Features of rheological properties of organic binders in the cooling process
- Autores: Zhitov R.G.1, Lushnikov N.A.2, Lukin A.S.1, Nebratenko D.Y.2
-
Afiliações:
- Institute of Petroleum and Carbon Chemical Synthesis
- Russian University of Transport
- Edição: Volume 15, Nº 1 (2025)
- Páginas: 75-82
- Seção: BUILDING MATERIALS AND PRODUCTS
- URL: https://journal-vniispk.ru/2542-0151/article/view/292674
- DOI: https://doi.org/10.17673/Vestnik.2025.01.11
- ID: 292674
Citar
Texto integral
Resumo
In recent decades, there has been an active development of many sections of road materials science. This is mainly due to the changing operating conditions of highways: both natural and climatic, and technical. Additional opportunities are also opening up in connection with the introduction into widespread practice of new devices and devices for evaluating a number of indicators of road binders. At the same time, traditional bitumen testing methods continue to be improved. Thus, the assessment of the indicators of bitumen binders on a ductilometer during quality control of products supplied for storage in solid form in plywood, cardboard or plastic cubes with a capacity of about 1 m3 allowed us to draw interesting conclusions when analyzing the extensibility of traditional road binders extracted from different parts of the cube. It has been established that during the input control of bitumen raw materials, reliable indications that coincide with the passport data of the manufacturer can be obtained only in the case of complete melting and homogenization of the binder extracted from the container. Otherwise, there is a discrepancy between the parameters being checked, which is most noticeable for the ductility indicator at 25 degrees Celsius. An assumption has been made about the physico-chemical causes of the detected phenomenon based on the polymer, rather than colloidal, structure of the resulting road binders.
Palavras-chave
Texto integral
Введение
Создание современной дорожной сети требует решения множества инженерных, технологических, экологических и экономических проблем. А сводные экономические расчеты приобретают главенствующую роль, диктуя инженерам-строителям требования и ограничения, обуславливающие применение инновационных технических решений, передовых материалов и современных технологий [1, 2].
Одним из основных материалов, обладающих существенными стоимостными показателями и имеющих решающее значение в ходе эксплуатации дорожных сооружений, является органическое вяжущее (битум нефтяной дорожный или модифицированное вяжущее) [2]. На текущий момент даже традиционное битумное вяжущее при его относительно небольшом вовлечении в асфальтобетонную смесь (до 3‒5 %) может составлять до 40‒45 % всех затрат на строительство дороги. И это учитывая только стоимость самого вяжущего материала. В случае применения фасованных вяжущих, с учетом расходов на упаковку, транспортировку, хранение, нагрев и плавление битума до рабочей температуры, затраты могут возрасти до 65-70 %. В данной ситуации максимально эффективная работа с фасованными вяжущим является для дорожных организаций первоочередной задачей.
Безусловно, это касается прежде всего регионов, расположенных в северной и восточной частях России, где крупнотоннажное производство вяжущих практически отсутствует, а возможности российских железных дорог не позволяют обеспечить точечную доставку битума в железнодорожных цистернах. Поэтому вопрос эффективной логистики вяжущего до места проведения работ является крайне актуальной задачей. За последние 10 лет важную роль в вопросе хранения, логистики и эффективного разогрева заняли фасованные вяжущие, показав свою эффективность [3].
Необходимо остановиться подробнее на ряде моментов, связанных с логистикой и применением фасованных вяжущих:
- Эффективность разогрева фасованного битума в сравнении с вагонами-цистернами.
Исходя из объема битума в вагоне-цистерне (до 65 т) и эффективной площади разогрева цистерны через паровую рубашку, при соблюдении всех технических норм на разогрев и полное опорожнение одной цистерны, в зависимости температуры окружающей среды, марки битума и состояния вагон-цистерны, может уходить от 48 до 72 ч. Тот же объем вяжущего можно получить путем плавления фасованного битума (из кубов по 1 т) за 12‒24 ч при сравнимых энергозатратах [4].
- Простота создания запасов вяжущих в фасованном виде.
Накопление и хранение необходимых объёмов битумных вяжущих, особенно в удаленных и труднодоступных местностях, в жидком виде весьма затруднительно. Причина состоит в том, что при проведении работ на отдаленных участках автомобильных дорог, которые проводятся нерегулярно и в ограниченный промежуток времени, развёртывание непосредственно на таком участке даже передвижного резервуарного парка не только весьма дорого и трудозатратно, но и отвлекает людские и материальные ресурсы от основной деятельности дорожных организаций. Создание же стационарного хранилища за счёт единичной частной подрядной организации также маловероятно вследствие неоднозначности итогов тендерных процедур на ремонт и содержание дорог даже в самых отдаленных регионах страны. Фасованный же битум, особенно при использовании полимерной упаковки, способен накапливаться на совершенно не подготовленных площадках практически в полевых условиях, что существенно удешевляет стоимость хранения вяжущих. Кроме того, для перевозки фасованных вяжущих не требуется специального транспорта и разрешения на перемещение грузов [5–8].
- Стабильность качественных показателей фасованных вяжущих.
Сохранение качества вяжущих является важной проблемой при выборе вяжущего для производства асфальтобетонной смеси. При перевозке в вагон-цистернах перекачивание возможно только в жидком виде, поэтому битум многократно нагревается: в момент разогрева цистерны, при подогреве вяжущего перед перевозкой автотранспортом и уже далее при его подаче в хранилище на АБЗ, а в последующем – на смесительную установку. На каждом из этапов возможен локальный перегрев битума и его старение, что приводит к неконтролируемому изменению свойств вяжущего. При использовании фасованных вяжущих плавление и последующий нагрев происходят один раз непосредственно перед производством асфальтобетонной смеси, что минимизирует потерю качества вяжущего за счет перегрева [8]. И это только основные преимущества фасованного битума, что и обусловливает широкое распределение данного вида поставки вяжущего (рис. 1).
Рис. 1. Принципиальные схемы транспортировки жидких и фасованных битумных вяжущих
Fig. 1 Schematic diagrams of transportation of liquid and packaged bitumen binders
Отдельно необходимо отметить, что для модифицированных вяжущих, в том числе полимерно-битумных, затаривание является единственным вариантом не только их транспортировки и складирования, так как их хранение и перевозка в нагретом состоянии ограничены продолжительностью в несколько суток [9].
Материалы и методики
Но любое решение всегда имеет свои проблемы и сложности. И одним из проблемных моментов использования фасованных вяжущих является достоверный контроль качества. Преимущественно поставка фасованных вяжущих в районы Сибири и Дальнего Востока осуществляется из центральной части страны железнодорожным транспортом, а для контроля качества используются соответствующие нормативно-технические документы. В первую очередь, это межгосударственный стандарт ГОСТ 2517-2012 «Нефть и нефтепродукты. Метод отбора проб», регламентирующий следующую процедуру отбора проб: «… на месте погружения щупа удаляют верхний слой нефтепродукта толщиной 25 мм. Точечную пробу твердых плавких нефтепродуктов из бочки и мешка, заполненного наливом, отбирают в виде куска с помощью ножа, зубила, долота, топора, колуна». При этом производители упаковки для фасовки вяжущих рекомендуют делать отбор пробы или проб через боковые стороны упаковки для усреднения результатов по всему образцу вяжущего. К сожалению, производителями вяжущих и изготовителями упаковки для вяжущих до сих пор не проведено развернутых систематических исследований стабильности свойств битумов и битумных вяжущих в зависимости от типа тары, упаковки, методов хранения, транспортировки и плавления.
При этом на различных асфальтобетонных производствах, использующих фасованный нефтяной дорожный битум в таре массой от 900 кг, вне зависимости от используемой тары и заводов производителей битума, наблюдаются схожие закономерности по изменению качественных показателей фасованного битума. Если отбирать пробу вяжущего согласно ГОСТ 2517-2012 и испытывать полученные образцы по основным показателям, регламентируемым ГОСТ 33133-2014 «Дороги автомобильные общего пользования. Битумы нефтяные дорожные вязкие. Технические требования», то битум после полного застывания в таре не отличается от исходного битума. Если же добавить к основным показателям такой дополнительный параметр, как растяжимость при 25 °C, то данный параметр для фасованного битума, отобранного в соответствии с рекомендациями производителей тары [10], будет существенно отличаться от исходного вяжущего. Стоит отметить, что указанный показатель ранее являлся обязательным в ГОСТ 22245-90 «Битумы нефтяные дорожные вязкие».
Так, для фасованного битума растяжимость при 25 °C не будет соответствовать значениям данного показателя для исходного вяжущего. Средние отклонения изменений растяжимости составляют от 50 до 70 % от первоначальных паспортных значений. Обратив внимание на данную закономерность, сотрудниками Испытательного центра Байкальского битумного терминала (г. Иркутск) была поставлена задача подтвердить выявленную закономерность в реальных производственных условиях.
Для исключения влияния качества исходного нефтяного сырья и технологии производства битумов методология исследования предполагала сопоставление значений растяжимости при 25 °C для образцов битума нефтяного дорожного марки БНД 100/130, изготовленных на российских заводах. Комплексный анализ проводился для серий поставок фасованных вяжущих, произведенных в 2022 и 2023 гг. соответственно (табл. 1).
Таблица 1. Исходные физико-механические характеристики БНД 100/130 разного периода изготовления
Table 1. Initial physical and mechanical characteristics of BND 100/130 of different manufacturing period
Показатель | Требования ГОСТ 33133 для БНД 100/130 | БНД 100/130-2022 | БНД 100/130-2023 |
Температура размягчения, °C | Не менее 45 | 46 | 47 |
Пенетрация, 0,1 мм | 101-130 | 100 | 102 |
Температура хрупкости по Фраасу, °C | Не выше минус 20 | -24 | -26 |
Растяжимость при 0 °C, мм | Не менее 4 | 5 | 6 |
Растяжимость при 25 °C, мм | Не менее 70 | 110 | 78 |
Вязкость, Па·с | Не нормируется | 0,32 | 0,35 |
Условия хранения от момента налива до момента испытаний битума подразумевали, что вяжущее находилось в закрытой таре, без доступа солнечных лучей, в течение 4 месяцев при температуре 20‒30 °C. С целью исключения влияния ошибки измерения испытания проводились в одной лаборатории, причем серии испытаний для вяжущих разных периодов изготовления оценивались разными лаборантами на оборудовании одного типа, но разных изготовителей. Серия испытаний БНД 100/130, произведенного в 2022 г., была осуществлена в 2022 г., а БНД 100/130, изготовленный в 2023 г., испытывался в лабораторно-техническом центре Испытательного центра Байкальского битумного терминала в 2023 г.
Результаты указанных серий испытаний показали схожую закономерность при условии, что обор пробы производился по следующему алгоритму. Сначала с верхней части фасованного в куб битума удалялся слой толщиной не менее 2 см, а затем производился отбор пробы путем ее вырезания из массива битума. В этом случае растяжимость исследуемого вяжущего при 25 °C по абсолютной величине была систематически меньше заявленной в паспорте изготовителя. Следует отметить, что значение указанного показателя при 0 °C соответствует характеристикам, указанным в паспорте на товарный продукт (ГОСТ 33133-2014 «Дороги автомобильные общего пользования. Битумы нефтяные дорожные вязкие. Технические требования»).
В том случае, когда отбор пробы для испытания на дуктильность при 25 °C осуществлялся непосредственно из плавильного агрегата, где фасованный в куб битум расплавлялся полностью, показатель растяжимость при 25 °C приближался к заявленному в паспорте даже при отсутствии перемешивания вяжущего. Воспроизводимость наблюдалась как для вяжущих 2022 г. изготовления, так и для битумов 2023 г. производства (табл. 2).
Таблица 2. Изменения свойств битума нефтяного дорожного в зависимости от способа отбора проб
Table 2. Changes in the Properties of Road Oil Bitumen Depending on the Sampling Method
Показатель | БНД 100/130-2022 | БНД 100/130-2023 | ||||
Паспортные значения | Проба из верхней части холодного куба | Жидкая проба после расплавления куба битума | Паспортные значения | Проба из верхней части холодного куба | Жидкая проба после расплавления куба битума | |
Температура размягчения, °C | 45 | 45 | 46 | 46 | 47 | 47 |
Пенетрация, 0,1 мм | 115 | 117 | 120 | 110 | 114 | 116 |
Температура хрупкости по Фраасу, °C | -25 | -25 | -25 | -27 | -26 | -26 |
Растяжимость при 0 °C, мм | 6 | 6 | 6 | 5 | 4 | 6 |
Растяжимость при 25 °C, мм | 110 | 42 | 110 | 100 | 35 | 105 |
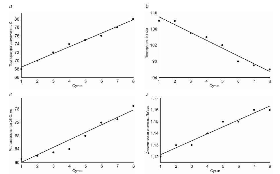
Экспериментально подтверждена стабильность физико-механических показателей битумов, находящихся в течение 8 сут при н.у. Так, основные физико-механические свойства: температура размягчения, температура хрупкости, растяжимость при 0 °C и вязкость изменяются незначительно относительно исходных паспортных показателей.
Для двух серий испытаний битумов наблюдается увеличение глубины проникания иглы при 25 °C в течение первых 8 сут (рис. 2). При этом значения температуры размягчения битумов сохраняются стабильными. Помимо пенетрации, за наблюдаемые 8 сут происходит существенное изменение растяжимости вяжущих при 25 °C (рис. 3).
Рис. 2. Динамика изменения глубины проникания иглы при 25 °C (а) и температуры размягчения (б) для БНД 100/130 2022 (1) и 2023 (2) годах производства
Fig. 2. Dynamics of changes in needle penetration depth at 25 °C (a) and softening temperature (b) for BND 100/130 2022 (1) and 2023 (2)
Рис. 3. Динамика изменения растяжимости при 25 °C для БНД 100/130 в 2022 (1) и 2023 (2) годах производства
Fig. 3. Dynamics of the change in extensibility at 25 °C for BND 100/130 2022(1) and 2023(2)
Наблюдаемые изменения пенетрации и растяжимости при 25 °C не могут быть обусловлены только старением вяжущего, так как отмеченные изменения носят разнонаправленный характер. Более того, отмеченное старение было бы зафиксировано иным, более чувствительным методом ‒ вязкостью битума, однако в данном случае изменение вязкостных показателей не наблюдается [9]. Динамика изменения вязкостных показателей для битумов в рассматриваемых периодах представлена на рис. 4.
Рис. 4. Динамика изменения динамической вязкости для образцов БНД 100/130, произведенных и расфасованных в 2022 (1) и 2023 (2) годах
Fig. 4. Dynamics of changes in dynamic viscosity for BND 100/130 samples produced and packaged in 2022 (1) and 2023 (2)
Результаты и дискуссия
Полученные данные позволяют сделать предположение, что при остывании битума происходит изменение внутренней структуры вяжущего [11, 12]. Возможный механизм может быть обусловлен не коллоидной структурой битума, а его высокомолекулярной природой, что обусловливает сжатие и образование плотных глобул из высокомолекулярных компонентов битума, приводящее к вытеснению низкомолекулярной фазы битума в верхние слои тары [13, 14]. Данный подход кажется наиболее вероятным, поскольку он находит свое подтверждение в восстановлении свойств битума после разогрева всего объема образца, что сложно реализовать при коллоидной природе битума. Безусловно, данное предположение требует внимательного изучения и обсуждения.
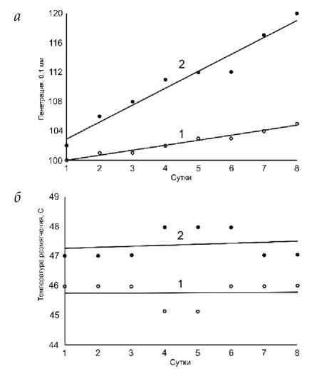
Подтверждением «полимерной» гипотезы внутренней структуры вяжущего является и аналогичное изменение физико-механических показателей, полученное для полимерно-битумного вяжущего (ПБВ). В качестве ПБВ использовалось вяжущее из производственной партии, изготовленной на Байкальском битумном терминале по ГОСТ Р 52056-2003 «Вяжущие полимерно-битумные на основе блок-сополимеров типа стирол-бутадиен-стирол. Технические условия», на основе БНД 100/130 и 3,5 масс. % линейной марки бутадиен-стирольного термоэластопласта. Динамика изменения традиционных физико-механических показателей ПБВ 90 (пенетрация, температура размягчения, растяжимость при 25 °C, динамическая вязкость) представлена на рис. 5.
Рис. 5. Динамика изменения физико-механических характеристик ПБВ 90: а – температура размягчения; б – пенетрация при 25 °C; в – растяжимость при 25 °C; г– динамическая вязкость
Fig. 5. Dynamics of changes in the physical and mechanical characteristics of PmB 90 a – softening temperature; b – penetration at 25 °C; c – extensibility at 25 °C; d – dynamic viscosity
Результаты, полученные в ходе испытания проб, отбираемых ежедневно в течение 8 сут, показали, что для ПБВ 90 наблюдается изменение в сторону увеличения всех исследуемых физико-механических характеристик вяжущего. Как об одном из возможных вариантов, объясняющих данную закономерность, можно говорить о продолжении релаксационных процессов полимерной компоненты, наблюдающихся в ранее фасованном ПБВ после его плавления.
Распределение высокомолекулярной компоненты в объёме битумного вяжущего может быть обусловлено высвобождением низкомолекулярной фазы ПБВ за счет «полимерного» механизма изменения физико-механических свойств вяжущего, так как данный механизм может являться наиболее вероятным и логичным объяснением наблюдаемых изменений свойств вяжущего при остывании в замкнутом объеме.
Вывод. Проведенные испытания показали, что как исходный битум нефтяной дорожный, так и полимерно-битумное вяжущее переносят хранение в фасованном виде без снижения качества вяжущего и сохраняют свои свойства длительный промежуток времени. При этом при проведении входного контроля качества фасованных вяжущих отбор проб должен производиться только при полном разогреве всего объема тары (куба), а не путем извлечения одиночной пробы из твердого объёма битумного вяжущего.
Отдельное внимание необходимо уделить дальнейшему изучению «полимерной» природы нефтяного битума, так как способность вяжущего обратимо выделять часть легких фракций может впоследствии существенно влиять на свойства и долговечность асфальтобетонной смеси.
Sobre autores
Roman Zhitov
Institute of Petroleum and Carbon Chemical Synthesis
Autor responsável pela correspondência
Email: zhitovro-man@gmail.com
Irkutsk State University, PhD of Chemical Sciences, Senior Researcher
Rússia, 664003, Irkutsk, Karl Marx st., 1Nikolay Lushnikov
Russian University of Transport
Email: lab10@mail.ru
PhD of Engineering Sciences, Associate Professor, Head of the Highways, Airfields, Foundations and Foundations Chair
Rússia, 125315, Moscow, 3rd Baltiyskiy Lane, 3Andrey Lukin
Institute of Petroleum and Carbon Chemical Synthesis
Email: lukin3095@yandex.ru
Irkutsk State University, Post-graduate Student
Rússia, 664003, Irkutsk, Karl Marx st., 1
Dmitry Nebratenko
Russian University of Transport
Email: nebratenko@mail.ru
PhD of Chemical Sciences, Associate Professor of the Highways, Airfields, Foundations and Foundations Chair
Rússia, 125315, Moscow, 3rd Baltiyskiy Lane, 3Bibliografia
- Kopotilov A. What asphalt concrete is preparing for in the future. Dorogi Rossii [Roads of Russia], 2020, no. 115, pp. 32–41. (in Russian)
- Mikhasek A.A., Rodionov M.V., Gorbunov S.K. The effect of the type of fixing of the slope of hydraulic structures on reducing the cost of their construction. Gradostroitel’stvo i arhitektura [Urban Planning and Architecture], 2022, vol. 12, no. 3, pp. 56–61. (in Russian) doi: 10.17673/Vestnik.2022.03.8
- Bazhenov A.V. Bitumen in packaging. Avtomobil’nye dorogi [Highways], 2019, no. 12, pp. 40–42. (in Russian)
- Litovchenko D.P., Shiryaev A.O. Problems of transportation and storage of bitumen. Mezhdunarodnaja nauchno-tehnicheskaja konferencija molodyh uchenyh BGTU IM. V.G. Shuhova [International Scientific and Technical Conference of Young Scientists of BSTU IM. V.G. Shukhova]. Belgorod, 2016, pp. 1258–1262. (In Russian).
- Askarov R.M., Mukhamedov I.I., Kurdenkova I.B. Analysis of the applied options for packaging road bitumen. Innovacionnye materialy i tehnologii v transportnom stroitel’stve i dorozhnom hozjajstve: sb. nauch. tr. [Innovative materials and technologies in transport construction and road facilities: Sat. scientific. tr.]. Moscow, 2022, no. 6, pp. 95–99. (In Russian).
- Aliyev E.Sh., Gokhman L.M., Voitenko O.N., Kupreenko V.V., Novikovsky A.A. Bitumen binders and modifiers for increasing service life. Dorogi. Innovacii v stroitel’stve [Roads. Innovation in construction], 2019, no. 81, pp. 118–129. (in Russian)
- Luchinsky D.P., Timokhovets V.D., Proshkin A.R. Optimization of the delivery of binding materials through the construction of bitumen terminals in the territory of the Ural Federal District. Transport. Transportnye sooruzhenija. Jekologija [Transportation. Transport facilities. Ecology], 2021, no. 2, pp. 30–37. (in Russian)
- Cherepanov V.D., Dyachkova S.G., Kuzora I.E., Dubrovsky D.A., Lukina V.I. Transformacija neftjanyh dispersnyh sistem v processe jekspluatacii [Transformation of Petroleum Dispersed Systems During Operation], 2021, vol. 11, no. 3, pp. 481–490. (in Russian)
- Bazhenov A.V., Sorokin V.V. Melting of packed bitumen. Avtomobil’nye dorogi [Highways], 2014, no. 1, pp. 64–69. (in Russian)
- Bazhenov A.V., Sorokin V.V. The decisive role of packaging. Avtomobil’nye dorogi [Highways], 2012, no. 11, pp. 70–72. (in Russian)
- Polyakova V.I. On the structuring of road binding materials. Dorogi i mosty [Roads and Bridges], 2016, no. 2, pp. 233–264. (in Russian)
- Gureev A.A. Neftjanye vjazhushhie materialy [Petroleum binding materials]. Moscow, 2018. 424 p.
- Gokhman L.M., Gurariy E.M., Davydova A.R., Davydova K.I. Polimerno-bitumnye vjazhushhie materialy na osnove SBS dlja dorozhnogo stroitel’stva [Polymer-bitumen Binding Materials Based on SBS for Road Construction]. Moscow, Informavtodor, 2002. 111 p.
- Frolov I.N., Yusupova T.N., Ziganshin M.A., Okhotnikova E.S., Firsin A.A. Features of formation of colloidal dispersed structure in petroleum bitumen. Kolloidnyj zhurnal [Colloid Journal], 2016, vol. 78, no. 5, pp. 650–654. (in Russian)
Arquivos suplementares







