Quantum models in biology
- Authors: Syurakshin A.V.1, Saleev V.A.1, Yushankhai V.Y.2
-
Affiliations:
- Samara National Research University
- Bogoliubov Laboratory of Theoretical Physics, Joint Institute for Nuclear Research
- Issue: Vol 28, No 1-2 (2022)
- Pages: 74-94
- Section: Mathematical Modelling
- URL: https://journal-vniispk.ru/2541-7525/article/view/252653
- DOI: https://doi.org/10.18287/2541-7525-2022-28-1-2-74-94
- ID: 252653
Cite item
Full Text
Abstract
The penetration of quantum concepts into biological science, which began shortly after the creation of quantum mechanics, over the past two decades has taken shape in a new interdisciplinary scientific discipline — quantum biology. One of the key questions of quantum biology has been formulated as follows: are there biological systems that use quantum effects to perform a task that cannot be done classically? More broadly, do some kinds of organisms adapt efficient quantum mechanisms in the process of their evolutionary development in order to gain an advantage over their competitors? The range of topical problems of the new discipline discussed in this brief review includes questions of a general, historical and methodological character, and generalizes some theoretical models aimed at describing quantum processes, including bacterial photosynthesis, bird magnetoreception, and the mechanism of olfactory sense in living organisms.
Full Text
Введение
В последнее время можно наблюдать, как квантовые компьютеры и вычисления из разряда экзотических постепенно становятся областью рутинных теоретических и лабораторных поисков и исследований. На наш взгляд, что-то подобное происходит с областью, возникшей на стыке квантовой физики и биологии. Предпринятые еще создателями квантовой механики, Н. Бором и Э. Шредингером, усилия применить ее общие концепции к объяснению структуры и функционирования живых организмов получили дальнейшее развитие в работах многих исследователей. На этом пути сформулировано большое разнообразие суждений, прежде всего теоретического характера, отраженных в научной литературе. С учетом сложности исследуемого объекта – живых организмов, а также отсутствия на данном этапе возможности экспериментальной проверки, многие суждения на долгое время остаются в статусе фантазии, удачной визионерской догадки, спекуляции или, возможно, просто ошибочного утверждения. Вместе с тем за последние годы многие теоретические конструкции обрели статус хорошо разработанных научных гипотез, а некоторые из них получили экспериментальную проверку.
В данном кратком обзоре, посвященном применению квантовой механики к проблемам биологии, мы постарались затронуть как вопросы общего, методологического характера, так и рассмотреть конкретные примеры успешного применения математического формализма и моделей квантовой теории к описанию на атомно-молекулярном уровне процессов, происходящих в биосистемах. Особое внимание уделено детальному обсуждению процесса, лежащему в основе фотосинтеза, а именно квантовому транспорту электронного возбуждения – экситона.
1. Квантовая биология как междисциплинарная наука
1.1. От постановки проблем к целям
До двадцатого века пути биологии и физики практически не пересекались. Биологические системы считались слишком сложными и не поддающимися изучению глубокими математическими методами. Ведь как мог набор дифференциальных уравнений в совокупности с физическими принципами пролить свет на нечто столь сложное, как живое существо? В ХХ веке с появлением мощных микроскопов и методов лабораторного анализа открылись возможности более глубоко вникать в микроструктуру биологических систем на атомно-молекулярном уровне, что, в свою очередь, дало толчок к их теоретическому осмыслению с применением физическо- математических моделей. Среди первых исследователей на этом пути следует прежде всего упомянуть самих создателей квантовой механики. В статье, опубликованной в «Nature» в 1933 году, Нильс Бор [1] исследовал значение принципа дополнительности, одной из самых общих и фундаментальных концепций квантовой теории, для понимания тонкой организации живых организмов. Из этой статьи становится ясно, что еще в то время Бор представлял себе, что биофизику фотосинтеза в живых организмах придется описывать с привлечением квантовой теории. В своей книге «Что такое жизнь?», опубликованной в 1944 г., Э. Шредингер [2], применив аргументы статистической физики, предсказал несколько самых общих функциональных особенностей молекулярных носителей наследственности.
На определенном этапе естественным образом возник вопрос: могут ли, как указал Н. Бор, не только общие принципы квантовой физики, но и весь математический формализм квантовой механики быть плодотворно использованы в биологии? На первый взгляд, это уже было реализовано вскоре после создания квантовой теории. Действительно, утвердительно ответить на поставленный вопрос можно, приняв во внимание, что молекулярная структура и функционирование организмов основаны на биохимических реакциях, а последние, в свою очередь, могут быть объяснены в терминах квантовой химии и, более того, количественно описаны в рамках математического формализма этой дисциплины. Но логика такого рассуждения ведет к чрезмерному упрощению вопроса и сводит ответ к известному ранее утверждению, а именно: процесс установления химических связей между атомами основан на квантово-механических закономерностях. Это, безусловно, нетривиальное утверждение, сформулированное вскоре после возникновения квантовой механики в трудах В. Гайтлера и Ф. Лондона, и развитое позже Л. Поулингом [3] и другими, скорее демонстрирует фундаментальную роль физики по отношению к химии.
По сравнению с объектом и целями химии, биология призвана раскрыть структуру и механизмы функционирования материи на гораздо более высоком уровне ее организации. Отмечено [4], что, по мнению ряда исследователей, квантовая механика во многих отношениях все еще остается концепцией чуждой биологии, особенно при описании физиологически важных процессов, протекающих на относительно большом временном масштабе. Вместе с тем, благодаря продолжающемуся в последние годы междисциплинарному взаимодействию квантовой физики и биологии, стала возможной новая постановка вопросов и внедрение новых методологических подходов к проблеме в целом, в частности, со стороны деятельности, направленной на создание квантовых компьютеров.
Известно, что квантовые компьютеры в перспективе имеют значительное преимущество над своими классическими аналогами. На этом пути недавний технический прогресс в применении квантовых концепций для обработки информации и шифрования неожиданно помог взглянуть на интересующий нас предмет в ином свете. Например, один из ключевых вопросов получил следующую формулировку: существуют ли биологические системы, использующие квантовые эффекты для выполнения задачи, которая не может быть реализована классически, либо они способствуют более эффективному выполнению этой задачи, чем даже лучший классический аналог? В более широком смысле, адаптируют ли некоторые виды организмов в процессе своего эволюционного развития эффективные квантовые механизмы с целью получить преимущество перед их конкурентами? Многие попытки найти примеры такого явления вначале были встречены резкой критикой как со стороны физиков, так и биологов. Например, известный советский физик А.С. Давыдов в своей книге «Биология и квантовая механика» [5] утверждал, что квантовая механика наиболее актуальна для изолированных систем в чистом квантовом состоянии и поэтому не имеет большого значения для биологических систем, находящихся в статистических смешенных состояниях и взаимодействующих с окружающей средой.
Однако осуществленные за последнее два десятилетия экспериментальные наблюдения и теоретические разработки подтвердили существование ряда примеров, когда нетривиальные квантовые механизмы используются организмом для своего более эффективного функционирования и тем самым для получения биологического преимущества. Достигнутое при этом успешное применение концепций и математического формализма квантовой механики для описания биологических объектов дало основание объявить о возникновении новой междисциплинарной области — квантовой биологии [4; 6; 7].
В разделе 3 представлены некоторые из наиболее ярких примеров квантовых процессов в биосистемах, а также объясняющие их квантовые механизмы и модели, находящиеся в центре внимания современной квантовой биологии. Мы предваряем это представление моделей коротким подразделом 1.2, где применяемые в дальнейшем квантовые концепции поясняются с использованием простой терминологии. Подготовленный читатель может пропустить эту часть. Раздел 2 более широкого плана посвящен обсуждению вопросов междисциплинарного взаимоотношения квантовой физики и биологии. Физик, пришедший к изучению проблем биологии, ожидаемо задается подобными, в том числе сопряженными с философией, вопросами и мы предлагаем наши, а также почерпнутые из литературы суждения на этот счет. Некоторые вопросы методологии биологического эксперимента, а также короткое резюме сформулированы в заключительном разделе.
1.2 Концепции квантовой механики как основа теоретической квантовой биологии
Среди ключевых постулатов квантовой механики [8] находится принцип суперпозиции, согласно которому различные формы волновой функции микрочастицы можно получить варьированием амплитуд в разложении в ряд по другим базисным функциям , причем линейным образом: . Здесь число членов ряда диктуется размерностью функционального пространства, амплитуды – комплексные числа. Таким образом, изменяя величины амплитуд , в разложении можно трансформировать форму волновой функции от узкого частицеподобного волнового пакета, хорошо локализованного в малой области пространства, к делокализованной в широкой области пространства волне.
Реализация одной из альтернативных форм волновой функции диктуется прежде всего характером пространственной зависимости статического потенциала, в котором находится микрочастица, и ее полной энергией, что явно учитывается посредством решения уравнения Шредингера. Кроме того, наличие дополнительного взаимодействия микрочастицы с флуктуирующими полями окружающей среды также может кардинально повлиять на форму ее волновой функции. Эффекты такого влияния в значительной степени продиктованы особенностями динамики окружающей микрочастицу атомно-молекулярной среды, а их учет требует выхода за рамки уравнения Шредингера в пользу более полного описания, основанного на решении квантового уравнения Лиувилля для матрицы плотности полной системы “микрочастица + окружающая среда”. Следует подчеркнуть, что двойственное (дуальное) поведение микрообъекта, например, трансформация его волновой функции из локализованного в делокализованное состояние ярко проявляет себя при исследовании механизмов квантового транспорта заряженных электронного и дырочного носителей или нейтрального электронного возбуждения (экситона) в биомолекулярных комплексах, что будет детально обсуждаться в следующих разделах.
Помимо дуальности, был выявлен ряд других квантовых эффектов, оказывающих значительное влияние на протекающие в организмах биопроцессы с участием заряженных носителей и экситонов. В этом ряду находятся классически запрещенное подбарьерное туннелирование, когерентность и явление интерференции электронных волновых функций, а также квантовая запутанность. Если представление о подбарьерном туннелировании общедоступно, то квантовые интерференция, когерентность и запутанность требуют разъяснений.
Эта цель достигается формально разными способами при описании микрообъекта в трех фундаментально различных квантовых состояниях – чистом, смешанном и запутанном. Ограничимся волновой функцией чистого состояния и взаимосвязь когерентности и интерференции поясним на простейшем примере линейной суперпозиции двух базисных функций и . Согласно постулатам квантовой механики, экспериментально измеряемой величиной является не сама волновая функция, а квадрат ее модуля
В этом выражении наличие двух последних вкладов описывает явление квантовой интерференции – усиление вероятности нахождения микрочастицы в одних областях пространства (конструктивная интерференция) и подавление в других областях (деструктивная интерференция). Интерференционная волновая картина разворачивается в пространстве и времени, что означает сохранение во времени когерентности, т. е. согласованности между различными вкладами, и , в общую волновую функцию чистого квантового состояния микрообъекта. Важно понимать, что в рамках стандартного формализма квантовой механики описание временной эволюции какой-либо квантовой системы в форме когерентного чистого состояния оправдано лишь в определенном временном интервале, например, между приготовлением чистого состояния системы в начальный момент времени и до момента , когда система взаимодействует с измерительным макроприбором, а ее волновая функция случайным образом коллапсирует в одно из базисных состояний прибора. Для многих реальных ситуаций, включая биосистемы –– субструктуры живых организмов, описание их временной эволюции в форме когерентного состояния имеет гораздо более жесткие ограничения. В таких системах когерентность сохраняется лишь некоторое характерное время и постепенно разрушается на больших временах в результате воздействия на рассматриваемую квантовую систему флуктуирующих полей окружающей среды. Декогерентизация, т. е. процесс разрушения когерентности в результате воздействия на квантовую систему случайных динамически флуктуирующих полей окружения, хорошо изучена для многочисленных систем, реализованных в неорганическом мире. Полученные на этом пути выводы и представления были использованы и развиты при изучении процессов, протекающих в биосистемах с разной структурой и функциональностью [9–12].
Здесь еще раз подчеркнем общую задачу, решаемую квантовой биологией, – выявить и провести анализ тех случаев, в которых квантовые эффекты играют ключевую роль в повышении эффективности биологической функции молекулярной органической системы. Решение этой задачи во многом основывается на обобщении результатов изучения характерных субструктур биосистем, таких как молекулярные комплексы наномасштабных и субмикронных размеров с характерными временами протекающих в них биопроцессов фемто- и пикосекундных масштабов. Каждый такой молекулярный комплекс рассматривается как относительно самостоятельная часть живого организма, выполняющая или поддерживающая на микроуровне некоторую определенную функцию этого организма. Базовые представления о ряде таких биосистем с указанием задействованных в них квантовых эффектов изложены в разделе 3.
2. Биосистемы как объект физического и философского анализа
2.1. Биологические объекты
В первой половине XX века главенствующей концепцией в биологии была синтетическая теория эволюции, осуществившая синтез законов Менделя (переоткрытых в 1900 г., К. Коренсом, Э. Чермаком и Г. де Фризом [13]) в хромосомной интерпретации и принципа естественного отбора Дарвина. В рамках этой теории изучалась не столько первооснова живого, сколько его проявления — феномены, т. е. биология в своей основе оставалась феноменологической наукой. После открытия в 1953 г. Дж. Уотсоном и Ф. Криком структуры ДНК и расшифровки генетического кода для синтеза белка началось быстрое развитие молекулярной биологии. На смену прежней статической по своему характеру феноменологии пришло требование динамического объяснения происхождения и эволюции биологических явлений. Последние 30 лет произошла значительная трансформация биологии – ее математизация и компьютеризация. Вместе с тем укрепилась такое направление, как биофизика, внедрившая в биологические исследования практику применения методов физического эксперимента и теоретического анализа, основанного на математических моделях физики, включая динамические квантовые модели.
Биология по определению занимается изучением биологических объектов. Вопрос о том, какие специфические свойства природных объектов позволяют отнести их к биосистемам, не только относится к самой биологии как конкретной научной дисциплине, но и имеет метанаучное содержание [14; 15] и тем самым обращен к философии. Объекты живой природы можно классифицировать на основе определенных иерархических подходов, которых в литературе предложено несколько. Один из доминирующих подходов, развитый Д. Уилсоном [16], предлагает выделять три главных иерархических уровня организации, а именно гены, организмы (индивиды) и группы особей (виды и роды). В рамках каждого иерархического уровня может быть предложена своя иерархия, отражающая структурную и функциональную специфику объектов, что, в свою очередь, диктует методику их научного исследования.
В интересующем нас случае следует стартовать от уровня организма-индивида и рассмотреть ключевые признаки индивида на этом уровне организации:
- специализированные органы и выполняемые ими физиологические функции,
- внутренние механизмы, ответственные за выполнение этих функций,
- разнообразные органические молекулы и их комплексы как материальная основа для выполнения на микроуровне функций организма.
Ограничившись явной формулировкой трех типов признаков, подчеркнем, что этот список следует продолжить далее, включив в него такие макрохарактеристики организма, как его рост и развитие, воспроизводство и способность к самовосстановлению, адаптация к среде и другие.
В этот список не может быть включен признак, обозначенный термином “живой”, так как он выступает не как элементарный, но как системный признак. Это означает, что такая категория, как “живой организм”, может быть применена к тем биологическим объектам, которые обладают полным набором признаков, входящих в соответствующий исчерпывающий список. Но можно ли составить такой исчерпывающий список?
Квантовая биология как субдисциплина занимается вопросами (1)–(3), фокусируя внимание на влиянии квантовых эффектов на биомолекулярные процессы в организме. В дальнейшем объектами квантовой биологии будем называть биомолекулярные комплексы нано- и субмикронных пространственных размеров, а также физико-химические процессы в них на характерных временах пико- и фемто-секундных диапазонов. Внутренние процессы, лежащие в основе физиологической деятельности организма и выступающие в качестве одного из его ключевых признаков, теперь могут быть исследованы и осмыслены на самом глубоком микроуровне – это уровень физическо-химических моделей квантовой теории. При этом важно подчеркнуть, что в экспериментальном плане, т. е. как предмет лабораторного изучения, биологический объект в силу своей специфики не может быть сведен до уровня физического, что будет аргументировано ниже. В частности, особенности методологии биологического эксперимента будут рассмотрены в заключительной части обзора, в контексте квантового механизма магнитной рецепции у перелетных птиц.
2.2. Особенности экспериментального наблюдения в квантовой физикеи квантовой биологии
В 20–30 гг. прошлого столетия Н. Бор, В. Гейзенберг и другие сформулировали концептуальную картину квантовой механики, названную копенгагенской интерпретацией [8]. Одновременно и позже появились принципиально другие интерпретации, но копенгагенский вариант, по-видимому, преобладает во взглядах современных физиков. Центральный пункт копенгагенской интерпретации направлен, во-первых, на разъяснение того, что собой представляет процедура измерения и, во-вторых, на устранение парадоксов вокруг измерения квантовых состояний микрочастицы или более широко квантовой системы в целом. В рамках копенгагенской интерпретации методологическая основа для понимания процедуры измерения содержится в принципе дополнительности. Согласно этому принципу, квантовый объект может проявлять себя различными, возможно даже взаимоисключающими, способами, как это, например реализуется для микрочастицы посредством дуализма “волна-частица”. Согласно копенгагенской интерпретации в процедуру измерения включено принципиально неконтролируемое взаимодействие между объектом и измерительным прибором. В результате этого взаимодействия “объект-прибор” сформированное ранее квантовое состояние объекта коллапсирует вероятностным способом до одного из состояний возможного “базисного” набора состояний. Базисный набор определяется субъектом-наблюдателем путем выбора и настройки свойств измерительного прибора с целью наблюдения конкретных квантовых характеристик объекта. Представленное выше обсуждение методологических аспектов квантовой механики, связанных с наблюдением и измерением квантовых объектов, объясняется тем, что они в полной мере переносятся и на область экспериментальной квантовой биологии.
Вместе с тем важно осознавать существенные методологические различия в планировании и проведении экспериментов в физике и биологии. В физической науке понимание явления означает построение модели, ее количественное изучение и проверку результатов применительно к данному явлению или кругу явлений. С этой целью существует принципиальная возможность создать так называемый модельный объект и подробно исследовать его свойства физическими измерительными приборами. Модельный объект – это искусственно созданная реальная физическая система, максимально “очищенная” от лишних деталей и связей так, чтобы, по возможности, полно воспроизвести внутри себя строение и структуру взаимодействий исследуемой модели. Если временно отойти от фундаментальных в сторону практических целей, в качестве примера модельных систем можно привести широко применяемую в настоящее время практику создания новых материалов с наперед заданными функциональными свойствами, которые хорошо описываются в рамках существующих физических моделей. Возвращаясь вновь к фундаментальной стороне вопроса, экстраполяция и проверка применимости физической модели на более широкий круг явлений может осуществляться посредством развития самой модели совместно с контролируемым усложнением ее реального дубликата – лабораторной модельной системы. Если понимать теорию как систему хорошо разработанных и взаимосвязанных между собой моделей, то на обозначенном выше пути физика движется к своему идеалу – созданию безошибочной, истинной и всеобъемлющей теории.
Экспериментатор-биолог не имеет той свободы, которой обладает физик. Биологический объект изначально предстает как сложная структура, обладающая определенными функциональными свойствами. Биообъект не может быть редуцирован структурно до уровня модельной системы путем отсечения лишних деталей и связей без того, чтобы не лишиться своих функциональных свойств. Как следствие, в модельное описание биосистемы должно быть включено очень большое число степеней свободы, и модель приобретает стохастический характер. Стохастические модели большого числа частиц широко применяются в статистической физике, но при этом анализ движения частиц может быть проведен на базисном микроуровне динамического (т. е. без участия стохастических эффектов) взаимодействия частиц. Для биосистем процессы и механизмы, действующие на таком физическом базисном микроуровне, не рассматриваются как предмет экспериментальной проверки. Они включаются в модельное описание биосистемы как феноменологические сущности, связанные причинно-следственными связями, в совокупности формирующими функциональные свойства целостной биосистемы. На первоначальном этапе различные модели рассматриваются как конкурирующие гипотезы, и задача эксперимента заключается в выявлении таких сведений о биосистеме, которые помогут в выборе лучшего объяснения ее поведения [17]. Выбор лучшего объяснения предполагает следующие этапы исследования: (а) фиксация фактов из наблюдений за биосистемой, (б) осуществление на их основе дедуктивных выводов и (в) их сравнение с модельными предсказаниями с целью выбора лучшей объяснительной модели.
Следует признать, что такая логика выдвижения и проверки теоретических моделей в биологии сильно разнится с логикой построения физических теорий. Идеал физики заключается в движении к истинной теории, например, через построение безошибочных количественных моделей для определенного круга физических явлений. Полагание наличия таких моделей окружающего мира является одним из основополагающих принципов физической науки, плодотворность которого доказано успешным развитием физики со времен Галилея и Ньютона. Физика использует математику как наиболее адекватный язык для выражения структуры и причинно-следственных отношений внешнего мира и находит обоснование своим принципам в самой себе. Биология для своего обоснования, помимо своих собственных ресурсов, обращается к химии и физике, их методам и концепциям. При этом на настоящем этапе развития биология как научная дисциплина не ставит задачу построения безошибочных количественных моделей, как это делает физика. Биология ограничена поиском лучшего объяснения на основе в строгом смысле приближенных полуколичественных и полуфеноменологических моделей. С позиций физики биологические теории имеют статус хорошо разработанных гипотез.
2.3. Редукционизм и антиредукционизм в биологии
Теперь обратимся к двум общим вопросам, которыми занимается философия биологии [14; 15]: в чем состоит сущность жизни и чем живое отличается от неживого?
Прежде всего, следует назвать два сформированных в философии предельно разных подхода к этим вопросам: витализм и редукционизм. Витализм исходит из наличия особого фактора, разделяющего объекты живой и неживой природы, который не может быть объяснен в терминах химии и физики. Редукционизм утверждает, что жизнь можно полностью понять и объяснить, исходя из принципов физической и химической организации биологических объектов.
Первоначальная идея витализма содержится в аристотелевской философии, трактовавшей объекты как соединение материи и формы. Материя – это то, из чего объект состоит, а также дает возможность для его реализации. Форма (энтелехия) делает объект тем, что он есть, и составляет его суть. Форму живого тела Аристотель назвал душой, которая является формирующей, движущей и целевой причиной пребывания в этом мире. В дальнейшем витализм как учение получил развитие в рамках философского направления, названного “телеологией” (от греческого ‘телос’ — цель). Оставляя в стороне оценку учения в целом, по нашему убеждению, общий виталистический взгляд, в основе которого лежит представление об удивительной целесообразности, упорядоченности и целостности объектов живой природы, в настоящее время разделяется многими учеными. Допуская полярно иной взгляд, а именно редукционистское отрицание фундаментальной специфики жизни и полную ее сводимость к феноменам физики и химии, следует отметить, что на протяжении XIX–XX веков в философии биологии возникли и развивались другие подходы и направления мысли.
C утверждением физико-химического подхода к пониманию основ жизни на рубеже XIX–XX веков получила развитие так называемая «эмергентная теория». Здесь «эмергентность» понимается как возникновение нового качества (от английского ‘emergencе’ – появление, возникновение). Суть этой теории может быть выражена следующим образом. По мере усложнения физико-химической организации у составной системы на определенном этапе возникают (возможно скачком) новое качество и новые общие свойства, которые несводимы к свойствам отдельных компонентов системы в том смысле, что сами компоненты изначально этими общими свойствами не обладают. Первый такой скачок связывают с возникновением из относительно простых органических молекул первых живых организмов, а дальнейшее усложнение их биологической организации сопровождалось новыми качественными скачками и появлением новых свойств жизни в процессе биологической эволюции.
Понимание целостности и целесообразности живого организма положено в основу возникшего в XX веке холистического подхода в философии биологии. В самом общем понимании методологический принцип целостности (греч. holos — целый, весь) выражается в утверждении, что "целое больше, чем сумма его частей". Сильный импульс в своем развитии биологический холизм получил от теории сложных систем, основанной на концепциях динамического хаоса и неравновесной термодинамики (И. Пригожин, И. Стенгерс [18]). В рамках этой теории формулируются математические модели, описывающие возникновение в сложной системе порядка из хаоса, что ассоциируется с процессом самоорганизации в живых организмах. Нетрудно видеть, что здесь имеется некоторое сходство с появлением нового качества в эмергентном походе.
С появлением кибернетики – науки об управлении и связи в машинах и живых организмах [19] — проблема целостности и целесообразности живого организма была осознана с новой стороны. Моделью живого организма был объявлен компьютер-робот. В кибернетике подчеркивается целостность функционирующей системы, находящаяся в гибкой взаимозависимости с ее частями, которые могут быть подвергнуты направленным изменениям. При этом возникает понятие цели, но в ее операциональном определении свободном от телеологической интерпретации.
Принципиально новый подход в теоретической биологии, возникший в результате влияния кибернетики, исходит из способности живого организма воспринимать, перерабатывать, хранить информацию, а также использовать ее для поддержания функциональной устойчивости, развития и самопроизводства. Однако на первом этапе применения этого подхода возникла проблема, а именно ограниченный смысл используемой в кибернетике информации. Возникшая в результате решения проблем технического характера теория информации в кибернетике была прежде всего направлена на задачи ее кодировки посредством формальной последовательности знаков, но была неспособна оценивать смысл, содержащийся в этой последовательности. Эта задача была решена в дальнейшем в результате развития семантической теории информации, позволившей соотносить знаковые последовательности с заключенными в них смыслами. На этой основе сформировалось новое направление теоретической биологии – биосемиотика [20]. Этот яркий пример демонстрирует нередукционистский путь развития биологии.
3. Проблемы квантовой биологии
3.1. Общая картина: задачи квантовой биологии
Развитие квантовой биологии [6; 9–12; 21; 22] идет, прежде всего, по пути изучения в живых системах конкретных квантовых сетей, ответственных за транспортировку заряда и энергии, а также за сенсорные функции организма — восприятие им внешних раздражителей и формирование отклика на них в виде поступающих на рецепторы сигналов. На этом пути, во-первых, формируются новые квантовые модели, а их свойства исследуются физико-математическими методами. Во-вторых, решается более общая задача – на основе анализа частных примеров квантовых эффектов в различных по своей структуре биомолекулярных комплексах ведется поиск объединяющих принципов, объясняющих общие свойства квантовых сетей и их функций в биологических системах. Здесь и далее термины «биосистема», «биомолекулярный комплекс» и «биологический объект» квантовой биологии будут пониматься как взаимозаменяемые.
Параллельно ставится вопрос: как природа оптимизировала структуру той или иной биосистемы, чтобы добиться эффективного функционирования в ней квантовой сети с целью получения эволюционного преимущества для вида, представленного данным организмом?
Выделяя в биосистеме субструктуру — квантовую сеть, выполняющую определенную функцию организма с участием квантовых процессов, следует учесть, что эта субструктура находится в контакте с окружением, т. е. другими частями полной системы, в которую эта квантовая сеть погружена. Окружающая среда с характерными для нее особенностями атомно-молекулярной структуры имеет динамические зарядовые, магнитные (спиновые) и колебательные (вибрационные) степени свободы, взаимодействующие с квантовой сетью и влияющие на протекающие в ней процессы. Вполне вероятно, что для достижения оптимальной производительности обе части организма, квантовая сеть и структура окружающей ее среды подверглись эволюционной адаптации.
Исследователи пришли к выводу, что природа действительно имеет в своем распоряжении широкий спектр возможностей для настройки квантовых сетей и их окружения для создания и поддержания надежных и эффективных функциональных механизмов внутри живых организмов. Некоторые средства, которыми природа располагает для достижения этой структурной адаптации и настройки на оптимальность, обсуждаются в последующих разделах, а также отражены в обзорах [4; 23; 24].
3.2. Резонансный электронно-вибрационный механизм сенсоров обоняния
Применение концепций квантовой механики позволило исследователям обнаружить, что объединение электронных и вибрационных движений молекул может лежать в основе функции биологических сенсоров. Например, предполагается, что подобный механизм обеспечивает важный вклад в функцию сенсоров обоняния [11; 25].
В течение почти ста лет исследователи с ограниченным успехом пытались определить принципы, позволяющие предсказывать запахи. Основная проблема состоит в отсутствии детального понимания того, что на самом деле происходит во время и вскоре после присоединения одоранта — молекулы, стимулирующей обоняние, к связывающему карману активного центра обонятельного рецептора, выполняющего функцию распознавания запаха. В настоящее время исследуются два механизма, получивших название «замок-ключ» и «туннелирование электрона, сопровождаемое виброном», основанные на совершенно разных принципах, классическом и квантовом, соответственно. Так как оба принципа совместимы, исследователи полагают, что сочетание обоих механизмов формируют обоняние.
Идея принципа «замок-ключ» заключается в следующем. В отсутствие одоранта связывающий карман и рецептор имеют некоторую равновесную форму — конформацию. Одоранты достигают рецептора путем диффузии через воздух, но только определенные типы одорантов могут прикрепляться к карману. Выбор определяется химическим сродством, формой и т. д. (это часть принципа «ключ в замке»). После прикрепления взаимодействие между одорантом и рецептором приводит к изменению конформации рецептора. Затем это конформационное изменение вызывает дальнейшие процессы и инициирует сигнальную цепь (эта часть представляет собой часть принципа «поворот ключа»).
Однако существует не менее 100 000 одорантов, но гораздо меньше обонятельных рецепторов, так что нет конкретного рецептора для каждого отдельного одоранта, чтобы дифференцировать достаточно широкий спектр запахов. Таким образом, необходим дополнительный механизм для идентификации захваченного рецептором определенного одоранта.
Такой механизм основан на физических свойствах молекул, а не на химических признаках или идеях формы, лежащих в основе принципа «замок-ключ». Еще в 1938 г. известный физик Дайсон предположил, что запах молекулы можно определить по ее колебательному спектру, и, следовательно, обонятельная система эффективно действует как колебательный спектрометр. Отметим, что для обозначения квантов колебаний молекулы также часто используется синоним “виброн” или “вибронное возбуждение”. Много позже, в 1996 г. Л. Турин выдвинул гипотезу [26], предложив квантовый механизм неупругого туннельного переноса электрона, с помощью которого обонятельная система действительно сможет идентифицировать определенные колебательные режимы одоранта (см. рис. 3.1). Согласно этому механизму, между сопряженными частями рецептора A и D имеются высокий потенциальный барьер для движения электрона и сильное различие электронных уровней по разные стороны барьера. В отсутствие молекулы одоранта в кармане рецептора туннелирование электрона невозможно из-за сильного различия локальных электронных уровней. После присоединения молекулы одоранта в карман рецептора туннелирование электрона становится возможным, если выполняется резонансное условие, а именно энергия вибронного возбуждения одоранта равна разности энергий электрона до и после перехода. Тогда при туннельном переносе электрона с нижнего на верхний уровень квант колебаний молекулы одоранта поглощается или происходит испускание при обратном переходе.
Рис.3.1.: Схематическое изображение принципа туннелирования электронов с помощью вибронов как основы квантового механизма обоняния [23]. Связывающий карман активного центра обонятельного рецептора находится между донором (D) и акцептором (A) электронов, которые имеют разные энергии, что понижает вероятность туннелирования
Существуют другие примеры биологических систем [23], эффективное функционирование которых объясняется, используя физическую терминологию, сильной взаимосвязью электронной и колебательной степеней свободы. Эта взаимосвязь реализуется благодаря настройке системы на резонанс между разностью энергий двух квантовых состояний, между которыми осуществляется переход электрона, и энергией одиночных квантов колебательного движения. Условие резонанса обеспечивает повышенную эффективность переноса заряда (доставка электронного возбуждения к реакционному центру или перенос электрона, который стимулирует последующую реакцию рецептора) и, таким образом, приводит к заметному усилению эффекта на физиологическом уровне. Это свидетельствует о важном и универсальном значении для функционирования биологических систем резонансных процессов, управляемых на квантовом уровне.
Не все биологические системы обладают долгоживущими резонансными колебательными модами, которые за счет сильной связи с электронными степенями свободы могут играть важную роль в протекающих в системах функциональных процессах. Более того, во всех биологических системах присутствуют колебательные движения иного сорта, а именно хаотические тепловые флуктуации атомов, формирующих рассматриваемые биомолекулярные объекты, а также входяящих в состав окружающей среды, в которую погружены эти объекты. Такие случайные движения следует рассматривать как шумовой фон, наличие широкого спектра частот в котором, как правило, приводит к подавлению механизма когерентного волнового движения электрона, такого как рассмотренное выше подбарьерное туннелирование. В таком случае потеря когерентности характеризуется как дефазировка, а именно, когда под воздействием тепловых флуктуаций первоначально широкая и плавно меняющаяся в пространстве волновая функция электрона локализуется в узкий волновой пакет. Несколько огрубляя, такую трансформацию можно охарактеризовать как редукцию “волны” (широкая делокализованная волновая функция электрона) в “частицу” (узкая локализованная волновая функция). Подавление когерентного движения сопровождается усилением роли классических надбарьерных прыжков в процессе переноса электрона между различными частями биологического объекта.
Учитывая, что жизнь протекает при конечных температурах, можно задаться следующим вопросом: «Не используют ли некоторые организмы квантовую когерентную динамику для поддержки жизненных процессов, несмотря на постоянное дефазирующее воздействие на них тепловых источников шума?» К своему удивлению, исследователи обнаружили свидетельства в пользу нескольких функциональных механизмов [7], с помощью которых дефазирующий шум может фактически поддерживать эффективный перенос квантового микрообъекта – квазичастицы и тем самым усилить функциональные свойства фундаментальных биологических процессов. Наиболее яркий пример представлен механизмом транспорта энергии электронного возбуждения в фотосинтезирующих комплексах.
3.3. Фотосинтез как пример оптимизации квантовых и классическихмеханизмов переноса электронного возбуждения
Фотосинтез – процесс поглощения солнечной энергии и ее преобразования в химическую форму — имеет ключевое значение в поддержании жизнедеятельности растений и ряда бактерий. Этот процесс осуществляется пигментно-белковым комплексом. Светособирающий пигментный центр комплекса, представленный хлорофиллом в растениях и бактериохлорофиллом в бактериях, осуществляет поглощение солнечного излучения и преобразование его в энергию электронного возбуждения молекулы пигмента — один из его электронов испытывает квантовый скачок на более высокий уровень энергии. На следующем этапе квантовая сеть из близко расположенных пигментных молекул обеспечивает быстрый и эффективный транспорт энергии электронного возбуждения к реакционному центру, где эта энергия превращается в химическую.
Была отмечена высокая эффективность переноса электронного возбуждения от светособирающих пигментов к реакционному центру, что проявляется в коротких временах переноса и малых потерях энергии. Немедленно был поднят вопрос о том, является ли режим, приводящий к оптимальным транспортным характеристикам, классическим — в том смысле, что некогерентная динамика хорошо представлена моделью, основанной на классических кинетических уравнениях, или же, несмотря на обусловленный окружающей средой дефазирующий шум, транспортное поведение системы характеризуется квантово-механическим волновым режимом, в котором квантовая когерентная динамика лишь слабо возмущается дефазирующим шумом.
На вопросы такого типа ответы получены на основе количественной оценки параметров, которые входят в динамические уравнения при описании фотосинтезирующих комплексов. Так анализ показал, что внутрисетевая связь, т. е. величина прыжковых интегралов электронного возбуждения по внутренним узлам сети — молекулам пигмента, сравнима со связью ” квантовая сеть -окружающая среда”. Отсюда уже следует ожидать, что процесс переноса электронного возбуждения происходит в ” смешанном” режиме, когда отсутствует доминирование одного из двух конкурирующих факторов — квантовой когерентной динамики и дефазирующих шумов. Это дополнительно подтверждается экспериментальным исследованием [27; 28] свойств динамики системы, которые совершенно ясно демонстрируют, что на более коротких длинах и временных масштабах квантовая когерентность присутствуют в системе, в то время как для больших расстояний и времен доминируют классические свойства. Это говорит о том, что на самом деле оптимальный режим работы в этих условиях оказывается «на полпути» между классическим и квантовым миром.
В следующем разделе рассмотрена фотосинтезирующая система зеленой серобактерии и сформулирована квантовая модель транспортной сети, соединяющей светособирающий комплекс и реакционный центр этой системы. При наличии конкуренции квантовой когерентности и дефазирующих шумов проанализированы условия реализации оптимального режима переноса электронного возбуждения по этой сети.
3.4. Фотосинтезирующая система зеленых серобактерий. Флуктуационный механизм переноса электронного возбуждения
Рассмотрим фотосинтезирующую систему (ФС) зеленых серобактерий, схематично изображенную на рис. 3.2. Светособирающий комплекс (” антенна”) в ФС представляет собой заключенную в белково-липидную оболочку самоорганизованный ансамбль молекул бактериохлорофиллов с (BСhl c), поглощающих фотоны в видимой и ультрафиолетовой части спектра. Энергия поглощенного фотона преобразуется в электрон-дырочное возбуждение (экситон Френкеля) молекулы, которое передается следующим молекулам к периферии антенного комплекса, где расположена встроенная в оболочку базисная пластина — паракристаллическая структура, содержащая бактериохлорофилл а (BСhl а). Примыкающий к этой пластине пигментно-белковый комплекс Фенна — Мэттьюса — Олсона (ФMО) действует как канал передачи экситонного возбуждения от базисной пластины антенного комплекса в реакционный центр (РЦ), где оно преобразуется в полезную химическую энергию.
Рис.3.2.: Схематическое изображение фотосинтезирующей системы зеленых серобактерий. Функции составляющих частей системы описаны в основном тексте
Одной из самых интересных особенностей этой биологической машины является высокоэффективный механизм транспорта электронного возбуждения через ФС в реакционный центр почти с единичным квантовым выходом, т. е. практически каждый поглощенный фотон преобразуется в химическую форму энергии. Как видим, ФС зеленых серобактерий имеет несколько сопряженных друг с другом молекулярных структур, осуществляющих целенаправленный перенос и преобразование энергии экситонного возбуждения. Из них экспериментально наиболее подробно изучены структура и функциональные особенности комплекса ФМО, и поэтому именно этот комплекс выбран объектом теоретического исследования квантового переноса экситонного возбуждения в ФС зеленых серобактерий. Ниже на примере относительно простой модели [27; 28] проанализирована роль квантовой когерентности в повышении эффективности экситонного транспорта. Отметим, что необходимость в развитии подобных моделей продиктована экспериментальными наблюдениями.
Спектроскопические измерения методом двумерной электронной спектроскопии на комплексе ФМО при температуре жидкого азота [29] и комнатной температуре [30] показали квантовые биения: зависящие от времени осцилляции амплитуд спектральных сигналов. Наблюдение [29; 30] указало на то, что квантовая динамика экситонов имеет когерентный характер и определяется долгоживущими и делокализованными по всему комплексу квантовыми состояниями экситонов. Напомним, что с формальной точки зрения делокализованное возбужденное состояние есть суперпозиция возбуждений, локализованных на узлах системы так, что сохраняется высокая степень согласованности (когерентности) фаз отдельных вкладов. Результат [30] оказался неожиданным, так как при относительно высокой, комнатной температуре наличие тепловых флуктуаций, как правило, оказывает дефазирующее воздействие на квантовые экситонные состояния и приводит к разрушению их когерентности. Вместе с тем в ответ на эти наблюдения был сформулирован механизм [23], согласно которому стохастическое воздействие тепловых флуктуаций белковой оболочки комплекса, а также термически возбужденные внутримолекулярные (вибронные) колебания самого комплекса помогают поддержать когерентный характер процесса переноса экситонного возбуждения в нем.
Гамильтониан, описывающий квантовую динамику экситона в транспортной сети ФМО (рис. 3.3), имеет вид
(3.1)
Рис.3.3.: Комплекс ФМО как квантовая транспортная сеть, состоящая из хромофорных узлов i=1,2,...,N. Стрелкой указан канал необратимого перехода экситонного возбуждения из транспортной сети в узел-сток, имитирующий реакционный центр фотосинтезирующего комплекса; скорость такого перехода обозначена как Γ
Здесь – оператор рождения (уничтожения) экситона в i-м узле: , . При достаточно общих условиях прыжковый интеграл полагается ограниченной сверху величиной . В общем случае локальный уровень экситона имеет нерегулярные переменные в пространстве и флуктуирующие во времени вклады . Здесь зависящая от i статическая составляющая обусловлена нерегулярной пространственной структурой ФМО-комплекса. Флуктуирующий во времени вклад , вызванный тепловыми колебаниями хромофорных узлов, а также ближайших к ним молекул окружающей среды, означает, что экситон обменивается энергией с колебательными степенями свободы как самого ФМО-комплекса, так и его окружения. Вторая причина, по которой ФМО-комплекс представляет собой открытую квантовую систему, – это наличие канала стока экситонного возбуждения в РЦ. Для определенности будем считать, что этот канал диссипации возбуждения со скоростью осуществляется через узел (рис. 3.3). Далее рассмотрим, как по мере усложнения модели становится возможным учитывать различные аспекты динамического поведения экситона.
В отсутствие беспорядка, , поиск собственных значений гамильтониана, приводит к собственным состояниям , в которых возбуждение делокализовано по N узлам транспортной системы
(3.2)
где и — вероятность обнаружить экситон на узле i в состоянии . Суперпозиции (2) отвечают когерентным делокализованным по всей сети состояниям экситона. Волновая функция экситона, первоначально инжектированного из антенного комплекса в 1-й узел , может быть представлена в базисе : . Действие оператора эволюции приводит при к волновой функции
(3.3)
Простой анализ показывает, что , а при вероятность обнаружить экситон на N-м узле, , имеет характер квантовых биений
(3.4)
С увеличением растет вероятность диссипации – ухода экситона на РЦ.
Итак, в отсутствие беспорядка квантовый транспорт экситона по ФМО комплексу из 1-го в N-й узел и его последующий сток в РЦ обеспечивается делокализованными когерентными состояниями экситона. Включение в рассмотрение статического беспорядка в системе локальных уровней , где вклад стохастически распределен в пределах , в случае сильного беспорядка: , приводит систему в режим локализации Андерсона [31]. Это означает, что возле узлов комплекса ФМО формируются потенциальные ямы различной глубины, способные захватить экситон. Волновая функция инжектированного экситона локализуется в одной из этих ям, а процесс движения по узлам за счет последовательного туннельного перехода в соседние ямы затруднен по причине большого различия локальных энергетических уровней в этих ямах. Тем самым в режиме сильного статического беспорядка транспорт экситона замораживается, и ФМО-комплекс не может эффективно осуществлять функцию передачи экситонной энергии от светособирающей антенны в реакционный центр. Это объясняется разрушением когерентности состояний (2) вследствие стохастизации амплитуд и деструктивной интерференцией вкладов в разложении (2). Локализация собственных состояний гамильтониана под действием случайных статических полей, по существу, означает возврат к исходному базису . При этом следует объяснить, как в режиме разрушенной когерентности в принципе возможно наблюдаемое в реальности явление быстрого переноса экситонов через ФМО-комплекс?
Ответ был найден [27; 28] посредством включения в анализ эффектов динамического беспорядка в форме флуктуирующего вклада в положение каждого уровня экситона. Этот модельный вклад имитирует тепловой шум, который неотвратимо присутствует в биологических системах, функционирующих вблизи комнатной температуры.
Как правило, в изначально регулярных (при ) системах тепловой шум на классическом уровне служит деструктивным источником, снижающим функциональную эффективность физико-химических процессов. В квантовых системах растущие с температурой деструктивные эффекты теплового шума также выражаются в подавлении долговременных динамических процессов, что объясняется дефазирующим влиянием шума, разрушающим когерентность соответствующих квантовых состояний изначально регулярной системы.
Если выбрать простейшую модель шума: в последовательные, , моменты времени , разделенные интервалом , случайная величина принимает с одинаковой вероятностью значения c нулевым средним . В этих терминах дефазирующее действие шума на квантовые состояния экситона определяется величиной . Однако дальнейший анализ показывает, что в рассматриваемом случае транспортной системы ФМО-комплекса с внутренним статическим беспорядком тепловой шум может играть конструктивную роль, улучшая квантовый транспорт экситонных возбуждений.
Лежащий в основе такого поведения механизм может быть охарактеризован в самых общих чертах следующим образом. Эффективность переноса экситона из узла i=1 при t=0 в узел j=N за время определяется интегралом
(3.5)
где, например, нс – характерное время излучательного распада экситона. Расчёты для , полученные на основе модели (1) и близких ее вариантов [27; 28], здесь представлены на рис. 3.4 обобщающей зависимостью от безразмерного отношения при наличии сильного статического беспорядка .
Рис.3.4.: Эффективность переноса экситона по квантовой транспортной сети с сильным статическим беспорядком и дефазирующим воздействием теплового шума от колебательных степеней свободы
Зависимость на рис. 3.4 объясняется тем, что когерентность, разрушенная статическим беспорядком , частично восстанавливается динамическими флуктуациями локальных электронных уровней. Механизм поддержки межузельного переноса электронной энергии посредством дефазирующего шума можно объяснить с динамической точки зрения. Действительно, хаотические внутриузельные колебания и флуктуационные движения атомов и молекул окружающей среды приводят к тому, что уровни энергий электронных возбуждений на каждом узле также испытывают случайные динамические флуктуации. Как следствие, возникают временные окна, когда эти флуктуирующие энергетические уровни узлов приближенно совпадают, что позволяет реализовать передачу энергии возбуждения посредством резонансного туннелирования экситона как между хлороформными узлами, так и между N-хлорофором и реакционным центром. Оптимальный режим достигается при .
3.5. Магниторецепция у мигрирующих птиц: механизм спиновогобиохимического компаса
Уточним прежде всего смысл термина «рецепция» (от лат. receptio принятие) в физиологии как осуществляемое рецепторами восприятие энергии, поступаемой от раздражителей и последующее преобразование ее в нервное возбуждение. Хорошо известно влияние слабого магнитного поля на рост растений, а также замечательные способности к ориентации и навигации у птиц, млекопитающих, рептилий, амфибий, рыб, ракообразных и насекомых.
Рассматриваются как минимум два альтернативных механизма, с помощью которых живым организмом воспринимается внешнее магнитное поле. Согласно первому механизму, восприятие поля обеспечивается встроенными в организм ферримагнитными частицами оксида железа, и это, по существу, классический эффект. Второй основан на магниточувствительных химических реакциях свободных радикалов. Ранее такого сорта реакции были известны и изучались методами квантовой химии в органических молекулах, но за рамками биологических систем. В 90-х годах прошлого века в ряде работ было сформулирована гипотеза, согласно которой криптохромы в сетчатке глаза перелетных птиц обеспечивают потенциальную физиологическую реализацию такого механизма, что и мотивировало последующий рост внимания к этой проблеме со стороны квантовых физиков.
Сначала обсудим общий сценарий работы механизма химического компаса как пример решающей роли квантовой динамики полного спина двух электронов, распределенных по одному на каждом из радикалов пары “донор-акцептор”, возникающей в результате фотохимической реакции (см. рис. 5). Изначально молекулярная система, выполняющая функции химического компаса, находится в своем основном (т. е. с самой низкой суммарной энергией) электронном состоянии – это совокупность спин-синглетных состояний электронов, попарно занимающих низшие молекулярные орбитали системы. Синглетное состояние продиктовано требованием выполнения принципа Паули и означает, что суммарный спиновый момент каждой локальной пары электронов равен нулю, . Поглощение кванта энергии фотона сопровождается разрывом одной из локальных синглетных пар и пространственным расхождением электронов по двум противоположно заряженным молекулярным группам без изменения суммарного спина . Эту вновь образованную структуру терминологически обозначают как радикальная пара “донор-акцептор”, которая может рекомбинировать либо участвовать в последующем химическом преобразовании системы. Это преобразование с участием радикальной пары может протекать по двум альтернативным каналам в зависимости от эволюции квантового спинового состояния. Действительно, сразу после своего образования разделенная пара электронов испытывает на себе воздействие, во-первых, внутренних магнитных полей от близких ядер атомов, входящих в состав системы и, во-вторых, внешнего магнитного поля, определенным образом ориентированного в пространстве. В результате такого воздействия возникают осцилляции спинового состояния радикальной пары, а именно синглетное состояние переходит триплетное и обратно. Продукты последующей спин-зависящей химической реакции с участием радикальной пары различны для синглетного и триплетного каналов, их относительное количество анализируется на биохимическом уровне соответствующим рецепторным механизмом, включенным в состав обсуждаемого здесь биохимического компаса. Полагается, что результаты работы рецепторного механизма на конечном этапе преобразуются в нервное возбуждение, сигнализирующее организму о его пространственной ориентации относительно внешнего магнитного поля.
Простая схема реакции пары радикалов, которая может действовать как механизм химического магниторецептора, первоначально была предложена Шультеном с соавторами [32] и изображена на рис. 3.5.
Рис.3.5.: Возможная схема реакции пары радикалов, чувствительной к эффектам магнитного поля как основа магниторецепции мигрирующих птиц
Итак, согласно описанному выше сценарию, реакции в донорно-акцепторной паре молекул происходят в три этапа. На первом этапе молекула донора, поглотив фотон, переходит в возбужденное электронное состояние и отдает электрон на молекулу акцептора , в результате чего образуется пара радикалов . Для эффекта магнитного поля крайне важно, чтобы радикальная пара образовывалась в определенном спин-коррелированном, синглетном или триплетном, электронном состоянии. Обычно фотовозбужденный донор и акцептор находятся в синглетном состоянии до переноса электрона. В этом случае перенос электрона не меняет спиновую корреляцию и общее синглетное состояние.
Далее спин-коррелированное синглетное состояние радикальной пары будет преобразовано за счет сверхтонкого взаимодействия с магнитными моментами ядер атомов, составляющих пару, в триплетное состояние и обратно. На это синглетно-триплетное взаимопревращение, представляющее собой вторую стадию схемы реакции пары радикалов, может влиять слабое внешнее магнитное поле, как подробно описано ниже. При этом учитывается, что радикальные пары могут рекомбинировать со скоростью в начальное, также синглетное состояние. Нерекомбинированные радикалы образовывают новые химические продукты, различные для исходного либо триплетного или синглетного состояния. Влияя на спиновые состояния радикальной пары, внешнее магнитное поле регулирует баланс между радикальными парами, рекомбинирующими и либо образующими спин-зависящие продукты. Таким образом, внешнее магнитное поле либо усиливает рекомбинацию (из-за уменьшения синглет-триплетного взаимопревращения), либо увеличивает образование нового продукта (из-за усиления синглет-триплетного взаимопревращения).
Скорости химических реакций в синглетном и триплетном каналах обозначим величинами и , соответственно. Далее, для оценки выхода реакции в триплетном канале предположим, что радикальная пара геометрически закреплена в подложке и на первом этапе образована в синглетном состоянии. Выход триплета определяется [33] как количество продуктов, возникших в триплетном канале химических реакций, следовательно,
(3.6)
Долю радикальных пар в триплетном состоянии в любой момент времени t можно оценить по уравнению
(3.7)
где — оператор проектирования на триплетные состояния , — матрица плотности, зависимость которой от времени определяется стохастическим уравнением Лиувилля
(3.8)
с начальным условием , где — оператор проектирования на синглетное состояние и .
Если предположить, что скорости реакций не зависят от спина, т. е. , то матрицу плотности можно выразить в виде
(3.9)
Подставляя (3.9) в (3.7), получаем
(3.10)
где обозначает энергию собственного состояния гамильтониана . Интегрирование в (3.6) приводит к следующей величине выхода химической реакции в триплетном канале:
(3.11)
Отметим, что выход реакции в синглетном канале получается из равенства . Из (3.11) следует, что выход реакции определяется суммой умноженных на соответствующие матричные элементы функций Лоренца, каждая из которых полностью определяется, помимо величины скорости реакции , энергий перехода между собственными состояниями и спинового гамильтониана радикальной пары ():
(3.12)
Здесь и – операторы спиновых моментов соответственно электрона и ядра на j-м радикале. Внешнее магнитное поле задается в полярной системе координат, связанной с неподвижной радикальной парой. При этом ось Ox можно выбрать так, что азимутальный угол . Спиновая связь ” электрон-ядро” описывается анизотропным тензором сверхтонкого взаимодействия.
Под действием внешнего магнитного поля и сверхтонкого взаимодействия синглетное состояние электронов радикальной пары испытывает переходы в триплетные состояния и обратно. С учетом возможных спиновых состояний ядер синглет-триплетные осцилляции реализуются на многих частотах . На рис. 3.6 в качестве примера показаны результаты численного анализа выражения (3.11) для как функции полярного угла внешнего магнитного поля .
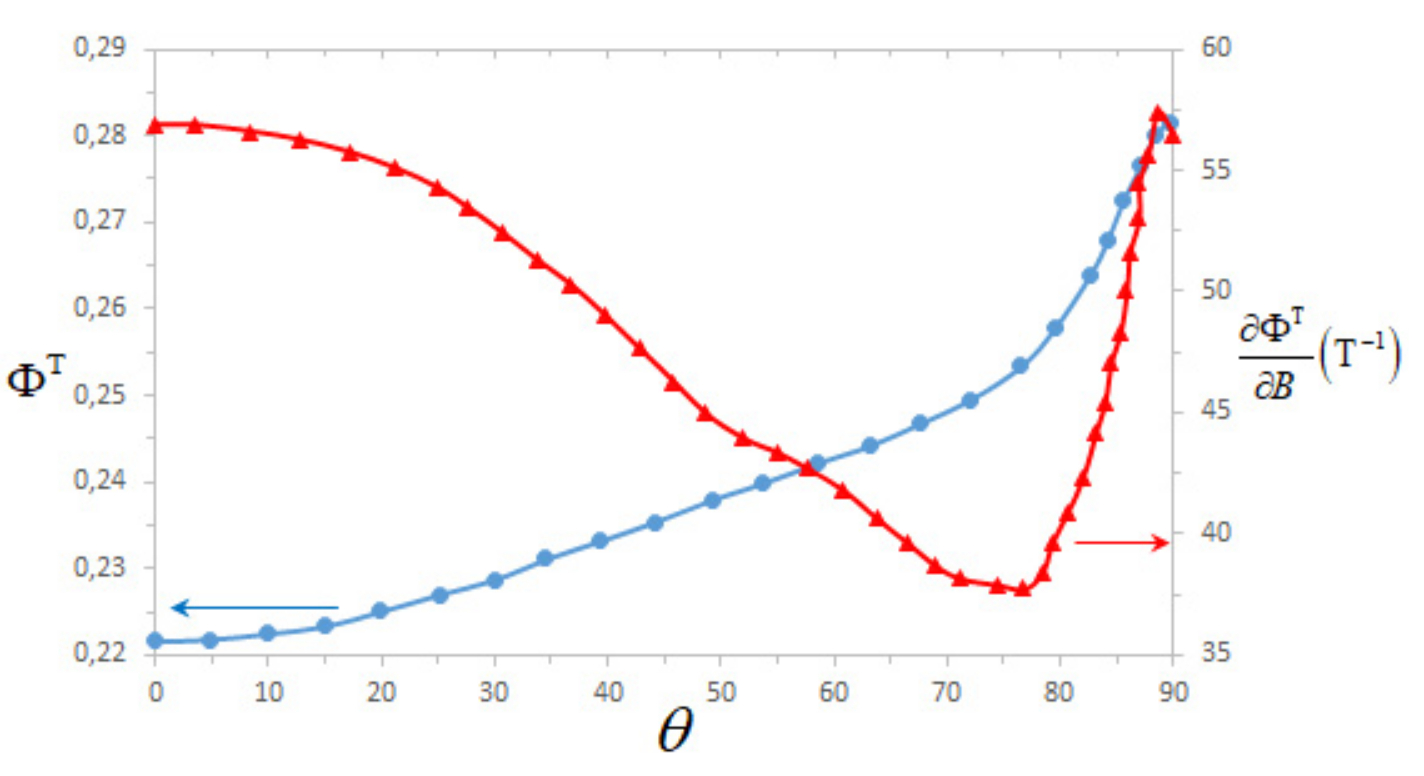
Рис.3.6.: Триплетный выход химической реакции с участием радикальной пары [FADH•Trp•] (синие точки и фитирующая кривая) и магнитная чувствительность химического компаса (красные треугольники и кривая). Обсуждение деталей см. в работе [34]
Рассмотрим также магнитную чувствительности химического компаса, которая определяется как . Из рис. 3.6 следует, что чувствительность вблизи углов и максимальна и примерно одинакова. Это указывает на то, что птицы могут определять направления меридианов и параллелей, поскольку компас наиболее чувствителен в этих двух направлениях.
Заключение
Здесь уместно вернуться к теме, различные аспекты которой обсуждались в предыдущих разделах, — методологии биологического эксперимента, взяв в качестве основы рассмотренный выше спиновый механизм магнитной рецепции у перелетных птиц. Следует особо подчеркнуть, что процессы спиновой трансформации в неживой природе и в живых организмах имеют сугубо квантовый характер. Само понятие “спин” микрочастицы возникло с появлением квантовой механики. Возможность регистрации спина у квантового состояния микросистемы с помощью измерительных приборов, принадлежащих классическому макромиру, обусловлена тем, что микрочастица, имеющая спин, автоматически несет на себе, подобно замкнутому контуру с током, физическую величину классического мира — магнитный момент. Значения спина и магнитного момента количественно связаны друг с другом одной из фундаментальных постоянных – магнетоном Бора, а наличие и величина магнитного момента микрочастицы могут быть измерены с помощью лабораторного магнитного поля. Магнитный момент микрочастицы, как и спин, квантуется, а его временная эволюция в магнитном поле описывается квантовыми уравнениями.
В рассмотренном выше механизме магнитной рецепции спиновое состояние у возникшей в результате фотохимической реакции радикальной пары трансформируется под действием магнитного поля, один из вкладов в которое – это поле Земли. Воздействия этих спиновых трансформаций на ход биохимических реакций рассматриваются как один из ключевых и относительно самостоятельных механизмов, составляющих предложенную целостную картину магнитной рецепции птиц. Поставим следующий вопрос: «Могут ли этот ключевой механизм и его роль в магнитной рецепции быть подтверждены экспериментально?». В поиске ответа следует принять во внимание, что при существующих методах лабораторных исследований прямые измерения in vivo невозможны, а результаты, полученные in vitro, не будут решающими, так как с разрушением целостности биосистемы процессы, находящиеся в фокусе исследования, будут неконтролируемым образом искажены.
Согласно М. Веберу [17], биологический эксперимент, среди прочих, может состоять в наблюдении и фиксация фактов изменения поведения организма при помещении его в различные, в том числе, искусственно созданные условия. Такое наблюдение ведет к созданию правдоподобных и плодотворных теорий и гипотез об основополагающих механизмах функционирования организма как целого, так и составляющих его относительно самостоятельных частей, а также на преодоление проблем сопутствующих эти теории. Включенные в рассмотрение основополагающие механизмы М. Вебер классифицирует как феномены, «…которые следует объяснять непосредственно законами физики и химии, с учетом специфики изучаемых систем». Вебер не требует редукции законов биологии к закономерностям физики, он просто считает, что нет оснований вводить в обиход такое понятие, как «закон биологии». При этом, согласно Веберу, биология обходится без концепта истины, а биологические теории направлены на поиск лучшего объяснения, например, на основе хорошо разработанной модели. Модельный конструкт исследуемой биосистемы оперирует феноменами (феноменологическими сущностями) и сетью причинно-следственных связей между ними, что в совокупности призвано объяснить функциональные свойства биосистемы в целом.
В качестве феноменологических сущностей модельного описания могут выступать процессы и механизмы, существование которых на базисном физическом микроуровне доказано на примере более простых физико-химических систем. В модельном описании исследуемых биосистем такие феномены уже не рассматриваются как предмет экспериментальной проверки. Спин-зависящие биохимические реакции следует назвать в качестве примера феноменологической сущности, включенной, наряду с другими, в модель спинового биохимического компаса.
Подводя итог вышеизложенному, можно сделать вывод, что теоретические конструкты биологии, такие как модель спинового биохимического компаса, с точки зрения физики имеют статус феноменологических теорий либо могут считаться хорошо разработанными гипотезами. Это означает, что на данный момент каждая отдельно взятая общепризнанная теория дает наилучшее объяснение отдельному кругу биологических явлений. Однако не исключено, что со временем для того же круга явлений будет выработано новое, более точное и полное объяснение или, возможно, даже принципиально иная теория.
Недавние данные свидетельствуют о том, что различные организмы могут использовать некоторые функции, основанные на особенностях квантовой механики, с целью получить биологическое преимущество в процессе эволюционного развития. Важно, что интерес исследователей выходит за рамки тривиальных квантовых эффектов, например, лежащих в основе теории химической связи и объясняющих устойчивость самих биомолекул. Этот интерес направлен на выяснение уникальной, резко контрастирующей с возможным классическим поведением роли квантовых процессов в обеспечении высокой эффективности функциональных свойств организмов.
В какой форме обычно проявляются эти квантовые эффекты? В квантовой информации, возможно, самый важный квантовый эффект заключается в том, что квантовые биты могут существовать в суперпозициях, тогда как классические биты не могут. Аналогично биологическая система, которая использует когерентные, согласованные, суперпозиции состояний для каких-то практических целей, может рассматриваться как самый яркий пример функциональной квантовой биологии.
К настоящему времени исследователями накоплены многочисленные свидетельства тому, что живые организмы используют квантовые явления или даже полагаются на них, поддерживая уровень согласованности внутри своих субструктур, где это необходимо. Следует отдельно отметить, что организмы в целом ведут себя только как классические объекты, что объясняется их макроразмерами и большой массой.
В данном обзоре обсуждены несколько наиболее изученных примеров субструктур – биосистем наномасштабных размеров внутри живого организма, в которых квантовые эффекты дают значительный вклад в протекающие в них биопроцессы. Сюда включены светособирающие биосистемы, осуществляющие фотосинтез у растений и бактерий, магниторецепция мигрирующих птиц с помощью механизма «химический компас», механизм сенсоров обоняния. Особая обширная тема [35; 36], также требующая рассмотрения в терминах квантовой биологии, — это механизмы переноса заряда в молекуле ДНК, она заслуживает самостоятельного обзора.
В целом ведущие эксперты склоняются к мнению, что описанные выше концепты, использующие идеи квантовой физики для описания биологических функций организмов на атомно-молекулярном уровне, в настоящий момент имеют скорее статус хорошо разработанных гипотез. Продолжающиеся исследования для каждой отдельной системы представляют новые свидетельства как в пользу, так и аргументы против функциональной роли квантовых эффектов в живых организмах.
About the authors
Anton V. Syurakshin
Samara National Research University
Author for correspondence.
Email: Asyurakshin@gmail.com
ORCID iD: 0000-0002-4676-3092
postgraduate student of the Department of General and Theoretical Physics
Russian Federation, SamaraVladimir A. Saleev
Samara National Research University
Email: vasaleev@mail.ru
ORCID iD: 0000-0003-0505-5564
Doctor of Physical and Mathematical Sciences, professor, head of the Department of General and Theoretical Physics
Russian Federation, SamaraVictor Y. Yushankhai
Bogoliubov Laboratory of Theoretical Physics, Joint Institute for Nuclear Research
Email: yushankh@theor.jinr.ru
ORCID iD: 0000-0003-4313-4626
leading researcher
Russian Federation, DubnaReferences
- Bohr N. Light and Life. Nature, 1933, vol. 131, pp. 421–423. DOI: http://doi.org/10.1038/131457a0.
- Schrodinger E. What is Life? The Physical Aspect of the Living Cell. Мoscow: АST, 2018, 288 p. Available at: http://yanko.lib.ru/books/natural/biology/schodinger-what_is_life.htm. (In Russ.)
- Pauling L. The nature of chemical bond. Мoscow-Leningrad: GNTI khimicheskoi literatury, 1947, 438 p. Available at: https://bookree.org/reader?file=1238081. (In Russ.)
- Lambert N., Chen Y. N., Cheng Y. C., Li C. M., Chen G. Y., and Nori F. Quantum biology. Nature Physics, 2013, vol. 9 (1), pp. 10–18. DOI: http://doi.org/10.1038/nphys2474.
- Davydov A.S. Biology and quantum mechanics. Kyiv: Nauk. Dumka, 1979, 296 p. Available at: https://bookree.org/reader?file=436532. (In Russ.)
- Arndt M., Juffmann T., Vedral V. Quantum physics meets biology. HFSP Journal, 2009, vol. 3, no. 6, pp. 386–400. DOI: http://dx.doi.org/10.2976/1.3244985.
- Quantum Effects in Biology. Edited by Mohseni M., Omar Y., Engel G. and Plenio M.B. Cambridge: Cambridge University Press, 2014. DOI: http://doi.org/10.1017/CBO9780511863189.
- Ivanov M.G. How to understand quantum mechanics. Мoscow–Izhevsk: NITs «Regulyarnaya i khaoticheskaya dinamika», 2012, 516 p. Available at: https://mipt.ru/students/organization/mezhpr/upload/9ab/quant-1-1- arphf9t1u8h.pdf. (In Russ.)
- Cheng Y.-C., Fleming G.R. Dynamics of light harvesting in photosynthesis. Annual Review of Physical Chemistry, 2009, vol. 60, pp. 241–262. DOI: http://doi.org/10.1146/annurev.physchem.040808.090259.
- Hore P.J., Mouritsen H. The Radical-Pair Mechanism of Magnetoreception. Annual Review of Biophysics, 2016, vol. 45, pp. 299–344. DOI: http://doi.org/10.1146/annurev-biophys-032116-094545.
- Brookes J.C. Olfaction: The physics of how smell works. Contemporary Physics, 2011, vol. 52, issue 5, pp. 385–402. DOI: http://doi.org/10.1080/00107514.2011.597565.
- Beratan D.N. Why Are DNA and Protein Electron Transfer So Different? Annual Review of Physical Chemistry, 2019, vol. 70, pp. 71–97. DOI: http://dx.doi.org/10.1146/annurev-physchem-042018-052353.
- Gaysinovich A.E. The origin and development of genetics. Мoscow: Nauka, 1988, 423 p. Available at: https://bookree.org/reader?file=818508. (In Russ.)
- Kanke V.A. Philosophy of mathematics, physics, chemistry, biology. Мoscow: KNORUS, 2011, 368 p. ISBN: 978-5-406-00543-9. Available at: http://pyrkov-professor.ru/default.aspx?tabid=182&ArticleId=504. (In Russ.)
- Lipkin A.E. (Ed.) Philosophy of science. Мoscow: EKSMO, 2007, 608 p. ISBN 978-5-699-18350-0. Available at: https://bookree.org/reader?file=594657. (In Russ.)
- Wilson J. Biological Individuality: The Identity and Persistence of Living Entities. Cambridge: Cambridge University Press, 1999. 152 p. DOI: http://doi.org/10.5860/choice.37-3348.
- Weber M. The Philosophy of Experimental Biology. Cambridge: Cambridge University Press, 2005, 374 p. DOI: http://doi.org/10.1017/CBO9780511498596.
- Prigogine I., Stengers I. Order out of chaos. Man’s new dialogue with nature. Мoscow: Progress, 1986, 432 p. Available at: http://yanko.lib.ru/books/betweenall/prigogine-stengers_ru.htm. (In Russ.)
- Wiener N. Cybernetics, or Control and communication in the animal and the machine. Translation from English by Solovyov I.V., Povarov G.N. Edited by Povarov G.N. Мoscow: Sovetskoe radio, 1968, 328 p. Available at: http://publ.lib.ru/ARCHIVES/V/VINER_Norbert/Viner_N._Kibernetika.(1968).[pdf-fax].zip. (In Russ.)
- Knyazeva H.N. Biosemiotics: The Origins of an Interdisciplinary Movement. Voprosy Filosofii, 2018, vol. 11, pp. 86–98. DOI: http://dx.doi.org/10.31857/S004287440001897-1. (In Russ.)
- Marais A. et al. The future of quantum biology. Journal of the Royal Society Interface, 2018, vol. 15, p. 20180640. DOI: http://dx.doi.org/10.1098/rsif.2018.0640.
- McFadden J., Al-Khalili J. The origins of quantum biology. Proceedings of the Royal Society A. Mathematical, Physical and Engineering Sciences, 2018, vol. 474, issue 2220, p. 20180674. DOI: http://doi.org/10.1098/rspa.2018.0674.
- Huelga S.F., Plenio M.B. Vibrations, quanta and biology. Contemporary Physics, 2013, vol. 54, issue 4, pp. 181–207. DOI: http://doi.org/10.1080/00405000.2013.829687.
- Cao et al. Quantum biology revisited. Science Advances, 2020, vol. 6, issue 14, p. eaaz4888. DOI: http://dx.doi.org/10.1126/sciadv.aaz4888.
- Stoneham A.M., Turin L., Brookes J.C., Horsfield A.P. Quantum vibrational effects on sense of smell. In: Mohseni M., Omar Y., Engel G.S., Plenio M.B. (Eds.) Quantum Effects in Biology. Cambridge: Cambridge University Press, 2014, pp. 264–276. DOI: http://dx.doi.org/10.1017/CBO9780511863189.014.
- Turin L. A spectroscopic mechanism for primary olfactory reception. The Chemical Senses, 1996, vol. 21/6, pp. 773–791. DOI: http://dx.doi.org/10.1093/chemse/21.6.773.
- Mohseni M., Rebentrost P., Lloyd S., Aspuru-Guzik A. Environment-Assisted Quantum Walks in Photosynthetic Energy Transfer. The Journal of Chemical Physics, 2008, vol. 129, issue 17, p. 174106. DOI: http://dx.doi.org/10.1063/1.3002335.
- Maier C., Brydges T., Jurcevic P., Trautmann N., Hempel C., Lanyon B.P., Hauke P., Blatt R., Roos C.F. Environment-Assisted Quantum Transport in a 10-qubit Network. Physical Review Letters, 2019, vol. 122, p. 050501. DOI: http://doi.org/10.1103/PhysRevLett.122.050501.
- Engel G.S., Calhoun T.R., Read E.L., Ahn T.K., Mancal T., Cheng Y.C., Blankenship R.E., Fleming G.R. Evidence for wavelike energy transfer through quantum coherence in photosynthetic systems. Nature, 2007, vol. 446, pp. 782–786. DOI: http://doi.org/10.1038/nature05678.
- Panitchayangkoon G., Hayes D., Fransted K.A., Caram J.R., Harel E., Wen J.Z., Blankenship R.E., Engel G.S. Long-lived quantum coherence in photosynthetic complexes at physiological temperature. Proceedings of the National Academy of Sciences of the United States of America, 2010, vol. 107, no. 29, pp. 12766–12770. DOI: http://doi.org/10.1073/pnas.1005484107.
- Anderson P.W. Absence of Diffusion in Certain Random Lattices. Physical Review, 1958, vol. 109, issue 5, p. 1492. DOI: http://doi.org/10.1103/PHYSREV.109.1492.
- Schulten K., Swenberg C.E., Weller A. A biomagnetic sensory mechanism based on magnetic field modulated coherent electron spin motion. Zeitschrift fur Physikalische Chemie, 1978. Vol. 111, no. 1, pp. 1–5. DOI: http://doi.org/10.1524/zpch.1978.111.1.001.
- Ritz T., Adem S., Schulten K. A Model for Photoreceptor-Based Magnetoreception in Birds. Biophysical Journal, 2000, vol. 78, issue 2, pp. 707–718. DOI: http://dx.doi.org/10.1016/S0006-3495(00)76629-X.
- Zhang Y., Berman G.P., Kais S. The Radical Pair Mechanism and the Avian Chemical Compass: Quantum Coherence and Entanglement. International Journal of Quantum Chemistry, 2015, vol. 115, issue 19, pp. 1327–1341. DOI: http://dx.doi.org/10.1002/qua.24943.
- Astakhova T.Yu., Likhachev V.N., Vinogradov G.A. Long-range charge transfer in biopolymers. Uspekhi khimii [Russian Chemical Reviews], 2012, vol. 81, issue 11, pp. 994–1010. DOI: http://doi.org/10.1070/RC2012v081n11ABEH004308. EDN: https://www.elibrary.ru/rggxuh (In English; Russian original).
- Syurakshin A.V., Lakhno V.D., Yushankhai V.Y. Charge transfer in a DNA molecule within a simple model of an open quantum system. Keldysh Institute Preprints, 2021, no. 23, pp. 1–26. DOI: http://doi.org/10.20948/prepr-2021-23. EDN: https://www.elibrary.ru/perpfv. (In Russ.)
Supplementary files








