Изменения климата и методология оценки климатических рисков в Санкт-Петербурге и Ленинградской области
- Авторы: Дроздов В.В.1, Лобанов В.А.1, Окуличева А.А.1
-
Учреждения:
- Российский государственный гидрометеорологический университет
- Выпуск: Том 88, № 3 (2024)
- Страницы: 365-379
- Раздел: ГИДРОМЕТЕОРОЛОГИЧЕСКИЕ ЯВЛЕНИЯ И ОКРУЖАЮЩАЯ СРЕДА
- URL: https://journal-vniispk.ru/2587-5566/article/view/279691
- DOI: https://doi.org/10.31857/S2587556624030084
- EDN: https://elibrary.ru/SOEXQA
- ID: 279691
Цитировать
Полный текст
Аннотация
Выполнен анализ многолетних данных сезонных, месячных и средних за год значений температур воздуха, атмосферных осадков и скоростей ветра. Показано, что за последние 20–30 лет наблюдается сезонная внутригодовая перестройка температурных условий: зимы становятся более мягкими, а лето – менее жарким. Результаты кластерного анализа гидрометеорологических данных позволили установить, что в отношении значений температуры воздуха в среднем за зиму наиболее выраженные их особенности характерны для самых западных поселений Ленинградской области, например, г. Кингисеппа. Это может быть связано с их большей близостью к открытой акватории Финского залива, оказывающей отепляющее влияние. Наиболее холодными являются восточные районы Ленинградской области, удаленные от значительных водных акваторий, которые и формируют второй по значимости кластер: в него вошли территории городов Тихвин, Лодейное Поле и район с. Винницы. Наиболее ветреными районами, где наиболее часто наблюдаются скорости ветра более 20 м/с, представляющие значительную опасность для функционирования различных техногенных объектов, включая линии электропередач, порты и водный транспорт, являются прибрежные территории Финского залива, включая, прежде всего, города Выборг, Санкт-Петербург, Кингиссеп. Сильные ветра разрушительно воздействуют также на лесные экосистемы, приводят к ветровалам, особенно в хвойных лесах на песчаных почвах, в том числе в Курортном районе Санкт-Петербурга вдоль северного побережья Невской губы. Увеличение интенсивности и частоты атмосферных осадков приводит к росту объемов сточных вод, что может угрожать системам водоотведения Санкт-Петербурга и поселений Ленинградской области. Обоснована необходимость анализа текущих возможностей городских очистных сооружений и увеличения их производительности. Нормированы значения гидрометеорологических характеристик, описывающих опасные для жизнедеятельности населения Санкт-Петербурга и Ленинградской области природные процессы. Обоснованы методические подходы для комплексной оценки риска при изменениях климата, которые в дальнейшем могут быть использованы при подготовке паспортов климатической безопасности Санкт-Петербурга и Ленинградской области.
Полный текст
ВВЕДЕНИЕ
По данным Всемирной метеорологической организации, период с 2015 по 2020 г. может считаться самым теплым шестилетием, а период с 2011 по 2020 г. – самым теплым десятилетием за всю историю инструментальных регулярных наблюдений. Данные гидрометеорологических наблюдений в пределах территории Европейской России свидетельствуют, что, начиная с 1980-х, годов возникла общая тенденция к потеплению климата со своими региональными особенностями (Анисимов и др., 2020; Лобанов, Шадурский, 2013; Павловский, Менжулин, 2013; Тишков и др., 2018). Увеличились повторяемость опасных гидрометеорологических явлений, прежде всего штормовых ветров (более 20 м/c), экстремальных атмосферных осадков, наводнений на реках и в прибрежной морской зоне, приводящих к значительному социально-экономическому ущербу (Дроздов, 2009; Дроздов и др., 2023; Павловский, 2013; Павловский, Менжулин, 2013). Кроме того, в последние годы волны тепла в летний период стали причиной неблагоприятных последствий для здоровья населения, особенно в крупных городах (Акимов, Соколов, 2016; Ревич, 2019, 2023; Третий …, 2022).
В рамках реализации Национального плана мероприятий первого этапа адаптации к изменениям климата на период до 2022 г., утвержденного распоряжением Правительства Российской Федерации от 25 декабря 2019 г. № 3183-р, на территории России сформирована система адаптации к изменениям климата, включающая национальный, отраслевые и региональные планы адаптации, а также некоторые методические основы разработки адаптационных мероприятий. В процессе оценки климатических рисков применительно к различным отраслям экономики и регионам (субъектам РФ) выявляются опасные климатические факторы, подверженность и уязвимость к ним природных и техногенных систем.
11 марта 2023 г. Распоряжением Правительства Российской Федерации № 559-р утвержден Национальный план мероприятий второго этапа адаптации к изменениям климата на период до 2025 г. Данный план предусматривает 17 мероприятий, направленных на научно-методическое, правовое, организационное и информационное обеспечение необходимых адаптационных мер. Предполагается разработка национальных стандартов в сфере адаптации к изменениям климата; создание системы менеджмента в области климатических рисков на уровне организаций; оценка возможного ущерба от воздействия климатических факторов; разработка и реализация программ высшего образования, программ профессиональной переподготовки и повышения квалификации в области климатических рисков и адаптации к изменению климата; разработка наукоемких технологических решений и другие мероприятия1.
При этом разработанные ранее планы адаптации будут совершенствоваться для практической реализации, в том числе на основе результатов оценки риска. Климатический риск может рассматриваться как комплексная характеристика вероятности возникновения опасных для функционирования природных и техногенных систем значений гидрометеорологических характеристик с оценкой возникающего при этом ущерба.
Целью работы является оценка изменчивости некоторых гидрометеорологических характеристик, представляющих опасность для функционирования природно-техногенных систем Санкт-Петербурга и административных районов Ленинградской области, а также разработка научно-методических основ для оценки климатических рисков.
ОСОБЕННОСТИ КЛИМАТИЧЕСКИХ ИЗМЕНЕНИЙ В САНКТ-ПЕТЕРБУРГЕ И НА ТЕРРИТОРИИ ЛЕНИНГРАДСКОЙ ОБЛАСТИ
В соответствии с содержанием СП 131.13330.2020 “Строительная климатология СНиП 23-01-99” климат Санкт-Петербурга соответствует условиям “относительно умеренного” климатического подрайона IIБ. Согласно классификации климатов известного климатолога В.П. Кёппена (1846–1940), разработанной в конце XIX в., Санкт-Петербург расположен в зоне влажного континентального климата с теплым летом с равномерным увлажнением. Основные его характеристики: умеренно холодный климат, без сухого сезона, с устойчивым снежным покровом в зимний период; имеются условия для произрастания лиственных лесов. Однако в последней четверти XX в. и в первой четверти XXI в. стали наблюдаться выраженные климатические изменения. Актуализированные климатические нормы, рассчитанные за период с 1991 по 2020 г. в соответствии с приказом Росгидромета № 64 от 18.02.2022, для Санкт-Петербурга имеют следующие современные значения: средняя годовая температура приземного воздуха 6.3°C; средняя температура наиболее жаркого месяца (июля) 19.1°C; средняя температура наиболее холодного месяца (февраля) –4.8°C; абсолютный максимум 37.1°C; абсолютный минимум –35.9°C; количество дней с осадками не менее 10 мм – 15; уровень моря осредненный по четырем постам (Кронштадт, Лисий Нос, Ломоносов, Невская Устьевая) – 10.9 см в Балтийской системе высот (БСВ), скорость роста уровня моря – около 4 мм/год. По сравнению с периодом 1960–1990 гг. в период с 1991 по 2020 г. среднее годовое количество атмосферных осадков возросло с 550 мм до 657 мм, при этом в отдельные годы наблюдались более высокие значения. Так, в 2003 г. был зафиксирован абсолютный максимум за весь имеющийся ряд наблюдений – 912 мм в год. Высокие значения регистрировались также в 2009–2010 гг. – 803 и 812 мм, в 2012 г. – 863 мм, в 2016–2017 гг. – 866 и 821 мм в год соответственно. Наблюдается увеличение количества дней с сильными осадками (более 15 мм/сут). Климат Санкт-Петербурга становится более влажным.
В зимний период изменение климата в Санкт-Петербурге приводит к более частому переходу температуры через 0°C, при котором происходит более частое таяние снега и как следствие – увеличение интенсивности образования гололеда. Увеличилась повторяемость морских нагонных наводнений. Смещается максимум их повторяемости с осени на зиму. (Малинин, Гурьянов, 2015). Увеличение повторяемости и продолжительности нагонных наводнений негативно сказывается на состоянии приморской зоны города и на реализации стратегических целей по развитию Санкт-Петербурга как морской столицы России, повышению его роли как крупного транспортно-логистического центра. В целом, если наблюдаемые тенденции сохранятся, то к середине XXI в. климатические условия Санкт-Петербурга могут соответствовать уже “морскому” типу климата.
Увеличение частоты и интенсивности выпадения атмосферных осадков приводит к росту объемов образующихся вод ливневой канализации, что может угрожать системам водоотведения и качеству питьевого водоснабжения в Санкт-Петербурге и районных центрах Ленинградской области.
В настоящее время, по данным ФГБУ “Северо-Западное управление по гидрометеорологии и мониторингу окружающей среды”, на территории Санкт-Петербурга наблюдаются 18 метеорологических и 5 гидрологических и морских опасных природных явлений. Для проведения исследования изменений климата на территории Ленинградской области в Российском государственном гидрометеорологическом университете (РГГМУ) сформированы региональные базы данных многолетних рядов наблюдений по максимальным в году расходам воды на реках, по максимальным суточным осадкам и по среднемесячным значениям температур воздуха апреля со статистической обработкой (Свидетельства о государственной регистрации № 2022622775 и № 2022622969, РГГМУ, 2022 г.), на основе данных 2, 3. Многолетние данные по температуре воздуха в Санкт-Петербурге получены из открытых источников4.
Выполнен анализ данных многолетних наблюдений за температурой воздуха, атмосферными осадками и скоростями ветра с построением и оценкой трендов на 14 станциях наблюдений, расположение которых представлено на рис. 1.
Рис. 1. Схема расположения станций многолетних наблюдений за температурой воздуха, атмосферными осадками и скоростями ветра
1 – г. Санкт-Петербург; 2 – пос. Воейково; 3 – г. Шлиссельбург; 4 – пос. Сосново; 5 – г. Выборг; 6 – г. Новая Ладога; 7 – г. Лодейное Поле; 8 – с. Винницы; 9 – г. Тихвин; 10 – г. Любань; 11 – дер. Белогорка; 12 – г. Волосово; 13 – г. Тихвин; 14 – дер. Николаевское
На рис. 2–5 представлена многолетняя изменчивость в Санкт-Петербурге и Ленинградской области важнейших гидрометеорологических характеристик, которые могут выступать в качестве источников риска, а именно: температура воздуха в среднем за зиму, за лето, за январь и июль; средние за год максимальные месячные значения скорости ветра; величины максимальных атмосферных осадков за 1 сутки в месяц, в среднем за год.
Рис. 2. Многолетняя изменчивость температур воздуха в Санкт-Петербурге: (а) изменения температуры воздуха в среднем за лето и зиму; (б) изменения температуры воздуха в среднем за январь и июль. Пунктирными линиями на рис. 2а показаны полиномиальные тренды по пятилетиям. Ta – температура воздуха, °С
Рис. 3. Многолетняя изменчивость температур воздуха на севере (г. Выборг), востоке (г. Тихвин), западе (г. Кингисепп) и юге (дер. Николаевское Лужского района) Ленинградской области: температура воздуха в среднем за зиму, за январь в Выборге (а), Тихвине (в), Кингисеппе (д) и Николаевском (ж) и в среднем за лето, за июль в Выборге (б), Тихвине (г), Кингисеппе (е) и Николаевском (з). Пунктирной линией показан полиномиальный тренд по пятилетиям. Ta – температура воздуха, °С
Рис. 4. Многолетняя изменчивость средних за год максимальных месячных значений скоростей ветра (W, м/с): (а) Выборг и Тихвин; (б) Кингисепп и дер. Николаевское; (в) Санкт-Петербург и Новая Ладога. Пунктирными линиями показаны полиномиальные тренды по пятилетиям
Рис. 5. Многолетняя изменчивость величин максимальных атмосферных осадков за 1 сутки в месяц, за год: (а) Выборг и Тихвин; (б) Кингисепп и дер. Николаевское; (в) Санкт-Петербург и Новая Ладога
На рис. 2 представлена изменчивость температур воздуха в Санкт-Петербурге. Визуально заметен противофазный характер изменчивости в отношении средней за зиму и за лето температуры воздуха, а также в среднем за январь и июль, что особенно стало проявляться в начале XXI в. Для оценки и визуализации наблюдаемых изменений выполнено построение полиномиальных трендов по 5-летиям. Линейный, логарифмический и экспоненциальный тренды хорошо подходят для описания тенденций роста и падения. Полиномиальные же тренды применяется для описания значений временных рядов, попеременно возрастающих и убывающих, что типично для динамики гидрометеорологических характеристик Санкт-Петербурга и большинства районов Ленинградской области, так как единой общей устойчивой тенденции, как правило, не обнаруживается. Полиномиальный тренд способен показать более детально специфику межгодовой и многолетней изменчивости.
При оценке значимости нелинейного тренда рассчитывается корреляционное отношение r, а затем осуществляется проверка нулевой гипотезы как коэффициента корреляции. По величине коэффициента корреляции и корреляционного отношения легко определить коэффициент детерминации (R2), показывающий вклад тренда в описание дисперсии функции отклика. На всех рис. 2а, 3, 4а, в, где построены полиномиальные тренды, указаны и значения соответствующих коэффициентов детерминации (R2). По коэффициенту детерминации можно оценить значимость тренда. При уровне значимости α = 0.05, R2крит. = 4 / (n + 2), где n – продолжительность используемого ряда наблюдений. Если полученное значение коэффициента детерминации превосходит критическое, тренд может быть признан значимым (Малинин, 2020). При длине используемых рядов в 40–43 года, критическое значение составляет около 0.1. Например, R2 для изменений температуры воздуха в среднем за лето в Санкт-Петербурге с 1980 по 2023 г., обозначенный на рис. 2а, равен 0.35, тренд может быть признан значимым. Расчеты и построение полиномиальных трендов производились в программе Exсel.
Как видно из рис. 3, в городах Выборге (север Ленинградской области), Тихвине (восток области), в Кингисеппе (запад области), а также в районе дер. Николаевское (юго-запад области) наблюдается рост температуры в среднем за зиму и за январь, начиная с 2010 г. Наиболее выраженный значимый положительный полиномиальный тренд характерен для Выборга и Тихвина. Одновременно с этим стало наблюдаться снижение температур в среднем за лето и июль. Аналогичные тенденции характерны для изменчивости температуры воздуха и на всех других анализируемых станциях.
Таким образом, на фоне общего потепления применительно к средним годовым значениям температуры воздуха в Ленинградской области и в Санкт-Петербурге за последние 20–30 лет наблюдается сезонная внутригодовая перестройка температурных условий, сопровождающаяся тем, что зимы становятся более мягкими, а лето – менее жарким, что является типичным для морского климата умеренных широт.
Представленные на рис. 4 данные об изменчивости средних за год максимальных за каждый месяц скоростей ветра свидетельствуют, что в Ленинградской области имеются значительные территориальные различия по этой характеристике. Как видно из рис. 4а, на севере области в районе г. Выборга скорости ветра оказываются существенно выше в среднем (около 18.5 м/с), чем на востоке в районе г. Тихвина (около 15 м/с) за анализируемый период. Кроме того, заметна достаточно выраженная тенденция, подтверждаемая значимым полиномиальным трендом, к снижению скоростей ветра в г. Тихвин Ленинградской области. В соответствии с этим возможно ожидать в северных районах Ленинградской области больший ущерб для жилищно-коммунального хозяйства. На западе Ленинградской области (Кингисепп), а также в Санкт-Петербурге и на южном побережье Ладожского озера (Новая Ладога) формируются в целом общие тенденции, выражающиеся в уменьшении средних за год максимальных за каждый месяц скоростей ветра, начиная с 1980-х годов – от довольно высоких значений 18–21 до 15–16 м/с в настоящее время.
На рис. 5 представлена многолетняя изменчивость величин максимальных атмосферных осадков за 1 сутки в месяц в среднем за год. Значения атмосферных осадков демонстрируют значительную межгодовую изменчивость на всех анализируемых станциях. Весьма значительные (более 50 мм) величины атмосферных осадков, выпадающие за 1 сутки, способные привести к неблагоприятным последствиям, причем внезапным, были зарегистрированы в Выборге (54 мм, август 1981 г.), Кингисеппе (55 мм, июль 2011 г.; 57 мм, август 2016 г.), Санкт-Петербурге (53 мм, август 1991 г.; 57 мм, июль 1993 г.; 59 мм, июль 2000 г.), Тихвине (54 мм, июль 2000 г.; 67 мм, июль 1967 г.); Новой Ладоге (56 мм, август 1983 г.; 53 мм, август 1984 г.; 63 мм, август 2016 г.), дер. Николаевское (58 мм, июль 1999 г.; 63 мм, июль 2001 г.).
Выявленные при анализе многолетних данных пространственные различия в значениях гидрометеорологических характеристик обусловили необходимость для их уточнения выполнить кластерный анализ. Этот метод используется при региональном анализе данных, в том числе для поддержки принятия управленческих решений (Миркин, 2011). Целью кластерного анализа набора многолетних данных по различным пунктам наблюдений является разбиение множества объектов на классы, обладающие общим набором признаков. Для каждого кластера вычисляются статистические и структурные характеристики. Структурные характеристики (параметры) дают возможность количественного сравнения различных кластеров друг с другом. Результат применения кластерного анализа – набор пространственных областей (кластеров), обладающих похожим поведением изучаемого параметра или целого набора параметров. В частности, иерархический кластерный анализ используется для систематизации средних значений полей гидротермического коэффициента Селянинова (Поляков, Кужевская, 2012). Иерархическая кластеризация применяется при решении задачи прогноза облачности (Ветрова и др., 2013), при климатическом районировании в Московской области (Овечкин, Майнашева, 2010), при климатическом районировании в США (Fovell, 1993), в экспериментах с климатическими моделями (Эзау, 1995) и др. Математический аппарат данного метода описан в ряде известных пособий соответствующей тематики (Гмурман, 1977; Жамбю, 1988).
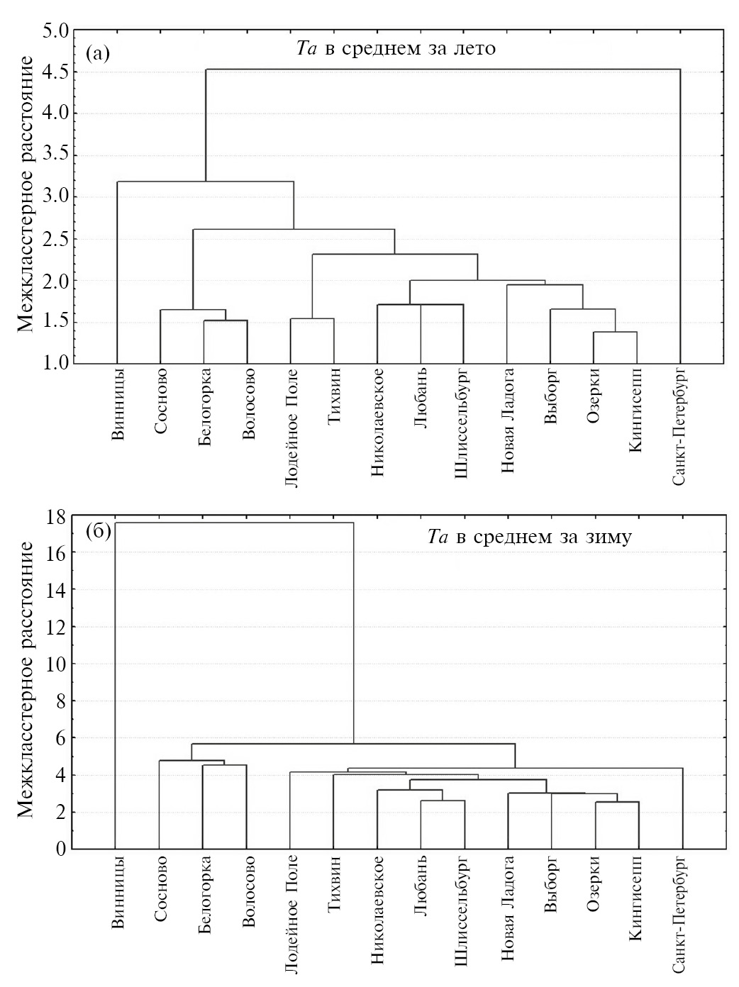
На рис. 6–7 приведены результаты кластерного анализа многолетних данных средних годовых температур воздуха за лето и зиму, а также средних за год максимальных месячных значений скоростей ветра за период 1980–2020 гг. в Ленинградской области. Кластерный анализ данных выполнен с использованием программы Statistica 10.0.
Рис. 6. Результаты кластерного анализа многолетних данных (1980–2020 гг.) средних годовых значений температур воздуха за лето (а) и зиму (б) в Ленинградской области и в Санкт-Петербурге
Рис. 7. Результаты кластерного анализа многолетних данных (1980–2020 гг.) средних за год максимальных месячных значений скорости ветра в Ленинградской области и в Санкт-Петербурге
Применительно к температуре воздуха в среднем за лето, отдельным, наиболее выраженным среди всех других пунктов наблюдений, кластером, со своей выраженной спецификой, является Санкт-Петербург. Это может указывать на формирование уникального городского климата, что в летнее время может выражаться в более высоких температурах воздуха, особенно в центральных районах города с плотной жилой застройкой и минимумом озеленения. Зимой в Санкт-Петербурге также выявляется своя специфика в виде отдельного кластера, применительно к температуре воздуха (“оазис тепла”), но гораздо менее выраженного, чем в летний период. Эффекты возможного влияния города-мегаполиса на климат в виде гипотез или количественных оценок обсуждаются различными авторами (Климат …, 1982; Романова и др., 2000; Павловский, 2020) и, по-видимому, могут иметь достаточное основание.
Кроме того, отдельные достаточно выраженные кластеры по данной характеристике за летний период свойственны для районов – с. Винницы, пос. Сосново, дер. Белогорка, города Лодейное Поле и Тихвин. В отношении значений температуры воздуха в среднем за зиму наиболее выраженный кластер свойственен западной части Ленинградской области (Кингисепп). По-видимому, здесь формируются свои выраженные особенности, связанные с большей близостью к открытым районам акватории Финского залива и к Балтике в целом, за счет чего погодно-климатические условия становятся более мягкими. Существенно более холодными являются восточные районы Ленинградской области, удаленные от значительных водных акваторий, которые и формируют второй по значимости кластер – территории вблизи городов Тихвин, Лодейное Поле и с. Винницы. Наиболее ветреными районами, где наиболее часто наблюдаются скорости ветра более 20 м/с, представляющие значительную опасность для городской среды, являются прибрежные районы Финского залива. Свои выраженные особенности в данном отношении, как видно из рис. 7, имеют, прежде всего, территории в окрестностях гг. Выборг, Санкт-Петербург и Кингиссеп. Таким образом, установлены важные временные и пространственные особенности распределения важнейших гидрометеорологических характеристик, повышенные значения которых могут представлять серьезную опасность для функционирования, как зеленых насаждений, так и различных объектов городского хозяйства, промышленных предприятий, водного и наземного транспорта.
КЛИМАТИЧЕСКИЕ РИСКИ И МЕТОДОЛОГИЯ ИХ ОЦЕНКИ
Согласно Методическим рекомендациям и показателям по вопросам адаптации к изменениям климата Минэкономразвития России 2021 г.5 климатические риски для территорий целесообразно оценивать по ряду источников риска: очень сильный ветер, засуха, заморозки, аномальная жара или холод, крупный град, экстремальные атмосферные осадки, ливни, грозы, чрезвычайно высокая пожарная опасность, наводнения на реках и в прибрежной зоне, деформации береговой линии русел рек и прибрежной морской зоны и др. Каждый источник риска рекомендуется характеризовать показателями интенсивности, распространенности и продолжительности воздействия, что позволяет идентифицировать уровень его опасности по следующим категориям: чрезвычайно-опасный, весьма опасный, опасный и умеренно опасный. При оценке климатических рисков территорий рекомендуется оценивать возможный экономический, экологический и социальный ущерб (Единая …, 2004; Ивановский, 2021; Яшалова, 2020).
Выполнено нормирование значений некоторых характеристик (табл. 1) гидрометеорологических процессов, представляющих опасность для жизнедеятельности населения Санкт-Петербурга и поселений Ленинградской области. В табл. 2 показаны результаты определения классов опасности применительно к различным частям Ленинградской области.
Таблица 1. Нормирование значений гидрометеорологических характеристик для установления класса опасности воздействия на объекты жилищно-коммунального хозяйства, промышленности и транспортной инфраструктуры
Максимальные за месяц скорости ветра, м/с (код WVM) Оценка класса опасности | ||||
10–13 | 14–17 | 18–21 | 22–25 | Более 25 |
I – низкий | II – умеренный | III – значительный | IV – весьма опасный | V – чрезвычайно-опасный |
Максимальные атмосферные осадки за 1 сутки, мм/сут (код PTM) Оценка класса опасности | ||||
10–20 | 21–30 | 31–40 | 41–50 | Более 50 |
I – низкий | II – умеренный | III – значительный | IV – весьма опасный | V – чрезвычайно-опасный |
Средняя температура воздуха за зиму, °С (код TаW) Оценка класса опасности | ||||
+1 – –5 | –6 – –10 | –11 – –15 | –16 – –20 | Более –20 |
I – низкий | II – умеренный | III – значительный | IV – весьма опасный | V – чрезвычайно-опасный |
Средняя температура воздуха за лето, °С (код TаS) Оценка класса опасности | ||||
15–18 | 19–22 | 23–26 | 27–30 | Более 30 |
I – низкий | II – умеренный | III – значительный | IV – весьма опасный | V – чрезвычайно-опасный |
Таблица 2. Результаты определения классов опасности гидрометеорологических характеристик в различных населенных пунктах области
Пункт наблюдений | Гидрометеорологические характеристики | ||||||||||||||||||||
WVM | PTM | TаW | TаS | ||||||||||||||||||
Классы опасности | |||||||||||||||||||||
I | II | III | IV | V | I | II | III | IV | V | I | II | III | IV | V | I | II | III | IV | V | ||
Санкт-Петербург | 192 | 220 | 52 | 12 | 5 | 395 | 57 | 23 | 4 | 5 | 31 | 9 | 1 | 0 | 0 | 35 | 6 | 0 | 0 | 0 | |
Тихвин | 133 | 265 | 81 | 7 | 4 | 395 | 67 | 13 | 11 | 2 | 12 | 26 | 3 | 0 | 0 | 40 | 1 | 0 | 0 | 0 | |
Новая Ладога | 79 | 270 | 111 | 17 | 3 | 325 | 45 | 15 | 5 | 3 | 14 | 24 | 3 | 0 | 0 | 40 | 1 | 0 | 0 | 0 | |
Кингисепп | 171 | 225 | 75 | 18 | 3 | 389 | 68 | 17 | 9 | 3 | 30 | 10 | 1 | 0 | 0 | 39 | 2 | 0 | 0 | 0 | |
Выборг | 41 | 185 | 204 | 55 | 6 | 396 | 64 | 19 | 5 | 1 | 18 | 21 | 2 | 0 | 0 | 40 | 1 | 0 | 0 | 0 | |
Волосово | 97 | 216 | 121 | 31 | 5 | Нет информации | 14 | 25 | 2 | 0 | 0 | 41 | 0 | 0 | 0 | 0 | |||||
Сосново | 137 | 260 | 70 | 7 | 1 | Нет информации | 13 | 26 | 2 | 0 | 0 | 41 | 0 | 0 | 0 | 0 | |||||
Винницы | 81 | 286 | 109 | 16 | 0 | 389 | 41 | 16 | 10 | 1 | 9 | 28 | 3 | 1 | 0 | 41 | 0 | 0 | 0 | 0 | |
Любань | Нет информации | 398 | 32 | 14 | 3 | 1 | 21 | 18 | 2 | 0 | 0 | 40 | 1 | 0 | 0 | 0 | |||||
Николаевское (Лужский район) | 140 | 239 | 67 | 5 | 1 | 382 | 52 | 14 | 7 | 5 | 24 | 15 | 2 | 0 | 0 | 40 | 1 | 0 | 0 | 0 | |
Шлиссельбург | Нет информации | 402 | 45 | 12 | 4 | 1 | 23 | 16 | 2 | 0 | 0 | 41 | 0 | 0 | 0 | 0 | |||||
Белогорка (Гатчинский район) | 112 | 256 | 103 | 8 | 1 | 394 | 49 | 25 | 5 | 4 | 16 | 23 | 2 | 0 | 0 | 41 | 0 | 0 | 0 | 0 | |
пос. Воейково (Всеволожский район) | 52 | 169 | 156 | 49 | 6 | Нет информации | 26 | 14 | 1 | 0 | 0 | 40 | 1 | 0 | 0 | 0 | |||||
Лодейное Поле | Нет информации | 378 | 67 | 18 | 6 | 0 | 11 | 26 | 4 | 0 | 0 | 40 | 1 | 0 | 0 | 0 | |||||
В табл. 2 представлены результаты, полученные за период с 1980 по 2020 г. Распределение по классам опасности значений анализируемых характеристик выполнено за все 12 месяцев с 1980 по 2020 г. Для характеристик TаW, TаS использовались средние значения температур воздуха за 3 зимних и 3 летних месяца. Например, для Санкт-Петербурга за данный период значения максимальной за месяц скорости ветра (WVM), соответствующие классу V (чрезвычайно-опасный, более 25 м/c), наблюдались 5 раз – в сентябре 1983 г. (26 м/c), в январе 1984 г. (30 м/c), в апреле 1985 г. (28 м/c), в сентябре 1985 г. (26 м/c), в декабре 1995 г. (26 м/c).
В Выборге скорости ветра (WVM), соответствующие классу V, наблюдались 6 раз, так же как и в пос. Воейково на восточной границе с Санкт-Петербургом. В Лужском и Гатчинском районах применительно к данному периоду наблюдений и указанным станциям наблюдений значения максимальной скорости ветра, соответствующие классу V, не наблюдались, в связи с чем можно прийти к выводу, что здесь в целом от ветрового воздействия можно ожидать менее разрушительных последствий, чем в районах, непосредственно граничащих с восточной частью Финского залива. В отношении воздействия атмосферных осадков высокой интенсивности, как следует из табл. 2, значения, соответствующие высоким классам опасности (IV, V), возможно ожидать в г. Санкт-Петербурге, г. Тихвине (где регулярно наблюдаются наводнения на реках), в районе с. Винницы и на западе Ленинградской области (в районе г. Кингисепп).
Применительно к температуре воздуха в среднем за зиму за период с 1980 по 2020 г. не было зарегистрировано значений, относящихся к высоким классам опасности (IV, V). Однако значения, соответствующие уровню опасности III, были отмечены в восточных, удаленных от побережья восточной части Финского залива территориях Ленинградкой области – в городах Тихвине, Лодейном Поле и пос. Винницы. Таким образом, восточные районы Ленинградкой области оказываются в целом более холодными, чем западные и южные, по-видимому, по причине несколько большей степени континентальности климата, что следует учитывать при оценке рисков. В среднем же за летний период на всех анализируемых пунктах наблюдений значения температуры воздуха не превышали уровень опасности II (“умеренный”). Однако при этом для Санкт-Петербурга характерно наибольшее количество значений средней за лето температуры воздуха, соответствующих уровню опасности II. Данная особенность мегаполиса подтверждается и результатами кластерного анализа (см. рис. 6а).
В Санкт-Петербурге, по-видимому, по причине формирования особого городского климата, имеется предрасположенность к возникновению соответствующих рисков, связанных с негативным влиянием повышенной температуры воздуха на здоровье населения в летний период. Более детальную информацию для уточнения степени риска могут дать данные по максимальным температурам за каждый летний месяц. Например, в июле и в первой половине августа 2021 г. температура воздуха в Санкт-Петербурге достигала днем 32°С.
Установленные значения классов опасности применительно к избранным пунктам наблюдений, расположенным в различных районах Ленинградской области и Санкт-Петербурге, позволят в дальнейшем оценить климатообусловленные риски. Эти результаты могут быть получены на основе статистического расчета вероятности возникновения неблагоприятных событий III, IV, V классов опасности с учетом возможной тяжести последствий – экологического, социального и экономического ущербов (Единая …, 2004; Ивановский, 2021). При этом для каждого анализируемого объекта (населенного пункта) необходимо учитывать не только гидрометеорологические характеристики для расчета риска также требуется определить степень устойчивости местных геосистем, в том числе водных (Дроздов, 2021), иметь информацию о плотности населения, наличии опасных производств и других особенностях территории. Весьма важной является информация о количестве и способах возможных путей эвакуации населения в случае возникновения климатообусловленной чрезвычайной ситуации. Некоторые подходы к оценке климатических рисков представлены в табл. 3.
Таблица 3. Методология исследований с целью оценки климатообусловленного риска для безопасности жизнедеятельности
№ этапа | Название и целевое назначение этапа исследований для оценки риска | Применяемые методы и методики |
1 | Оценка спектра угроз. Определение основных гидрометеорологических процессов и их характеристик, представляющих наибольшую опасность для природных и природно-антропогенных экосистем, включая малонарушенные наземные и водные экосистемы, сельские и городские поселения, промышленные объекты, объекты электро- и тепло-генерации, транспортные коммуникации в данном регионе | Историко-эволюционный, сравнительно-сопоставительный, комплексный, системный методы |
2 | Оценка возможных причинно-следственных связей между процессами, прогнозирование климата. Определение и физическое обоснование связей между климатическими, гидрологическими, ландшафтными и экологическими процессами применительно к спектру возможных угроз для безопасности жизнедеятельности | Историко-эволюционный, системный, корреляционный методы (Дроздов и др., 2023; Eyring et al., 2016; Hamed et al., 2022) |
3 | Пространственный, спектральный и вероятностный (частотный) анализ многолетних данных. Оценка наличия и значимости устойчивых долговременных изменений в значениях гидрометеорологических характеристик – тренда. Кластерный анализ данных по отдельным районам в пределах исследуемого региона (области). Нормирование значений по классам опасности. Анализ частоты (вероятности) возникновения конкретных значений применительно к классам опасности “низкий”, “умеренный”, “значительный”, “опасный” и “чрезвычайно-опасный” | Корреляционный, кластерный, спектральный регрессионный методы анализа многолетних данных |
4 | Расчет экологического, социального и экономического ущерба при проявлении выявленных потенциально опасных климатических и связанных с ними гидрологических и синоптических процессов в значениях характеристик, соответствующих классам опасности “значительный”, “опасный” и “чрезвычайно-опасный” | Рамочная методика оценки социально-экономического ущерба от чрезвычайных ситуаций (Единая …, 2004) Моделирование процессов влияния социальноэкономических последствий ЧС (Единая …, 2004). Методика прогнозирования экономических последствий чрезвычайных ситуаций в отраслях и сферах экономики (Ивановский, 2021) Модель “Динамический интегрированный климат – экономика” (Dynamic Integrated Climate–Economy, DICE) (Ивановский, 2021) Модель “Региональный интегрированный климат – экономика” (Regional Integrated Climate–Economy, RICE) (Ивановский, 2021) |
5 | Оценка степени устойчивости экосистем под влиянием внешних природных изменений | Метод оценки устойчивости экосистем к климатическим изменениям (Дроздов, 2021) и др. |
6 | Оценка климатообусловленного риска | Комплексные, статистико-вероятностные (Лобанов, Шадурский, 2013) |
7 | Разработка и совершенствование адаптационных мероприятий для снижения уровня климатического риска | Организационно-управленческие (Яшалова и др., 2020), инженерно-технологические методы |
Комплексная оценка климатических рисков, выполненная на основе результатов анализа региональных гидрометеорологических условий и их временной динамики, а также соответствующих экологических, экономических и социальных последствий может стать важной частью паспорта климатической безопасности территории субъекта Российской Федерации. Типовая форма паспорта климатической безопасности, утвержденная распоряжением Минприроды России от 19.05.2021 № 16-р., п. 3, предполагает определение потенциальных рисков для секторов экономики и социальной сферы, связанных с воздействием опасных природных явлений.
ЗАКЛЮЧЕНИЕ
Выполненный анализ многолетних гидрометеорологических данных по Санкт-Петербургу и населенным пунктам Ленинградской области позволяет сформулировать следующие выводы.
- За последние 20–30 лет наблюдается сезонная внутригодовая перестройка температурных условий: зимы становится более мягкими, а лето – менее жарким, что является типичным для морского климата умеренных широт. Кластерный анализ данных показал, что в отношении температуры воздуха в среднем за лето наиболее выраженным кластером, среди всех других пунктов наблюдений, является Санкт-Петербург, что в летнее время выражается в более высоких значениях температуры воздуха. Данная особенность может представлять опасность для части населения с сердечно-сосудистыми и бронхолегочными заболеваниями, что следует учитывать при реализации региональной программы Санкт-Петербурга “Борьба с сердечно-сосудистыми заболеваниями” на 2019–2024 гг., утвержденной постановлением Правительства Санкт-Петербурга от 28.06.2019 г. № 20-рп.
- В отношении значений температуры воздуха в среднем за зиму наиболее выраженный кластер свойственен западной части Ленинградской области (Кингисепп). Это может быть связано с большей территориальной близостью данного района к акватории Финского залива и Балтике в целом. Здесь формируются наиболее мягкие по температурным значениям погодно-климатические условия. Наиболее холодными являются восточные районы Ленинградской области, удаленные от значительных водных акваторий, формирующие второй по значимости кластер, в который вошли территории вблизи городов Тихвин, Лодейное Поле и с. Винницы. Наиболее ветреными районами, где наиболее часто фиксируется скорость ветра более 20 м/с, представляющая значительную опасность для функционирования различных техногенных объектов, включая линии электропередач, порты и водный транспорт, являются районы вблизи побережий Финского залива, включая, прежде всего, города Выборг, Санкт-Петербург, Кингиссеп. Сильные ветра разрушительно воздействуют также на лесные экосистемы, приводя к ветровалам, особенно в хвойных лесах на песчаных почвах.
- Увеличение интенсивности и частоты выпадения осадков приводит к росту объемов сточных вод, что может угрожать системам водоотведения и влиять на качество питьевого водоснабжения в Санкт-Петербурге и населенных пунктах Ленинградской области. Требуется анализ текущего состояния и производительности очистных сооружений и разработка программ по их модернизации.
- Наибольшая подверженность наводнениям при весеннем половодье и осенних дождевых паводках свойственна городским и сельским поселениям Ленинградской области, располагающимся на низменностях в среднем и нижнем течении рек, которые не зарегулированы озерами и водохранилищами. Эта опасность типична для Тихвина с населением более 50 тыс. человек, который располагается на обоих берегах р. Тихвинка (восток Ленинградской области). В городе находится объект культурного наследия народов России федерального значения – Тихвинский Успенский монастырь, основанный в 1560 г., который регулярно оказывается в зоне значительного весеннего подъема воды вместе с близлежащими городскими территориями. В зоне повышенного риска, связанного с влиянием весенних подъемов уровня воды, располагаются также некоторые населенные пункты в бассейне р. Луга в южной части Ленинградской области, включая г. Лугу. Наименьшие негативные последствия для городских и сельских поселений, которые могут быть вызваны половодьем и/или паводками, следует ожидать в северных районах Ленинградской области – Выборгском и Приозерском на Карельском перешейке, для водных систем которых свойственна наибольшая озерность. Кроме того, районные центры и многие сельские поселения в этой части Ленинградской области располагаются на возвышенностях. Высота над ур. м. центральной части Выборга с населением около 80 тыс. человек соответствует 20–30 м (самая высокая точка городского рельефа – 51 м в Скандинавском микрорайоне). Центр г. Приозерск с населением около 20 тыс. человек расположен на высоте около 19 м над ур. м., а р. Вуокса, на берегах которой находится город в ее устьевой части, зарегулирована естественными озерами и плотинами 4 гидроэлектростанций.
- Произведено нормирование значений рассмотренных гидрометеорологических параметров, характеризующих природные процессы, представляющие опасность для безопасности жизнедеятельности в Санкт-Петербурге и населенных пунктах Ленинградской области. Обоснованы подходы к комплексной оценке риска при изменениях климата, которые в дальнейшем могут быть использованы при подготовке паспортов климатической безопасности рассмотренных субъектов Российской Федерации.
ФИНАНСИРОВАНИЕ
Исследование выполнено в научной Лаборатории “Экология и климат” РГГМУ при поддержке проекта Государственного задания РГГМУ 2024 года № FSZU-2023-0002, шифр “Климат-2”.
FUNDING
The study was carried out in the scientific Laboratory “Ecology and Climate” of the Russian State Hydrometeorological University with the support of the State Assignment Project of the Russian State Hydrometeorological University for 2024 No. FSZU-2023-0002, code “Climate-2.”
1 http://www.meteo.nw.ru/articles (дата обращения 22.09.2023).
2 http://www.giss.nasa.gov (дата обращения 02.03.2024).
3 http://www.meteo.nw.ru/articles (дата обращения 22.09.2023).
4 http://www.giss.nasa.gov (дата обращения 02.03.2024).
5 https://www.economy.gov.ru/material/dokumenty/prikaz_minekonomrazvitiya_rossii_ot_13_maya_2021_g_267.html?ysclid=ln6k8raza7129200165 (дата обращения 10.09.2023).
Об авторах
В. В. Дроздов
Российский государственный гидрометеорологический университет
Автор, ответственный за переписку.
Email: vladidrozdov@yandex.ru
Россия, Санкт-Петербург
В. А. Лобанов
Российский государственный гидрометеорологический университет
Email: vladidrozdov@yandex.ru
Россия, Санкт-Петербург
А. А. Окуличева
Российский государственный гидрометеорологический университет
Email: vladidrozdov@yandex.ru
Россия, Санкт-Петербург
Список литературы
- Акимов В.А., Соколов Ю.И. Глобальные и национальные приоритеты снижения риска бедствий и катастроф / МЧС России. М.: ФГБУ ВНИИ ГО ЧС (ФЦ), 2016. 396 с.
- Анисимов А.О., Жильцова Е.Л., Шаповалова К.О., Ершова А.А. Анализ индикаторов изменений климата. Ч. 2. Северо-западный регион России // Метеорология и гидрология. 2020. № 1. С. 21–34.
- Ветрова Е.И., Скриптунова Е.Н., Шакина Н.П. Прогноз низкой облачности на аэродромах европейской территории бывшего СССР // Метеорология и гидрология. 2013. № 1. С. 12–31.
- Гмурман В.Е. Теория вероятностей и математическая статистика. М.: Высшая школа, 1977. 479 с.
- Дроздов В.В. К вопросу о природе Петербургских наводнений // Ученые записки РГГМУ. Гидрология. 2009. № 24. С. 24–45.
- Дроздов В.В. Оценка устойчивости экосистем Балтийского и Белого морей для обеспечения экологической безопасности освоения ресурсов шельфа с учетом гидрометеорологических условий // Экология и промышленность России. 2021. Т. 25 (1). С. 21–27. https://doi.org/10.18412/1816-0395-2021-1-21-27
- Дроздов В.В., Лобанов А.В., Окуличева А.А., Буренкова А.А. Экстремальные гидрометеорологические процессы и их влияние на экосистемы и промышленную инфраструктуру Ленинградской области // Экология и промышленность России. 2023. Т. 27. № 2. С. 53–59. https://doi.org/10.18412/1816-0395-2023-2-53-59
- Жамбю М. Иерархический кластерный анализ и соответствия. М.: Финансы и статистика, 1988. 344 с.
- Единая межведомственная методика оценки ущерба от чрезвычайных ситуаций техногенного, природного и террористического характера, а также классификации и учета чрезвычайных ситуаций. М.: ФГУ ВНИИ ГОЧС (ФЦ), 2004.
- Ивановский Б.Г. Экономическая оценка ущерба от природных бедствий и изменения климата // Экономические и социальные проблемы России. 2021. № 1. С. 125–144. https://doi.org/10.31249/espr/2021.01.07
- Климат Ленинграда. Л.: Гидрометеоиздат, 1982. 252 с.
- Лобанов В.А., Шадурский А.Е. Выделение зон климатического риска на территории России при современном изменении климата. Монография. СПб.: РГГМУ, 2013. 123 с.
- Малинин В.Н., Гурьянов Д.А. Межгодовая изменчивость климатических сезонов в Санкт-Петербурге // Изв. РГО. 2015. Т. 147. Вып. 5. С. 17–27.
- Малинин В.Н. Статистические методы анализа гидрометеорологической информации: учеб. В 2-х томах: Т. 2. Анализ временных рядов и случайных полей. Изд. 2, испр. и доп. СПб.: РГГМУ, 2020. 196 с.
- Миркин Б.Г. Методы кластер-анализа для поддержки принятия решений. М.: НИУ “ВШЭ”, 2011. 88 с.
- Овечкин С.В., Майнашева Г.М. Опыт использования кластерного анализа при климатическом районировании Московской области // Вестн. МГПУ. Серия “Естественные науки”. 2010. № 2 (6). С. 65–74.
- Павловский А.А., Менжулин Г.В. Современные изменения климатических норм и обеспечение устойчивого развития Санкт-Петербурга как крупнейшего мегаполиса Северной Европы // Вестн. СПбГУ. Сер. 7. 2013. Вып. 2. C. 71–78.
- Павловский А.А. О ливневых затоплениях некоторых территорий Санкт-Петербурга при современных изменениях климата // Общество. Среда. Развитие. 2013. № 2. С. 251–256.
- Павловский А.А. О разработке и реализации первоочередных мер по адаптации Санкт-Петербурга к климатическим изменениям // Гидрометеорология и экология. Ученые записки РГГМУ. 2020. № 58. С. 111–126. https://doi.org/10.33933/2074-2762-2020-58-111-126
- Поляков Д.В., Кужевская И.В. Применение кластерного анализа для оценки температурно-влажностных условий в период активной вегетации на территории юга Западной Сибири и его связь с гидротермическим коэффициентом Т.Г. Селянинова // Вестн. Томск. гос. ун-та. 2012. № 360. С. 188–192.
- Ревич Б.А., Шапошников Д.А., Анисимов О.А., Белолуцкая М.А. Влияние температурных волн на здоровье населения в городах Северо-Западного региона России // Проблемы прогнозирования. 2019. № 3. С. 127–134.
- Ревич Б.А. Меняющийся климат и здоровье населения: проблемы адаптации: науч. докл. / под ред. Б.Н. Порфирьева. М.: Динамик Принт, 2023. 168 с. https://doi.org/10.47711/srl-2023
- Романова Е.Н., Гобарова Е.О., Жильцова Е.Л. Методы использования систематизированной климатической и микроклиматической информации при развитии и совершенствовании градостроительных концепций. СПб.: Гидрометеоиздат, 2000. 159 с.
- Тишков А.А., Золотокрылин А.Н., Семенов В.А., Кухта А.Е. Климатологические исследования в Институте географии РАН: к 100-летию Института // Фундаментальная и прикладная климатология. 2018. № 2. С. 8–30. https://doi.org/10.21513/2410-8758-2018-2-8-30
- Третий оценочный докл. об изменениях климата и их последствиях на территории Российской Федерации. Общее резюме. СПб.: Наукоемкие технологии, 2022. 124 с.
- Эзау И.Н. Кластерный анализ данных наблюдений и результатов численных экспериментов с моделью ОЦА // Метеорология и гидрология. 1995. № 12. С. 40–53.
- Яшалова Н.Н., Яковлева Е.Н., Васильцов В.С., Молчанова Т.К., Рубан Д.А. Методология и инструментарий управления инновациями в целях минимизации климатических рисков. Науч. изд. (рецензированное). Ростов-на-Дону: ДГТУПринт, 2020. 144 с.
- Eyring V., Bony S., Meehl G.A., Senior C.A., Stevens B., Stouffer R.J., Taylor K.E. Overview of the Coupled Model Intercomparison Project Phase 6 (CMIP6) experimental design and organization // Geoscientific Model Development. 2016. Vol. 9. P. 1937–1958. https://doi.org/10.5194/gmd-9-1937-2016
- Fovell R., Fovell M.-Y. Climate Zones of the Conterminous United States Defined Using Cluster Analysis // American Meteorol. Society. 1993. № 6. P. 2103–2135.
- Hamed M.M., Nashwan M.S., Shahid S. Inter-comparison of Historical Simulation and Future Projection of Rainfall and Temperature by CMIP5 and CMIP6 GCMs Over Egypt // Int. J. of Climatology. 2022. Vol. 42. P. 4316–4332. https://doi.org/10.1002/joc.7468
Дополнительные файлы










