010. – Vol. 31 (1–2). – Р. 125–128.
- Cole D.N. Changing conditions on wilderness campsites: Seven case studies of trends over 13 to 32 years. – Fort Collins: Rocky Mountain Research Station, 2013. – 99 p.
- Кривошеева Т.М. К вопросу изучения влияния туризма на экологическую обстановку и социо-культурное природное пространство, в том числе в границах удаленных территорий // Сервис в России и за рубежом. – 2018. – Т. 12. – Вып. 3. – С. 25–38. doi: 10.24411/1995-042Х-2018-10302
- Гpишина Л.А., Копцик Г.Н., Моргyн Л.В. Организация и проведение почвенных исследований для экологического мониторинга. – М.: Изд-во МГУ, 1991. – 82 с.
- Оценка рекреационной нагрузки на Тебердинский государственный природный биосферный заповедник / Т.Г. Зеленская, Е.Е. Степаненко, С.В. Окрут, Ю.А. Безгина, В.А. Халикова // Успехи современного естествознания. – 2021. – № 11. – С. 58–63. doi: 10.17513/use.37713
- Кулакова С.А., Зайцев А.А. Трансформация природной среды на особо охраняемых природных территориях и ее влияние на экологическую комфортность // Географический вестник. – 2016. – № 4 (39). – С. 91–99. doi: 10.17072/2079-7877-2016-4-91-99
- Старков Е.В. Влияние рекреации на ландшафты Богдинско-Баскунчакского заповедника // Географические науки и образование: Материалы XIV Всероссийской научно-практической конференции. – Астрахань, 14 мая 2021. – С. 37–40.
- Богданова О.В., Окмянская В.М. Анализ основных подходов к использованию объектов особо охраняемых природных территорий // Международный сельскохозяйственный журнал. – 2021. – Т. 64. – № 1. – С. 207–219. doi: 10.24411/2588-0209-2021-10293
- Эколого-геохимические особенности почв заповедника «Опукский» (Республика Крым) и влияние антропогенного фактора на его природно-территориальные комплексы / П.С. Зеленковский, Е.Н. Соловьева, А.И. Гришнякова, Ю.М. Чубарова, В.П. Исиков, И.А. Сикорский // Геология Крыма. Ученые записки кафедры осадочной геологии: сборник статей. – СПб, 2021. – Вып. 3. – С. 126–139.
- Бакаева В.С. Экологический туризм на особо охраняемых природных территориях // Устойчивое развитие: перед лицом глобальных вызовов: Сборник материалов конференции. – СПб, 25–27 мая 2023. – С. 319–325.
- Робертус Ю.В. и др. Особо охраняемые природные территории Республики Алтай. Современное состояние и перспективы развития: монография // WWF России, Алтай. регион. ин-т экологии, ГПБЗ «Катунский». – Красноярск, 2012. – 118 c.
- Кадастр особо охраняемых природных территорий Республики Алтай / A.M. Маринин, Н.П. Малков, А.В. Бондаренко, А.Г. Манеев, М.Г. Сухова, Ю.В. Робертус, О.В. Климова, И.А. Машошина, Л.В. Байлагасов. – Барнаул: Азбука, 2014. – 456 с.
- Piminov P.A. Synchrotron radiation research and application at VEPP-4 // Physics Procedia. – 2016. – Vol. 84. – Р. 19–26.
- Бганцова В.А., Бганцов В.Н., Соколов Л.A. Влияние рекреационного лесопользования на почву // Природные аспекты рекреационного использования леса. – М.: Наука, 1987. – С. 70–95.
- Crawford A.K., Middle M.J. The effect of trampling on neutral grassland // Biological Conservation. – 1977. – Vol. 12. – Iss. 2, September. – P. 135–142. doi: 10.1016/0006-3207(77)90066-0
- Manning R.E. Impacts of recreation on riparian soils and vegetation // Water Resour. Bull. – 1979. – Vol. 15. – Р. 30–43.
- Lockaby B.G., Dunn B.A. Camping effects on selected soil and vegetative properties // Soil Water Conservation. – 1984. – Vol. 39. – Р. 215–216.
- Cole D.N., Bayfield N.G. Recreational trampling of vegetation: standard experimental procedures // Biological Conservation. – 1993. – № 63. – Р. 209–215.
- Sun D., Liddle M.J. A survey of trampling effects on vegetation and soil in eight tropical and subtropical sites // Environmental Management. – 1993. – Vol. 17. – Р. 497–510.
- Marion J.L., Cole D.N. Spatial and temporal variation in soil and vegetation impacts on campsites // Ecological Applications. – 1996. – № 6. – Р. 520–530.
- Kutiel P., Zhevelev Y. Recreational use impact on soil and vegetation at picnic sites in Aleppo pine forests on Mount Carmel, Israel // Israel Journal of Plant Sciences. – 2001. – Vol. 49. – Р. 49–56. doi: 10.1560/G2L1-8U80-5XNQ-G38C
- Thurston E., Reader R.J. Impacts of experimentally applied mountain biking and hiking on vegetation and soil of a deciduous forest // Environmental Management. – 2001. – Vol. 27. – № 3. – Р. 397–409. doi: 10.1007/s002670010157
- Dawson Ch.P., Hendee J.C. Wilderness management: stewardship and protection of resources and values. – Lakewood: Fulcrum Publ., 2008. – 544 р.
- Lederer Ch., Schober R. Tourismus und ökologische Folgen. – Salzburg: Fachgeographische Übung bei MMag, 2003. – 12 s.
- Experimental trampling and vegetation recovery in some forest and healthland communities / P. Roovers, K. Verheyen, M. Hermy, H. Gulinck // Applied Vegetation Science. – 2004. – Vol. 7. – Р. 111–118. doi: 10.1111/j.1654-109X.2004.tb00601.x
- Comparing the impacts of hiking, skiing and horse riding on trail and vegetation in different types of forest / A. Torn, A. Tolvanen, Y. Norokorpi, R. Tervo, P. Siikamaki // Journal of Environmental Management. – 2009. – Vol. 90. – Р. 1427–1434. doi: 10.1016/j.jenvman.2008.08.014
- Zhongdong W.U. The study on impact of soil physicochemical properties and vegetation by tourism - the case of Lushan Forest Park in Shandong province Zibo city // Proceedings of 2010 International symposium on tourism resources and management. – Washington, 29–31 October 2010. – Р. 250–255.
- Лысиков А.Б., Судницына Т.Н. Влияние рекреации на почву лиственных насаждений Серебряноборского опытного лесничества // Лесоведение. – 2008. – № 3. – С. 47–56.
- Лысенков А.Б. Влияние рекреации на состояние почв в городских лиственных лесах // Лесоведение. – 2011. – № 4. – С. 11–20.
- Павлова К.С., Робертус Ю.В., Кивацкая А.В. Характер изменения свойств и состава почв рекреационых территорий (на примере Катунского района Республики Алтай) // Мир науки, культуры, образования. – 2013. – № 1 (38). – С. 338–342.
- Effects of recreational usage-type and density on forest floor organic matter in Abant Nature Park / H. Muderrisoglu, M. Sarginci, B. Toprak, S. Uzun // 1st International Turkey & Japan environment and forestry symposium. – Trabzon,
- 07–10 November 2010. – Р. 1562–1574.
- Марфенина О.E. Антропогенная экология почвенных грибов. – М.: Изд-во «Медицина для всех», 2005. – 196 с.
- Short-term and long-term effects of human trampling on above-ground vegetation, soil density, soil organic matter and soil microbial processes in suburban beech forests / M. Kissling, K.T. Hegetschweiler, H.-P. Rusterholz, B. Baur // Applied Soil Ecology. – 2009. – Vol. 42. – Р. 303–314. doi: 10.1016/j.apsoil.2009.05.008
- Соколов Л.А. Зеликов В.Д. Изменение свойств почв в лесных биогеоценозах с высокой рекреационной нагрузкой // Лесоведение. – 1982. – № 3. – С. 16–23.
- Оборин М.С. Особенности анализа рекреационной и антропогенной нагрузки вследствие санаторно-курортной и туристской деятельности // Географический вестник. – 2010. – № 2. – С. 19–24.
- Спиридонов В.Н. Влияние уплотнения почвы на прирост деревьев в лесопарках Новосибирского научного центра // Известия СО АН СССР. Серия биологических наук. – 1975. – Вып. 2. – № 10. – С. 3–8.
- Cole D.N. Recreational impacts on backcountry campsites in Grand Canyon National Park, Arizona, USA // Environmental Management. – 1986. – Vol. 10. – Iss. 5. – Р. 651–659.
- Егоров А.Г. Изменение твердости почв прибрежных территорий среднего течения реки Томи в условиях рекреационного воздействия // Современные проблемы науки и образования. – 2010. – № 2. – С. 9–14.
- Особенности почв российских курортов черноморского побережья Северо-Западного Кавказа / В.А. Алексеенко, Н.В. Швыдкая, А.В. Пузанов, Г.П. Писаренко // Биологические системы: устойчивость, принципы и механизмы функционирования: Сборник статей V Всероссийской научно-практ. конф. – Нижний Тагил, 2017. – С. 11–16.
- Kabata-Pendias А. Trace elements in soils and plants. – Boca Raton, FL, USA: CRC Press/Taylor & Francis Group, 2010. – 548 p. doi: 10.1017/S0014479711000743
- Мальгин М.А., Пузанов А.В. Мышьяк в почвах юга Западной Сибири // Сибирский экологический журнал. – 1996. – № 2. – С. 199–210.
- Бабошкина С.В. Биогеохимическое поведение мышьяка в почвах Алтая // Ползуновский вестник. – 2004. – № 2. – С. 182–189.
Дополнительные файлы














