Modeling of nanoheterojunction betavoltaic cell on GaN and GaP with Si and 3C-SiC/Si
- Autores: Dolgopolov M.V.1, Chipura A.S.1
-
Afiliações:
- Samara State Technical University
- Edição: Volume 29, Nº 4 (2023)
- Páginas: 133-142
- Seção: Physics
- URL: https://journal-vniispk.ru/2541-7525/article/view/310433
- DOI: https://doi.org/10.18287/2541-7525-2023-29-4-133-142
- ID: 310433
Citar
Texto integral
Resumo
In this paper, the electrophysical properties and efficiency of energy converters — betavoltaic elements, which contain a GaN and GaP heterojunction on Si and 3C-SiC/Si substrates, are modeled. For conversion into electrical energy, external 63Ni or internal 14C radioactive sources with a test specific activity of 100 mCi・cm-2 are investigated in the simulation. The system of parameters and characteristics is optimized: diffusion lengths, short-circuit current, open circuit voltage, filling factor, reverse saturation current and efficiency. It was shown in simulation results, that in the device structure with junction depth of 0.1 microns, the good operation of a betavoltaic element is determined, the short-circuit current density is up to 200 nA・cm-2, the open circuit voltage is up to 3.7 V, the power density is up to 700 nW・cm-2, efficiency up to 25 %. The conversion efficiency reaches its maximum value when using a radioisotope source with an activity density from 25 to 100 mCi・cm-2. The conversion efficiency with the location of the injector source inside is estimated to be about 30 times higher than with the external location.
Texto integral
Введение
Первые разработки ядерной батареи стали возможны после открытия излучения, в начале 1900-х годов [24], а полупроводниковая бетавольтаическая батарея была впервые продемонстрирована в начале 1950-х годов после создания первых полупроводниковых устройств на основе электрон-вольтаического [2; 3] и бетавольтаического эффектов [26]. Принципы работы бетавольтаической батареи во многих отношениях аналогичны принципам работы солнечного элемента. Бетавольтаическая батарея — это полупроводниковое преобразовательное устройство (например, бетавольтаический элемент на p-n переходе, гетеропереходе или на барьерном диоде Шоттки), которое использует энергию бета-излучения для генерации электрон-дырочных пар посредством ионизирующего излучения в веществе. Когда генерируемые пары "электрон–дырка" разделяются встроенным электрическим полем преобразователя энергии и затем собираются в индуцированный излучением ток, то преобразование энергии излучения в электрическую энергию осуществляется непосредственно, то есть прямым преобразованием. За последние несколько десятилетий, благодаря своим небольшим размерам, самоокупаемости, простоте изготовления, незначительному воздействию на окружающую среду, длительному сроку службы и большой удельной энергии, бетавольтаические батареи стали многообещающими источниками микропитания [4; 5] для долговременных микроэлектронных механических систем (МЭМС, MEMS), таких как электроника космических зондов и датчики в удаленных системах местоположения.
В бетавольтаической батарее или в отдельном бетавольтаическом элементе, поскольку энергия испускаемых частиц из радиоизотопа намного больше ширины запрещенной зоны элемента, полупроводники с более широкой запрещенной зоной обеспечивают более высокую эффективность при большей радиационной стойкости, что потенциально позволяет использовать радиоизотопные источники более высокой энергии [29]. Поэтому важно использовать материалы с широкой запрещенной зоной, которые обеспечивают низкие токи утечки, чтобы получить разумную эффективность преобразования мощности. Обычно эффективность и ширина запрещенной зоны положительно коррелируют, но ширину запрещенной зоны нельзя регулировать произвольно высоко, поскольку сбор носителей затруднен из-за широкой запрещенной зоны с плохой проводимостью.
В этой статье гетеропереходные p–n диоды GaN–Si и GaP–Si используются для повышения КПД в батарее с прямым преобразованием вместо одиночного p–n гомоперехода. Рассчитываются значения КПД и выводится теоретическая модель оптимизации для сравнения электрических характеристик с материалами гетеропереходов GaN и GaP на подложках Si и 3С-SiC/Si [7; 8]. В данном исследовании радиоактивные источники Ni, C выбраны из-за подходящего периода полураспада и умеренной средней энергии распада. Что касается преобразователя энергии гетеропереходом, материал зазора выбран таким образом, чтобы образовывать гетеропереход с Si или 3С-SiC/Si [9; 10]. Для барьерных диодов Шоттки на основе Si и SiC [34], In, Al, Ti, Ag и W выбраны в качестве металлов Шоттки. Проведено моделирование для определения транспортных характеристик бета-частиц в материалах для преобразования энергии методом Монте-Карло. Наконец, в соответствии со сравнительными результатами, получены оптимизированные толщина и концентрации легирующих примесей полупроводниковых слоев для элементов бетавольтаической батареи. Определены теоретические расчеты максимальных электрических свойств таких батарей.
1. Модель исследования активированных наногетеропереходов
Параметры полупроводниковых материалов, использованных в данном исследовании и моделировании бетавольтаических элементов, перечислены в табл. 1.1. В табл. 1.1 и 1.2 приведены ссылки на работы, в которых рассчитывались и моделировались бетавольтаические ячейки с указанными материалами, как в нашем исследовании, при этом указаны значения параметров материалов, в крайнем случае отличающиеся не более чем на 5 % в рамках отклонений, связанных с учетом механических напряжений, вызванных несоответствием кристаллических решеток материалов.
Таблица 1.1. Параметры полупроводниковых материалов, используемые в программе моделирования
Table 1.1. Parameters of semiconductor materials used in the simulation program
| GaN | GaP | Si | 3С-SiC |
, эВ | 3.39 | 2.26 | 1.12 | 2.36 |
, эВ | 1.84 | 4.3 | 4.05 | 4 |
, г/см3 | 6.1 | 4.138 | 2 | 3.21 |
, см-3 | 2 | |||
, Å | 4.5 | 5.45 | 5.43 | 4.35 |
10.4 | 10 | 11.7 | 9.7 | |
, эВ | 9.95 | 6.8 | 3.6 | 7.1 |
Refs. | [35-37] | [38] | [38] | [39] |
Таблица 1.2. Диапазоны значений вычисленных параметров для различных материалов с радионуклидами
Table 1.2. Ranges of values of the calculated parameters for various materials with radionuclides
| , m | , m | W*, m | , nA | , V | FF | , % | Ref. |
Гетеропереходы | ||||||||
NiN-GaP – p-Si | 0.3 | 1100 70 | 0.2+0.2 | 170 | 1.5 | 0.91 | 2.3 | [38] |
NiP-GaN – n-Si | 1100 0.4 | 1 0.005 | 0.15+0.15 | 168 | 3.6 | 0.97 | 7 | [36] |
NiN-GaP – p-SiC | 0.3 | 75 4.2 | 0.11+0.11 | 210 | 1.6 | 0.92 | 3 | 1 |
NiP-GaN – n-SiC | 11 2 | 1 0.005 | 0.17+0.17 | 163 | 5.7 | 0.97 | 9.1 | [41] |
Примечание. Сумма значений для двух частей активной зоны гетероперехода W соответствует равной концентрации легирования .
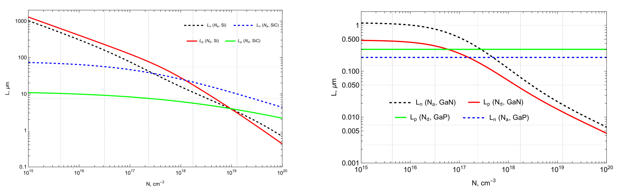
Важное значение для комбинирования и определения наибольшего КПД бетавольтаических элементов и на p-n переходе, и на гетеропереходе играют величины диффузионных длин, поскольку они определяют тип граничных условий для решения дифференциальных уравнений для определения транспорта зарядов через эмиттер, активную зону и базу, приводя к суммарной плотности тока короткой цепи или короткого замыкания, как в дальнейшем представлено на рис. 1.2. Далее мы используем обозначение для диффузионной длины электронов в полупроводниковом материале p-типа легирования и, наоборот, для дырок — [40]. На рис. 1.1 представлены диффузионные длины неосновных носителей заряда в полупроводниковых материалах. Диффузионные длины в SiC меньше при малых концентрациях легирования, чем в Si, но при высоких концентрациях легирования наблюдается общая тенденция уменьшения диффузионной длины, а уменьшается значительнее она в Si. В GaN и GaP диффузионные длины гораздо меньше, причем в GaP они меньше, чем в GaN. Данные заключения о различиях диффузионных длин соответствуют отличию в собственных проводимостях данных полупроводниковых материалов. Удобным является при рассмотрении зависимостей диффузионных длин обоснование выбора материалов и легирования составляющих гетеропереходов для моделируемой бетавольтаической ячейки.
Рис. 1.1. Диффузионные длины неосновных носителей заряда в полупроводниковых материалах Si, SiC, GaN, GaP
Fig. 1.1. Diffusion lengths of minority charge carriers in semiconductor materials Si, SiC, GaN, GaP
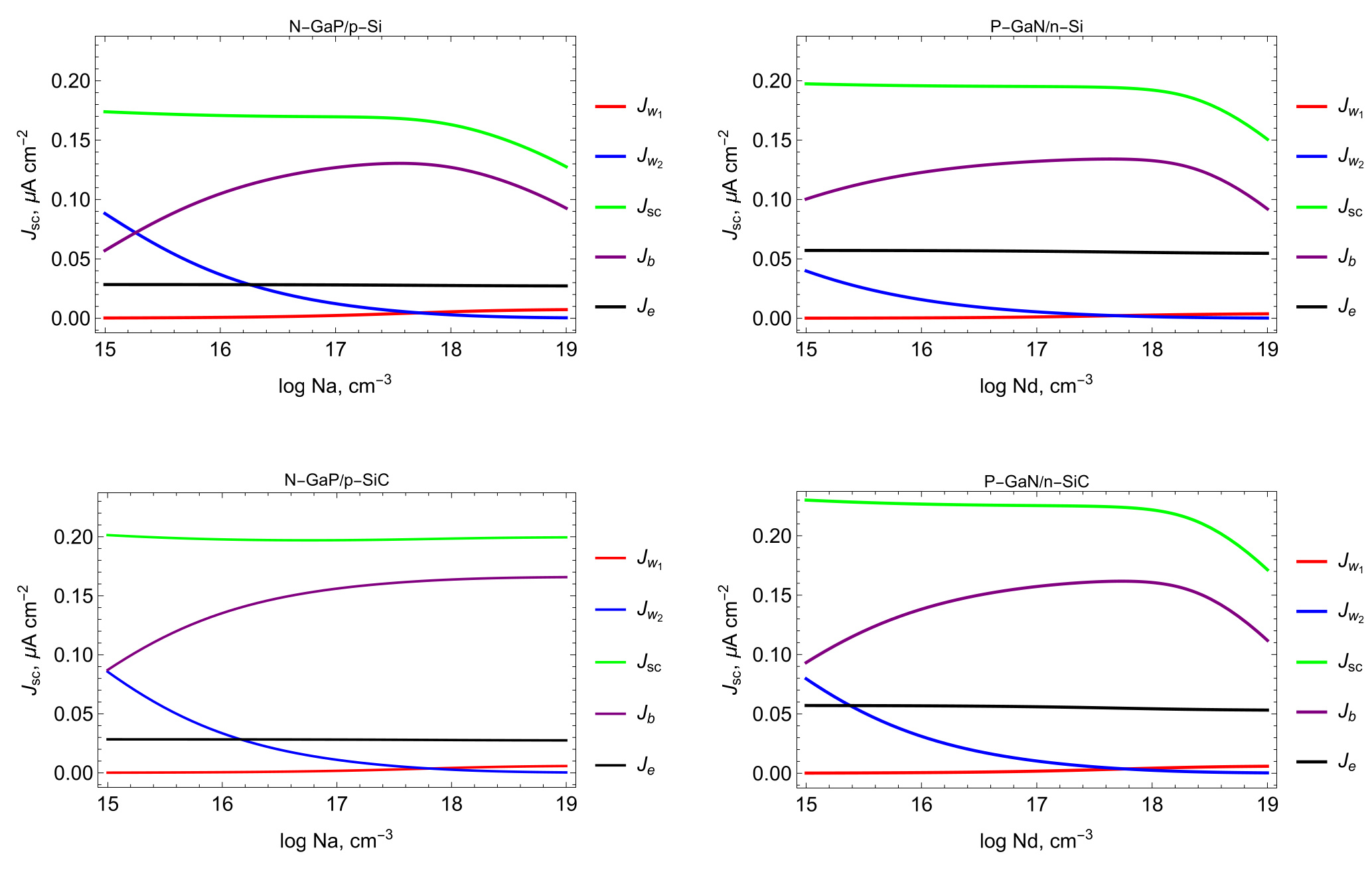
Рис. 1.2. Токи короткого замыкания и их составляющие компоненты в полупроводниковых материалах
Fig. 1.2. Short circuit currents and their components in semiconductor materials
На рис. 1.2 представлены плотности токов короткого замыкания и их составляющие компоненты в полупроводниковых материалах. Получены при легировании тонкого первого слоя до и ширине мкм. При уменьшении концентрации легирования слоя эмиттера ток возрастает на 10–20 %.
В табл. 1.2 представлены диапазоны значений вычисленных параметров для моделей бетавольтаических элементов на гетеропреходах с различными составляющими материалами с радионуклидом Ni, размещенным снаружи, и С, размещенным внутри на гетеропереходе в активной зоне. Тестируемая активность радионуклида 100 мКи. Отметим, что концентрации легирования , для табл. 1.2 рассматриваются при возрастании от , что в таблице используется обозначением при изменении значений параметров.
Для бетавольтаической батареи или отдельного элемента КПД преобразования () это важный параметр для оценки его производительности.
В данном научном исследовании рассматривается методика определения встроенного потенциала на границе раздела двух материалов с использованием двух различных подходов. В частности, для случая материала GaP встроенный потенциал определяется на основе выравнивания уровней Ферми в обоих материалах [38]:
(1.1)
здесь и представляют собой плотности эффективных состояний в валентной зоне для материалов GaP и Si соответственно. Параметр описывает концентрацию дырок в области p-типа и может быть выражен через концентрацию легирующих примесей в этой области. Аналогично представляет собой концентрацию дырок в области n-типа и может быть определен следующим образом:
(1.2)
Данный метод позволяет более глубоко исследовать характеристики встроенного потенциала в различных материалах, что имеет важное значение для более полного понимания физических свойств их границы раздела.
В случае гетеропереходов на основе соединительного полупроводника GaN расчет встроенного напряжения приобретает особенности [36]. При анализе полупроводниковых гетеропереходов, где взаимодействуют два различных материала, в данной статье применяется методика определения встроенных напряжений и толщин областей в этих материалах.
КПД с p-n переходом показан на рис. 1.3.
Рис. 1.3. КПД с p-n переходом в полупроводниковых материалах, Ni
Fig. 1.3. Efficiency with p-n junction in semiconductor materials, Ni
(1.3)
Для данного случая встроенные напряжения и для первого и второго полупроводников соответственно вычисляются через термодинамические параметры и концентрации примесей в материалах. Конкретно они определяются выражениями:
(1.4)
где и — концентрации акцепторных и донорных примесей соответственно, и — интраиндуцированные концентрации носителей заряда в первом и втором материалах.
В результате суммарное встроенное напряжение определяется как их сумма:
(1.5)
Этот метод позволяет более точно оценить влияние физических параметров на формирование встроенных напряжений в гетероструктурах на основе GaN, что имеет важное значение для дальнейшего понимания и оптимизации их электронных свойств и потенциальных применений.
В данной работе была проведена оптимизация параметров различных полупроводниковых материалов для создания и масштабирования наногетеропереходов [42], активируемых радионуклидами — активированных наногетеропереходов. На рис. 1.4 представлена теоретическая симуляция КПД для четырех моделей , , и . В последней модели в качестве инжектора внутрь был имплантирован C [20; 21]. Результаты моделирования согласуются с работами [13; 15; 18]. Для сравнения проведены расчеты для p-n перехода [45] и представлены на рис. 1.3. Эффективность преобразования при расположении источника-инжектора внутри [23] оценивается примерно в 30 раз выше, чем при внешнем расположении.
Рис. 1.4. КПД с гетеропереходом в полупроводниковых материалах Ni и C
Fig. 1.4. Heterojunction efficiency in Ni and C semiconductor materials
Заключение
В данной статье мы рассмотрели комплексную многокомпонентную аналитическую модель, которая учитывает фундаментальные физические параметры бетавольтаического элемента на основе тонких гетеропереходов с GaN и GaP на подложках Si и 3С-SiC/Si. Результаты моделирования показали, что в структуре устройства с глубиной перехода 0.1 мкм, коэффициентом заполнения 0.95, умеренными концентрациями легирования и низкими уровнями скоростей поверхностной рекомбинации как в излучателе-эмиттере, так и в подложке-базе, источник с плотностью активности 1100 мКиопределяет хорошую работу бетавольтаического элемента. В частности, типичные электрические параметры элемента можно резюмировать следующим образом: плотность тока короткого замыкания до 200 нА и напряжение открытой цепи до 3.7 В, плотность мощности до 700 нВт и КПД до 25 %. Эффективность преобразования достигает максимального значения при использовании радиоизотопного источника с плотностью активности от 25 до 100 мКи. Полученные результаты могут оказаться очень полезными для оптимизации конструкции бетавольтаических устройств.
Sobre autores
Mikhail Dolgopolov
Samara State Technical University
Autor responsável pela correspondência
Email: mikhaildolgopolov68@gmail.com
ORCID ID: 0000-0002-8725-7831
Candidate of Physical and Mathematical Sciences, associate professor, Department of Higher Mathematics
Rússia, 244, Molodogvardeyskaya Street, Samara, 443100Alexander Chipura
Samara State Technical University
Email: al_five@mail.ru
ORCID ID: 0009-0004-0425-0653
researcher and lecturer of the Department of Higher Mathematics
Rússia, 244, Molodogvardeyskaya Street, Samara, 443100Bibliografia
- Moseley H.G.J. The Attainment of High Potentials by the Use of Radium. Proceedings of the Royal Society of London. Series A: Mathematical, Physical and Engineering Sciences, 1913, vol. 88, pp. 471–476. DOI: https://doi.org/10.1098/rspa.1913.0045.
- Ehrenberg W., Lang C., West R. The Electron Voltaic Effect. Proceedings of the Physical Society. Section A, 1951, vol. 64, number 4, Article number 424. DOI: https://doi.org/10.1088/0370-1298/64/4/109.
- Rappaport P. The Electron-Voltaic Effect in p-n Junctions Induced by Beta-Particle Bombardment. Phys. Rev, 1954, vol. 93, issue 1, Article number 246. DOI: https://doi.org/10.1103/PhysRev.93.246.2.
- Spencer M.G., Alam T. High power direct energy conversion by nuclear batteries. Applied Physics Reviews, 2019, vol. 6, Article number 031305. DOI: https://doi.org/10.1063/1.5123163.
- Zhou Chunlin, Zhang Jinsong, Wang Xu, Yang Yushu, Xu Pan, Li Peixian, Zhang Lu, Chen Zhiyuan, Feng Huanran, Wu Weiwei. Review—Betavoltaic Cell: The Past, Present, and Future. ECS Journal of Solid State Science and Technology, 2021, vol. 10, number 2, Article number 027005. DOI: https://doi.org/10.1149/2162-8777/abe423.
- Naseem M.B., Kim H.S., Lee J., Kim C.H., In S.-I. Betavoltaic Nuclear Battery: A Review of Recent Progress and Challenges as an Alternative Energy Source. The Journal of Physical Chemistry C, 2023, vol. 127, issue 16, pp. 7565–7579. DOI: https://doi.org/10.1021/acs.jpcc.3c00684.
- Ho Wan, Chow Yi, Nakamura Shuji, Peretti Jacques, Weisbuch Claude, Speck James. Measurement of minority carrier diffusion length in p-GaN using electron emission spectroscopy (EES). Applied Physics Letters, 2023, vol. 122, Article number 212103. DOI: https://doi.org/10.1063/5.0150029.
- Chepurnov V.I., Dolgopolov M.V., Gurskaya A.V., Latukhina N.V. Method for producing a porous layer of a silicon carbide heterostructure on a silicon substrate. Patent for an invention RU 2 653 398 C2, 08.05.2018. Application № 2016129598 dated 19.07.2016. Available at: https://yandex.ru/patents/doc/RU2653398C2_20180508. (In Russ.)
- Kuznetsova A., Chepurnov V., Dolgopolov M., Gurskaya A., Kuznetsov O., Mashnin A., Radenko V., Radenko A., Surnin O., Zanin G. Betavoltaic device in por-SiC/Si C-Nuclear Energy Converter. EPJ Web of Conferences, 2017, vol. 158, Article number 06004. DOI: https://doi.org/10.1051/epjconf/201715806004.
- Chepurnov V.I., Puzyrnaya G.V., Gurskaya A.V., Dolgopolov M.V., Anisimov N.S. Experimental investigation of semiconductor structures of the power source based on carbon-14. Physics of Wave Processes and Radio Systems, 2019, vol. 22, no. 3, pp. 55–67. DOI: https://doi.org/10.18469/1810-3189.2019.22.3.55-67. EDN: https://www.elibrary.ru/ousjkw. (In Russ.)
- Roccaforte F., Giannazzo F., Raineri V. Nanoscale transport properties at silicon carbide interfaces. Journal of Physics D: Applied Physics, 2010, vol. 43, no. 22, Article number 223001. DOI: https://doi.org/10.1088/0022-3727/43/22/223001.
- Protasov D.Y., Malin T.V., Tikhonov A.V. et al. Electron scattering in AlGaN/GaN heterostructures with a two-dimensional electron gas. Semiconductors, 2013, vol. 47, pp. 33–44. DOI: https://doi.org/10.1134/S1063782613010181. (In English; original in Russian)
- Reyyan Kavak Yuruk, Hayriye Tutunculer. Theoretical Investigation of High-Efficiency GaN-Si Heterojunction Betavoltaic Battery. Canadian Journal of Physics, 2019, vol. 97, issue 9, pp. 1031–1038. DOI: https://doi.org/10.1139/cjp-2018-0579.
- Demeter T., Athanassios A. Tsekouras. The electron affinity of gallium nitride (GaN) and digallium nitride (GaNGa): The importance of the basis set superposition error in strongly bound systems. The Journal of Chemical Physics, 2008, vol. 128, Article number 144103. DOI: https://doi.org/10.1063/1.2883997.
- Wang Y., Lu J., Zheng R., Li X., Liu Y., Zhang X., Zhang Y., Chen Z. Theoretical study of a high-efficiency GaP–Si heterojunction betavoltaic cell compared with metal–Si Schottky barrier betavoltaic cell. AIP Advances, 2021, vol. 11, Article number 065110. DOI: https://doi.org/10.1063/5.0053917.
- Willardson R.K., Weber E.R. SiC Materials and Devices. London, UK: Elsevier Science, 1998, 420 p. Available at: https://books.google.ru/books?id=bYms_kigMX8C&hl=en&redir_esc=y.
- Lin Z. Simulation and Optimization Design of SiC-Based PN Betavoltaic Microbattery Using Tritium Source. Crystals, 2020, vol. 10, issue 2, Article number 105. DOI: https://doi.org/10.3390/cryst10020105.
- Bouzid F., Pezzimenti F., Dehimi L. Modelling and performance analysis of a GaN-based n/p junction betavoltaic cell. Nuclear Instruments and Methods in Physics Research Section A: Accelerators, Spectrometers, Detectors and Associated Equipment, 2020, vol. 969, Article number 164103. DOI: https://doi.org/10.1016/j.nima.2020.164103.
- Dolgopolov M.V., Elisov M.V., Rajapov S.A., Chipura A.S. Scaling Models of Electrical Properties of Photo and Beta-Converters with Nano-Heterojunctions. Computational Nanotechnology, 2023, vol. 10, issue 1, pp. 138–146. DOI: https://doi.org/10.33693/2313-223X-2023-10-1-138-146. EDN: https://www.elibrary.ru/wkekac. (In Russ.)
- Chepurnov V.I., Rajapov S.A., Dolgopolov M.V., Puzyrnaya G.V., Gurskaya A.V. Efficiency determination problems for SiC*/Si microstructures and contact formation. Computational Nanotechnology, 2021, vol. 8, no. 3, pp. 59–68. DOI: https://doi.org/10.33693/2313-223X-2021-8-3-59-68. EDN: https://www.elibrary.ru/eybfqt. (In Russ.)
- Gurskaya A.V., Dolgopolov M.V., Chepurnov V.I. [et al.]. Contacts for SiC Nano-Microwatt Energy Converters // Vestnik Moskovskogo Universiteta Seriya 3 Fizika Astronomiya, 2023, vol. 78, issue 1, article number 2310103. DOI: https://doi.org/10.3103/S0027134923010149.
- Rahmani F., Khosravinia H. Optimization of silicon parameters as a betavoltaic battery: Comparison of Si p-n and Ni/Si schottky barrier // Radiation Physics and Chemistry. 2016. 125. Pp. 205–212. DOI: https://doi.org/10.1016/j.radphyschem.2016.04.012.
- Dolgopolov V.V., Chepurnov V.I., Chipura A.S. [et al.]. Scaling and activation of nanoheterojunctions on silicon and silicon carbide substrates // In Proceedings of the International Conference “Fundamental and Applied Problems of Modern Physics”. 2023. Section II. P. 88–92. https://elibrary.ru/item.asp?id=54922680
Arquivos suplementares






