Calculation method of dynamic loads in plunger deep-well pumps for oil production
- Authors: Urazakov K.R.1, Gorbunov D.D.1
-
Affiliations:
- Ufa State Petroleum Technological University
- Issue: Vol 335, No 12 (2024)
- Pages: 7-17
- Section: Articles
- URL: https://journal-vniispk.ru/2500-1019/article/view/285780
- DOI: https://doi.org/10.18799/24131830/2024/12/4087
- ID: 285780
Cite item
Full Text
Abstract
Relevance. Plunger units, in particular rod and rodless ones with surface and submerged drive, are widely used in the oil industry for extraction of high-viscosity emulsion from marginal wells. The main advantage of such units is the possibility to operate in conditions of highly viscous emulsions with viscosity values up to 200–300 cPs. However, there are peculiarities of plunger unit operation, which lead to some complications. One of the most widespread complications is high wellhead pressure, which leads to increased dynamic loads on pump and drive units. Qualitative and precise definition of wellhead pressure value depending on well and unit parameters will contribute to more effective design, operation and evaluation of plunger unit reliability. Known studies and methods of wellhead pressure determination have limitations related to single-factor influence of some parameter on wellhead pressure values. This approach is not suitable for taking into account the simultaneous influence of several parameters. Aim. Development of calculation methodology, which allows taking into account complex influence of well operation parameters on wellhead pressure value and dynamic loads on plunger rods. Objects. Fund of wells equipped with borehole rod pump units. Methods. Statistical and regression analysis of the stock of wells equipped with downhole rod pumping units, development of a neural network. Results. A stock of wells equipped with downhole sucker-rod pumps, the technological mode of which is provided by one of the companies of Privolzhsky federal district, was investigated as an example, on the basis of the specified stock the factors influencing the value of wellhead pressure were established and the technique on its forecasting was developed. The authors have proposed the method for discarding the data with a wide range of values when analyzing the factors affecting the wellhead pressure. The method consists in excluding the values of fluid viscosity not lying on the "hump" characteristic of the function "fluid viscosity – watercut". The authors developed the calculation method based on regression dependences and neural network. It allows forecasting more accurately the value of loads on the pump rods.
Full Text
Введение
Актуальность точного определения значения устьевого давления обусловлена высокими динамическими нагрузками на колонну насосных штанг при эксплуатации установок скважинных штанговых насосов (УСШН), в особенности в случае добычи высоковязких эмульсий. Авторами [1] проведен анализ амплитуды и характера пульсации давления в насосно-компрессорных трубах (НКТ) в стендовых и промысловых условиях при различных значениях вязкости перекачиваемой жидкости.
На основе полученных данных было выявлено, что при откачке воды и маловязкой эмульсии пульсация давления приобретает меньшее значение по перепаду давления, но обладает большей частотой. При эксплуатации скважин с высоковязкой эмульсией амплитуда колебаний давления значительно возрастает, а высокочастотные колебания сглаживаются.
Необходимо также отметить, что перепады давления способствуют увеличению нагрузок на привод установки, а также снижению надежности штанг. Возбужденные колебания давления жидкости могут привести к усталостному разрушению и деформации вспомогательных элементов. По оценкам экспертов, причинами разрыва трубопроводов примерно в 60 % случаев являются гидроудары, перепады давления и вибрации, вызванные пульсациями давления [2].
В общем случае устьевое давление может быть приближенно определено согласно известной зависимости:
, (1)
где Pзаб – забойное давление, МПа; ρсмɡH – статическое давление столба жидкости на некоторой глубине, МПа; ΔPпот – потери давления при движении жидкости от забоя к устью, МПа; ρсм – средняя плотность смеси по стволу скважины, кг/м3; ɡ – ускорение свободного падения, м/с2; H – высота столба жидкости, м.
Недостаток уравнения (1) заключается в невозможности точного определения коэффициента потерь по длине скважины (при вычислении ), в связи с чем применение такого подхода дает лишь приближенный характер и не учитывает параметры скважины и установки (в частности, вязкость жидкости), влияющие на значение устьевого давления.
Известны исследования [2], где представлена методика по определению устьевого давления УСШН, оборудованной пружинным компенсатором колебаний давления. В работе установлена зависимость амплитуды колебаний давления от значения вязкости жидкости, однако не учтены прочие параметры технологического режима скважин – газовый фактор, обводненность и т. д.
В работе [3] представлена математическая модель по определению давления и скорости газожидкостной смеси в лифтовых трубах. Математическая модель, учитывающая законы сохранения массы и импульса для газожидкостного потока, базируется на нестационарном течении смеси в лифтовых трубах. Однако в представленной работе не учтен газовый фактор, влияющий на градиент давления по стволу скважины.
В этой связи проведен корреляционный анализ факторов, влияющих на устьевое давление плунжерных установок, разработана методика расчета по его прогнозированию и представлен способ по отбраковке данных с широким разбросом из выборки технологического режима.
Корреляционный анализ факторов, влияющих на устьевое давление установок скважинных штанговых насосов и установок плунжерных насосов с линейным электродвигателем
В качестве примера при проведении корреляционного анализа использован технологический режим параметров скважин, оборудованных УСШН и находящихся в работе по состоянию на конец декабря, одной из компаний Приволжского федерального округа в период с 2008 по 2022 гг. Исходная выборка включала более 200 скважин.
На основании характеристики, представленной в работе [4], произведена отбраковка скважин, неудовлетворяющих указанному физическому процессу (рис. 1). После корректировки выборка включала данные по более чем 50 скважинам. Исходя из представленного графика на рис. 1, текущее распределение значений не противоречит исследованиям в работе [4] при анализе указанной зависимости. Синие точки характеризуют фактические значения на основе промысловых данных, красная линия – аппроксимирующая кривая.
Рис. 1. Зависимость вязкости жидкости от обводненности (скорректированная выборка данных)
Fig. 1. Dependence of fluid viscosity on water cut (corrected data sample)
На основании полученного графика видно, что распределение вязкости приобрело вид близкий к полиномиальной функции, что подтверждается наличием высокой аппроксимации данных кривой, изображенной красным цветом.
Ввиду наличия нелинейной связи между параметрами при проведении корреляционного анализа использован критерий Спирмена [5–7]. В табл. 1 представлена матрица корреляций между различными параметрами и устьевым давлением.
Таблица 1. Матрица корреляций параметров и устьевого давления
Table 1. Matrix of parameters and wellhead pressure correlations
Параметры Parameters | Коэффициент Correlation coefficient | Коррелируемость Correlativity | ||
Умеренная Moderate | Заметная Notable | Высокая/сильная High/very high | ||
Внутренний диаметр эксплуатационной колоны, мм Inner diameter of the production well, mm | 0,29 | да yes | нет no | нет no |
Дебит жидкости Qж, м3/сут Fluid flow rate Ql, m3/day | –0,39 | да yes | нет no | нет no |
Обводненность (объемная), % Watercut (volumetric), % | –0,33 | да yes | нет no | нет no |
Замеренный газовый фактор, м3/т Measured gas factor, m3/t | 0,96 | нет no | нет no | да yes |
Pзаб, атм Pzab, atm | –0,01 | нет no | нет no | нет no |
Пластовое давление, атм Reservoir pressure, atm | –0,42 | да yes | нет no | нет no |
Динамический уровень, м Dynamic level, m | 0,006 | нет no | нет no | нет no |
Глубина спуска насоса, м Pump lowering depth, m | –0,27 | да yes | нет no | нет no |
Плотность нефти в поверхностных условиях Oil density in surface conditions | –0,8 | нет no | нет no | да yes |
Внешний диаметр НКТ, мм Tubing outer diameter, mm | –0,13 | нет no | нет no | нет no |
Вязкость жидкости в пластовых условиях, сПз Fluid viscosity in formation conditions, cPs | –0,83 | нет no | нет no | да yes |
Давление насыщения, атм Saturation pressure, atm | 0,73 | нет no | нет no | да yes |
Для классификации значимости корреляций применена шкала Чеддока:
- менее 0,2 – слабая зависимость;
- от 0,2–0,3 до 0,5 – умеренная зависимость;
- 0,5–0,7 – заметная зависимость;
- 0,7–0,9 – высокая зависимость;
- 0,9–0,99 – сильная зависимость.
Согласно представленной шкале разработана классификация по значимости превалирования влияния параметров на величину устьевого давления:
- внешний диаметр НКТ, забойное давление, динамический уровень – слабая зависимость с устьевым давлением;
- внутренний диаметр эксплуатационной колонны, подача насоса, обводненность, пластовое давление, глубина спуска насоса – умеренная зависимость с устьевым давлением;
- плотность нефти в поверхностных условиях, вязкость жидкости в пластовых условиях, давление насыщения – высокая зависимость с устьевым давлением;
- замеренный газовый фактор – сильная зависимость с устьевым давлением.
Физический смысл полученных корреляций заключается в следующем. Слабые зависимости не отражают действительности протекания физических процессов, к примеру, с увеличением диаметра НКТ устьевое давление снижается, что противоречит известным положениям гидродинамических исследований – с ростом проходного сечения подъемных труб снижаются потери давления по длине, вследствие чего устьевое давление должно напротив увеличиваться [8, 9].
Увеличение внутреннего диаметра эксплуатационной колонны, согласно проведенному анализу, приводит к увеличению устьевого давления, что, с одной стороны, согласуется с уменьшением потерь, однако уровень столба газа, находящегося в межтрубном пространстве при установившимся режиме, практически не изменяется, то есть является фактически квазистатичным (движение газа в межтрубном пространстве отсутствует из-за изменения уровня столба газа, либо присутствуют небольшие изменения уровня в течение достаточно продолжительного времени), напротив, с увеличением диаметра эксплуатационной колонны столб газа будет давить с меньшим усилием на динамический уровень жидкости и приводить к снижению устьевого давления. Это подтверждается относительно низкими коэффициентами корреляции между диаметрами НКТ, эксплуатационной колонны и устьевым давлением.
С увеличением подачи и глубины спуска насоса наблюдается снижение устьевого давления, что обусловлено наличием потерь по длине в условиях перекачки высоковязких эмульсий.
Обводненность жидкости физически не связана напрямую с устьевым давлением. Обводненность может быть лишь косвенной характеристикой, так как обводненность влияет напрямую на вязкость жидкости. С увеличением обводненности в интервале от 0 до 60 % вязкость растет, далее при обводненности свыше 60–70 %, ее величина снижается.
Увеличение пластового давления приводит к уменьшению устьевого давления, это связано со снижением процесса дегазации жидкости по стволу скважины при ее движении от забоя к устью, что влияет на газовый фактор, то есть чем выше пластовое давление относительно давления насыщения, тем ниже количество выделившегося газа и ниже устьевое давление.
Плотность нефти в поверхностных условиях, как и непосредственно обводненность, также лишь косвенно характеризует влияние на устьевое давление. В данном случае увеличение плотности нефти свидетельствует об увеличении обводненности на определенных интервалах, что приводит к увеличению вязкости жидкости, возрастанию гидравлических потерь и, как следствие, снижению устьевого давления.
Вязкость жидкости, как было отмечено выше, напрямую влияет на устьевое давление, связано это с наличием межмолекулярного трения между слоями, вследствие чего возрастают гидравлические потери по длине ствола скважины.
Высокое значение давления насыщения приводит к повышению устьевого давления, так как при наличии давления насыщения, близкого к пластовому давлению, наблюдается высокая степень дегазации жидкости по стволу скважины (высокий газовый фактор). Аналогично с увеличением газового фактора косвенно наблюдается более быстрый процесс дегазации жидкости и рост устьевого давления.
Ввиду отсутствия физичности нескольких коэффициентов корреляций (диаметры НКТ, эксплуатационной колонны), а также практически полного отсутствия корреляций между забойным давлением, динамическим уровнем и устьевым давлением в дальнейшем при проведении анализа указанные параметры исключаются из рассмотрения [10–12].
Регрессионный анализ факторов, влияющих на устьевое давление установок скважинных штанговых насосов и установок плунжерных насосов с линейным электродвигателем
На основе представленного корреляционного анализа отобраны параметры с высокой и весьма высокой степенью взаимосвязи с устьевым давлением. Получено регрессионное уравнение (с коэффициентами корреляции при анализе параметров с высокой и весьма высокой коррелируемостью и при анализе параметров с умеренной степенью коррелируемости), описывающее устьевое давление вида [13–15]:
(2)
где ГФ – газовый фактор, м3/т; – вязкость жидкости, сПз; – давление насыщения, атм; – дебит жидкости, м3/сут; – пластовое давление, атм; – глубина спуска насоса, м.
Далее представлен анализ параметров, включенных в уравнение (2). Вязкость жидкости имеет высокую корреляционную связь с газовым фактором и обводненностью, представленное уравнение имеет коэффициент корреляции :
(3)
где ГФ – газовый фактор, м3/т; – обводненность, %.
На рис. 2 представлен пример графического решение уравнения (3).
Рис. 2. Функция вязкости жидкости от обводненности и газового фактора
Fig. 2. Function of liquid viscosity on water content and gas factor
На основе полученного решения видно, что распределение значений выборки достаточно корректно описывается указанной функцией. С ростом газового фактора вязкость жидкости снижается, при этом учитывается единовременное влияние обводненности, в интервалах обводненности от 0 до 60 % вязкость жидкости растет, в интервалах от 60–70 до 100 % вязкость жидкости падает.
Далее произведен анализ параметров, влияющих на газовый фактор, установлено, что корреляция давления насыщения и газового фактора равна :
ГФ = -71.9154 + 49.7648log10 (Рнас ).
Аналогично получена зависимость давления насыщения от вязкости жидкости и плотности нефти в пластовых и поверхностных условиях соответственно. Получено, что с увеличением вязкости и плотности давление насыщения снижается. Связано это с тем, что при более низких значениях давления насыщения дегазация жидкости происходит менее интенсивно, что влияет на ее реологические свойства. Получено уравнение вида (c коэффициентом суммарной корреляции ):
где – плотность нефти в поверхностных условиях, г/см3.
Далее представлен анализ факторов, включенных в уравнение (2) и обладающих менее значимой коррелируемостью, а именно – Qж, РПЛ, НСП.
В ходе проведения анализа установлено, что на дебит жидкости влияют следующие параметры (с суммарным коэффициентом корреляции ):
(4)
где Ндин – динамический уровень, м; Рпл – пластовое давление, атм; Нсп – глубина спуска насоса, м.
Графическое решение уравнения (4) не представлено ввиду наличия четырех неизвестных переменных, одна из которых является зависимой и три независимыми.
Далее представлен анализ параметров, влияющих на динамический уровень столба жидкости, получено, что динамический уровень зависит от забойного и пластового давления, а также обводненности (суммарный коэффициент корреляции ):
где Рзаб – давление на забое, атм.
Пластовое и забойное давление связаны между собой следующим соотношением (коэффициент корреляции r = 0.65):
Методика прогнозирования устьевого давления на основе нейронных сетей и регрессионных уравнений
Ввиду необходимости учета большего количества параметров технологического режима скважины возникает потребность в поиске более точного метода. В качестве такого метода следует рассмотреть применение нейронных сетей для прогнозирования любых рассмотренных параметров УСШН. При этом стоит отметить возможность анализа более широкого диапазона параметров, помимо рассмотренных выше.
Цель разработки нейронной сети – выявить зависимость между устьевым давлением и независимыми параметрами для определения его прогнозируемого значения и возможности дальнейшего определения значений нагрузки на колонну насосных штанг.
При рассмотрении исходных данных для нейронной сети принимается зависимый параметр – устьевое давление, а также независимые параметры [16, 17]:
- глубина установки насоса Нсп:
- вязкость жидкости µж ;
- вязкость пластовой нефти µн;
- подача насоса Qж;
- газовый фактор ГФ;
- плотность нефти ρн:
- плотность воды рв;
- обводненность w:
- забойное давление Рзаб;
- пластовое давление Рпл;
- давление насьпцения Рнас;
- динамический уровень Ндин:
- внешний диаметр НКТ Dнкт;
- внутренний диаметр эксплуатационной колонны Dэ.
Рис. 3. Схема разработанной нейронной сети для прогнозирования устьевого давления
Fig. 3. Schem of the developed neural network for wellhead pressure prediction
Разработанная нейронная сеть базируется на модели многослойного персептрона (ММП). На рис. 3 представлена упрощенная схема нейронной сети ММП с учетом параметров, рассмотренных выше ( N – нейроны, входящие в состав скрытого слоя нейронной сети, φ – функция активации). Процесс обучения нейронной сети основан на методе обратного распространения (процесс обучения идет путем подбора весов сигнала от выходного нейрона к нейронам в скрытом слое и далее на входные нейроны).
Функции активации слоев полученной нейронной сети описываются следующими уравнениями:
,
где x – значение веса сигнала, приходящего на один нейрон (от 0 до 1).
.
При расчете варьировалось число скрытых нейронов в диапазоне от 15 до 350 штук. Рассчитанное количество нейронных сетей по схеме, представленной на рис. 3, составляет 700 штук. В результате отбракованы нейронные сети с неудовлетворительными результатами и получена нейронная сеть с коэффициентом корреляции r = 0,998.
Рис. 4. Распределение фактических и расчетных значений устьевого давления, вычисленных по нейронной сети и регрессионным уравнениям
Fig. 4. Distribution of actual and calculated values of wellhead pressure calculated by neural network and regression equations
Далее представлен расчет по разработанным уравнениям регрессии, а также нейронной сети. На рис. 4 представлен общий график расчетных значений, наложенных на фактические значения устьевого давления. Синие точки – фактические значения, красные точки – расчетные значения по нейронной сети, серые точки – расчетные значения по регрессионному уравнению (2) с коэффициентом корреляции 0,97, оранжевые точки – расчетные значения по регрессионному уравнению (2) с коэффициентом корреляции 0,53.
На основе полученных результатов видно, что регрессионное уравнение с коэффициентом корреляции 0,53 (Py.per.2) практически не описывает устьевое давление. Наиболее близкими к фактическим значениям являются расчетные значения по нейронной сети и регрессионному уравнению с коэффициентом корреляции 0,98 (Pу.ис, Py.per.2).
Методика расчета по определению нагрузок на колонну насосных штанг установок скважинных штанговых насосов
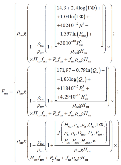
На основе расчетных или прогнозируемых значений устьевого давления при ограниченных исходных данных можно определить нагрузку на колонну штанг с учетом влияния многих факторов – вязкости жидкости, газового фактора, подачи насоса, глубины спуска насоса и др., указанных раннее [16–18].
Первый этап – определение устьевого давления. На основе полученного уравнения регрессии и разработанной нейронной сети расчетное устьевое давление можно представить в виде функции, разработанной на основе нейронной сети, либо зависимостями, описанными регрессионными уравнениями:
где Pсп – глубина установки насоса, м; µ – вязкость дегазированной нефти, мПа·с; Qж – теоретическая подача насоса, м3/сут; n – число качаний, мин–1; ГФ – газовый фактор, м3/м3; ρн – плотность нефти, кг/м3; ρв – плотность воды, кг/м3; Dикт – внешний диаметр НКТ, мм; Dэ – внутренний диаметр эксплуатационной колонны, мм; Pпл – пластовое давление, атм; Pнас – давление насыщения, атм; Pзаб – забойное давление, атм; Hдин – динамический уровень, м; w – обводненность, доли.
Второй этап – определение нагрузок на штанги. Непосредственный вес штанг при ходе плунжера вверх без учета сил трения, влияния вибрации определяется по формуле:
(5)
где ρшт – плотность материала штанг кг/м3; ρсм – средняя плотность смеси по длине скважины, кг/м3; fшт, fпл – площадь поперечного сечения тела штанг и плунжера соответственно, м2; Pу – устьевое давление, Па; Hсн – глубина спуска насоса, м.
Тогда с учетом формулы (5) вес штанг может определяться как функция от устьевого давления, задаваемая в нейронной сети с зависимыми входными параметрами
,
либо как функция от устьевого давления на основе регрессионного уравнения Pу.рег:
Рис. 5. Вычисленные погрешности разработанных регрессионных уравнений и нейронной сети
Fig. 5. Calculated errors of the developed regression equations and neural network
Предполагается, что при условии достаточной достоверности выборки значение веса штанг для дальнейшего расчета с учетом сил трения, вибрации принимается как наибольшее значение из указанных уравнений в системе для обеспечения некоторого запаса прочности [19, 20]. То есть вес штанг может определяться через значения устьевого давления на основе нейронной сети либо на основе полученного уравнения регрессии. На рис. 5 представлены графики расчетных и фактических значений нагрузок на колонну штанг при рассмотрении фонда скважин, обладающих интервалом устьевых давлений 3–18 атм. Серые точки – значения нагрузок на штанги на основе регрессионного уравнения устьевого давления, оранжевые точки – на основе , красные точки – значения нагрузок, полученные с помощью нейронной сети, и синие точки – значения нагрузок, вычисленные на основе фактической величины устьевого давления (за основу для сравнения принимаются именно эти значения нагрузок ввиду отсутствия фактических значений с динамограмм).
На основе полученных результатов видно, что расчетные значения по нейронной сети и регрессионному уравнению достоверно описывают фактические значения, однако второе регрессионное уравнение имеет большой разброс на всех интервалах значений устьевых давлений. Поэтому в дальнейшем при проведении расчетов исключается из применения уравнение до накопления выборки по параметрам, входящим в указанное уравнение.
Максимальная погрешность нейронной сети составляет 3,5 %, максимальная погрешность регрессионного уравнения – не более 1,35 %. Получено, что средняя погрешность нейронной сети составляет не более 0,19 %, а в случае применения регрессионного уравнения средняя погрешность составляет не более 0,37 %. В действительности средняя погрешность датчиков или приборов, применяемых при определении тех или иных параметров, может достигать свыше 5 %, поэтому фактическая погрешность указанной методики сопоставима с показаниями приборов.
Заключение
- Выявлена регрессионная зависимость вязкости жидкости от газового фактора и обводненности: установлено, что с увеличением газового фактора вязкость жидкости снижается, при этом вязкость также увеличивается в интервалах обводненности от 0 до 60 % и снижается в интервалах обводненности свыше 60 %. Получена зависимость газового фактора от давления насыщения: установлено, что с увеличением давления насыщения возрастает и газовый фактор. Получена зависимость давления насыщения от вязкости жидкости и плотности нефти: установлено, что при более высоких значениях плотности нефти и вязкости жидкости давление насыщения имеет меньшие значения по сравнению с более низкими величинами вязкости и плотности (диапазон применимости уравнений: газовый фактор – 0–24 м3/т, вязкость жидкости – 0–220 сПз, обводненность – 0–100 %, давление насыщения – 2–85 атм, плотность нефти – 0,884–0,906 г/см3 для месторождений, сложенных карбонатными и терригенными породами).
- На основе корреляционного анализа получено регрессионное уравнение (с коэффициентом корреляции 0,98) для определения устьевого давления в зависимости от значений газового фактора, вязкости жидкости и давления насыщения, а также разработана нейронная сеть, комплексно учитывающая параметры скважины и некоторые параметры насоса, позволяющая прогнозировать значение устьевого давления с коэффициентом корреляции 0,997.
- Предложена методика расчета нагрузок на колонну штанг, заключающаяся в применении разработанных нейронной сети и регрессионного уравнения (из указанных принимается наибольшее значение устьевого давления для обеспечения запаса прочности); получено, что средняя погрешность методики при расчете на основе нейронной сети составляет не более 0,19 и 0,37 % при расчете на основе регрессионного уравнения.
About the authors
Kamil R. Urazakov
Ufa State Petroleum Technological University
Email: urazakk@mail.ru
ORCID iD: 0000-0003-2202-396X
Dr. Sc., Professor
Russian Federation, 1, Kosmonavtov street, Ufa, 450038Danila D. Gorbunov
Ufa State Petroleum Technological University
Author for correspondence.
Email: danilka.9898@yandex.ru
ORCID iD: 0009-0005-2326-6498
Postgraduate Student
Russian Federation, 1, Kosmonavtov street, Ufa, 450038References
- Urazakov K.R. Operation of directional pumping wells. Moscow, Nedra Publ., 1993. 169 р. (In Russ.)
- Urazakov K.R., Gorbunov D.D., Zubairov S.G. The influence of fluid viscosity on the effectiveness of the wellhead spring pneumatic compensator of sucker-rod installations. Oil and Gas Business, 2021, vol. 19, no. 5, pp. 157–169. (In Russ.)
- Urazakov K.R., Timashev E.O. Dynamics of flow rate and pressure in the elevator pipes of plunger-driven pump units. Problems of collection, preparation and transport of oil and oil products, 2019, no. 4, pp. 82–88. (In Russ.)
- Tronov V.P. Field oil treatment. Kazan, Fen Publ., 2000. 414 p. (In Russ.)
- Kacapyr E. Simple regression analysis. Abingdon, Essential Econometric Techniques Publ., 2022. рp. 12–29. doi: 10.4324/9781003213758-2.
- Taback N. Design and analysis of experiments and observational studies using R. 1st ed. New York, Chapman & Hall Publ., 2022. 292 р. DOI: https://doi.org/10.1201/9781003033691.
- Muratov A.N., Bekasov R.D., Nurutdinov A.O., Nurislamov R.N., Murodov E.R., Nishov A.B. Mathematical Statistics. World Science, 2020, vol. 7, no. 40, рр. 1–12. (In Russ.)
- Belov A.E. Rod deep-well pump of inserted design. Patent RF, no. 217344 U1, 2023. (In Russ.)
- Akhmetshin R.A., Gafarov M.R., Timerzyanov M.G. Method of operation of inserted downhole rod pump. Patent RF, no. 2796714 C1. (In Russ.)
- Ivchenko G.I., Medvedev Yu.I. Mathematical statistics. Moscow, Librokom Publ., 2020. 352 p. (In Russ.)
- Stone J.V. Linear regression: a tutorial introduction to the mathematics of regression analysis (tutorial introductions). Sheffield, Sebtel Press Publ., 2022. 126 p.
- Hoffmann J.P. Linear regression models. London, Chapman and Hall/CRC, 2021. 420 p.
- Abdalla R., Abu El Ela M., El-Banbi A. Identification of downhole conditions in sucker rod pumped wells using deep neural networks and genetic algorithms (includes associated discussion). SPE Prod Oper, 2020, vol. 35, pp. 435–447. DOI: https://doi.org/10.2118/200494-PA.
- Langbauer C., Hartl M., Gall S., Volker L., Decker C., Koller L., Hönig S. Development and efficiency testing of sucker rod pump downhole desanders. SPE Prod Oper, 2020, vol. 35, pp. 406–421. DOI: https://doi.org/10.2118/200478-PA.
- Frost J. Regression analysis: an intuitive guide for using and interpreting linear models. State College, Statistics By Jim Publishing, 2020. 355 p.
- Li W., Vaziri V., Aphale S., Dong S., Wiercigroch M. Energy saving by reducing motor rating of sucker-rod pump systems. Energy, 2021, vol. 228, pp. 1–13. doi: 10.1016/j.energy.2021.120618.
- Moreno A.G., Garriz A.E. Sucker rod string dynamics in deviated wells. Journal of Petroleum Science and Engineering, 2020, vol. 184, pp. 1–12. DOI: https://doi.org/10.1016/j.petrol.2019.106534.
- Zakharov B.S. Special types of rod pumps. Exposition Neft Gaz. Naberezhnye Chelny, 2008. No. 2. (In Russ). Available at: https://cyberleninka.ru/article/n/spetsialnye-tipy-shtangovyh-nasosov (accessed 15 January 2024).
- Tagirova K.F., Vulfin A.M., Ramazanov A.M., Fatkhulov A.A. 4. Improving the efficiency of operation of the downhole rod pump unit. Oil economy, 2017, no. 7, pp. 82–85. (In Russ). doi: 10.24887/0028-2448-2017-7-82-85.
- Urazakov K.R., Gorbunov D.D. Method of operation of sucker-rod pumping unit. Patent RF, no. 2773593, 2022. (In Russ).
Supplementary files









