Спектральные свойства вертикального распределения горизонтальной облученности в Телецком озере в августе 2023 года: методика обработки и региональные особенности
- Авторы: Суслин В.В.1, Кудинов О.Б.1, Корчемкина Е.Н.1, Латушкин А.А.1, Суторихин И.А.2, Кириллов В.В.2, Мартынов О.В.1
-
Учреждения:
- ФГБУН ФИЦ «Морской гидрофизический институт РАН»
- ФГБУН «Институт водных и экологических проблем СО РАН»
- Выпуск: № 5 (2024)
- Страницы: 1253-1266
- Раздел: Статьи
- URL: https://journal-vniispk.ru/2658-3518/article/view/282772
- DOI: https://doi.org/10.31951/2658-3518-2024-A-5-1253
- ID: 282772
Цитировать
Аннотация
Спектральный состав солнечного света, проникающий на разные глубины в верхнем слое водоёма, с одной стороны, зависит от оптически активных веществ, содержащихся в воде, с другой стороны, имеет важное значение для функционирования фитопланктона, а значит, играет важную роль в функционировании водной экосистемы в целом. При изучении спектрального состава света на разных глубинах использован новый прибор, выполненный на современной элементной основе. Анализ полученных спектров показателя вертикального ослабления позволил выявить региональные особенности проникновения естественного солнечного света, характерные для Телецкого озера.
Полный текст
1. Введение
Солнечный свет, проникающий в толщу воды, ослабляется за счет поглощения и рассеяния оптически активными веществами (пигменты фитопланктона, растворенное органическое вещество, взвешенные частицы различного происхождения). Спектральная изменчивость оптических свойств этих компонентов определяет результирующий спектр подводной облученности на различных глубинах. Вертикальное распределение облученности имеет важное значение для функционирования фитопланктона, а значит, и для водной экосистемы в целом. Оценка вертикального распределения подводной облученности и показателя вертикального ослабления облученности требуется для моделирования процессов фотосинтеза конкретного водоема. Особенно это важно для ограниченных водных объектов, которыми являются озера, которые чувствительны как к климатическим изменениям, так и антропогенному влиянию (Акулова и др., 2017; Асламов и др., 2020; Churilova et al., 2020; Suslin et al., 2020).
В августе 2023 года на Телецком озере были проведены комплексные гидрооптические исследования, включавшие в себя измерения спектров подводной облученности и коэффициента яркости водной толщи. Телецкое озеро расположено в северо-восточной части Республики Алтай (Рис. 1а). Оно имеет вытянутую форму и состоит из двух частей: меридионально протяженностью 50 км и широтную (северную) протяженностью 28 км. Телецкое озеро - проточное, в него впадают более 150 постоянных рек и временных потоков, среди которых крупнейшим является р. Чулышман, обеспечивающая до 70% от общего притока воды, а вытекает р. Бия (Селегей и др., 2001).
Рис.1. Географическое положение (a) Телецкого озера и (б) станций, на которых выполнены измерения профиля спектральной облученности в Телецком озере в августе 2023 года.
Предыдущие оптические измерения на Телецком озере представлены спектрами подводной облученности и показателя ослабления света (Суторихин и др., 2020; Акулова и др., 2022). Цель данной работы состояла в том, чтобы, используя спектральные измерения профиля горизонтальной облученности, рассчитать спектр показателя вертикального ослабления света, оценить спектральный наклон суммарного показателя поглощения света в коротковолновой части спектра и выявить региональные особенности, характерные для Телецкого озера. В качестве дополнительной задачи, на основе синхронных измерений профиля фотосинтетически активной радиации (ФАР) и спектра горизонтальной облученности разработать метод построения профиля ослабления спектра горизонтальной облученности в физических единицах.
2. Материалы и методы
Положение станций, на которых выполнены синхронные спектральные измерения профиля горизонтальной облученности и профиля фотосинтетически активной радиации, показаны на Рис. 1б. Из Рис. 1б видно, что измерения охватывают северную, центральную и южную части озера, включая его приустьевые районы. Таким образом, мы имеем репрезентативный охват станциями всех основных районов озера.
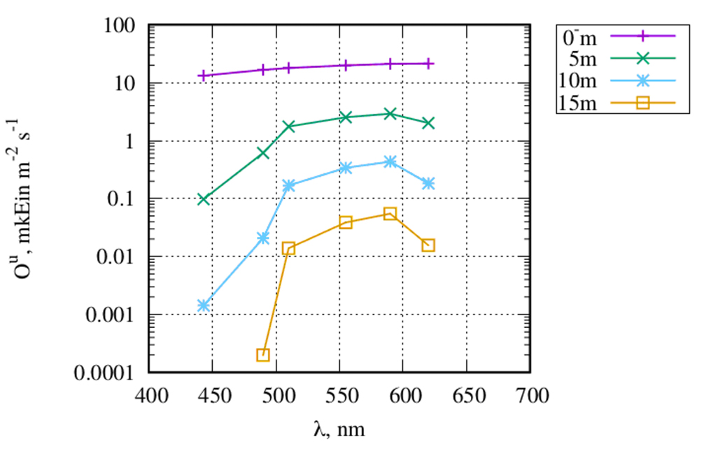
Для изучения спектрального состава света на разных глубинах использован новый прибор, выполненный на современной элементной основе (Латушкин и Кудинов, 2019). Прибор выполнял синхронные измерения профилей облученности в семи спектральных каналах с центральной длиной волны 380, 443, 490, 510, 555, 590 и 620 нм. Ширина полосы пропускания в первом спектральной канале 30 нм, во всех остальных – 10 нм. Пример измерения профилей горизонтальной облученности во всех семи спектральных каналах на ст. 002 показан на Рис. 2.
Рис.2. Пример измерения профилей горизонтальной облученности на ст. 002 в семи спектральных каналах с центральной длиной волны: 380 нм (a), 443 нм (b), 490 нм (c), 510 нм (d), 555 нм (e), 590 нм (f) и 620 нм (g). Прямая линия – результат аппроксимации уравнением 4 для соответствующего спектрального канала.
Для решения одной из перечисленных задач привлечены измерения прибором «КОНДОР» (Ли, 2012; Комплекс гидробиофизический мультипараметрический погружной автономный «КОНДОР», 2024. URL: https://dent-s.narod.ru/kondor.html) профиля ФАР, которые выполнялись синхронно с измерением горизонтальной облученности. Пример измерения профиля ФАР на ст. 002 прибором «КОНДОР» представлен на Рис. 3.
Рис.3. Пример измерения профиля ФАР прибором «КОНДОР» на ст. 002
1 – символ «+»;
2 – результат аппроксимации изменения ФАР с глубиной уравнением (1);
3 – значение ФАР(0-), как результат интерполяции уравнения (1) при 0 z→0.
Опишем метод определения интегрального значения фотосинтетически активной радиации сразу под поверхностью воды по прямым измерениям профиля ФАР(z), где z – глубина. Из определения Kd следует, что ФАР(z) = ФАР(0-) · exp(-Kd · z). После логарифмирования решение сводится к нахождению констант a и b в линейном уравнении (1)
y=a+b·z, (1)
где a = ln(ФАР(0-) и b = – Kd.
Kd считали не зависящим от z, и определяли его по измерениям ФАР(z) для участка чуть ниже поверхности (z > 2–3 м), чтобы избежать влияния тени судна. Измерения проводились в течение нескольких минут, чтобы минимизировать ошибки, связанные с переменным освещением поверхности воды, например, облачностью. Определив коэффициент a, находим фотосинтетически активную радиацию сразу под поверхностью воды ФАР(0-). На Рис. 3 точкой показан пример расчёта для ст. 002.
Метод калибровки каналов измерений горизонтальной облученности с использованием синхронных измерений профиля ФАР(z) состоит из трёх этапов. Для обоих приборов мы полагали выполненными следующие условия: линейность шкал и стабильность измерительных шкал в течение экспедиционного цикла.
2.1. Этап 1
Имеем исходные телеметрические измерения OT(λi,z), где λi – центральная длина волны спектрального канала в нм, i – номер спектрального канала от 1 до 7, z – глубина горизонта в метрах. Находим среднее значение для каждого спектрального канала для глубин больше 30 м – темновой сигнал. Заметим, что определялся для глубин почти в два раза превышающих слой фотосинтеза, т. е. на нижней границе которого падающее на поверхность излучение в диапазоне от 400 до 700 нм ослаблялось в 100 раз
, (2)
где z – глубина измерения, начиная с 30 м; zmax zmax – максимальная глубина измерения для соответствующей станции; N – число измерений от 30 м до zmax.
Для проверки гипотезы стабильности «темнового» телеметрического сигнала горизонтальной облученности для семи спектральных каналов использованы измерения на ст. 002 и 021. Разность измерений на этих станциях по времени составила 2 дня. Результаты представлены на Рис. 4 и Таблице 1. В Таблице 1 даны среднее значение , их среднеквадратичное отклонение (СКО) и число измерений N. Из Рис. 4 видно, что калибровки стабильны.
Рис.4. Тест на стабильность калибровок в течение экспедиции в шести спектральных каналах на примере ст. 002 и 021, разнесённых по времени на два дня.
Таблица 1. Статистические характеристики «темнового» телеметрического сигнала горизонтальной облученности для семи спектральных каналов на ст. 002 и 021
Номер станции | N | |||||||
380 нм | 443 нм | 490 нм | 510 нм | 555 нм | 590 нм | 620 нм | ||
002 | 16462±91 | 12855±90 | 12625±112 | 15373±99 | 19883±88 | 14937±101 | 14600±95 | 333 |
021 | 16281±90 | 12751±79 | 12469±98 | 15393±96 | 19714±103 | 14770±98 | 14438±97 | 88 |
2.2. Этап 2
Расчёт сигнала с учётом темнового тока Ou(λi,z) выполнен согласно выражения –
, (3)
где – значения темнового тока (см. Табл. 1). Расчёт a(λi) и b(λi) проводился для каждой станции и для каждого из семи спектральных каналов по формуле –
, (4)
где горизонтальная облученность в спектральном канале с центральной длиной волны λi, сразу под поверхностью воды находилась как или , а показатель вертикального ослабления света в соответствующем спектральном канале λi как Kd(λi,0-) = –b(λi). Результаты расчётов коэффициентов a(λi) и b(λi) согласно уравнению (4) для всех семи станций сведены в Таблице 2.
Таблица 2. Результаты расчётов коэффициентов a(λi) и b(λi) согласно уравнению (4) для семи станций
Станция | a(λi)/b(λi) | ||||||
380 | 443 | 490 | 510 | 555 | 590 | 620 | |
1 001 | 17.64 -2.733 | 15.17 -1.049 | 15.03 -0.705 | 14.67 -0.455 | 14.90 -0.393 | 14.80 -0.368 | 14.80 -0.453 |
2 002 | 19.15 -3.191 | 14.83 -1.116 | 14.23 -0.681 | 14.15 -0.483 | 14.32 -0.421 | 14.08 -0.400 | 14.00 -0.498 |
3 005 | 19.99 -3.491 | 16.27 -1.304 | 15.74 -0.815 | 15.32 -0.498 | 15.53 -0.465 | 15.29 -0.435 | 15.31 -0.559 |
4 005* | 20.44 -3.211 | 16.48 -1.210 | 15.49 -0.703 | 14.99 -0.439 | 15.13 -0.386 | 14.99 -0.356 | 15.01 -0.458 |
5 021 | 17.90 -3.145 | 13.83 -1.023 | 13.42 -0.635 | 13.19 -0.438 | 13.29 -0.389 | 12.93 -0.361 | 12.96 -0.434 |
6 k1 | 19.87 -3.006 | 16.04 -0.966 | 15.95 -0.670 | 15.69 -0.473 | 15.80 -0.417 | 15.71 -0.398 | 15.79 -0.481 |
7 1s2 | 18.12 -2.789 | 15.01 -0.786 | 16.24 -0.655 | 16.38 -0.478 | 16.70 -0.431 | 16.38 -0.405 | 15.87 -0.451 |
Примечание: * ст. 005 выполнена с разницей во времени в 1 час (3 – 13:00; 4 – 14:00 по местному времени)
2.3. Этап 3
Перевод в физические единицы излучения OP(λi, 0-) выполнялся с помощью выражения:
, (5)
где – доля фотонов в соответствующем спектральном интервале (Suslin et al., 2020), связанном с характеристиками спектрального канала λi±Δλi/2 (Суторихин и др., 2020); ФАР(0-) – находится из измерений профиля ФАР прибором «КОНДОР». Очевидно, что вид w(λ) зависит от высоты Солнца и условий облачности. В нашем случае выбор функциональной зависимости w(λ) был взят из работы (Bartlett et al., 1998). Тогда коэффициент пересчёта телеметрии в физические величины p(λi) рассчитывается по формуле
. (6)
Так как мы принимали, что ФАР это интеграл числа фотонов, лежащих в спектральном интервале от 400 до 700 нм, то из расчёта был исключён спектральный канал с центральной длиной волны 380 нм. Результаты расчёта p(λi) представлены в Таблице 3.
Таблица 3. Результат расчёта p(λi) для спектральных каналов с центральной длиной волны λi и OP(λi, 0-) для станции k1
λi, нм | 443 | 490 | 510 | 555 | 590 | 620 |
p(λi) | 1.424e-06 | 1.967e-06 | 2.751e-06 | 2.731e-06 | 3.149e-06 | 2.978e-06 |
OP(λi, 0-) | 1.321e+01 | 1.664e+01 | 1.786e+01 | 1.985e+01 | 2.098e+01 | 2.140e+01 |
3. Результаты и обсуждение
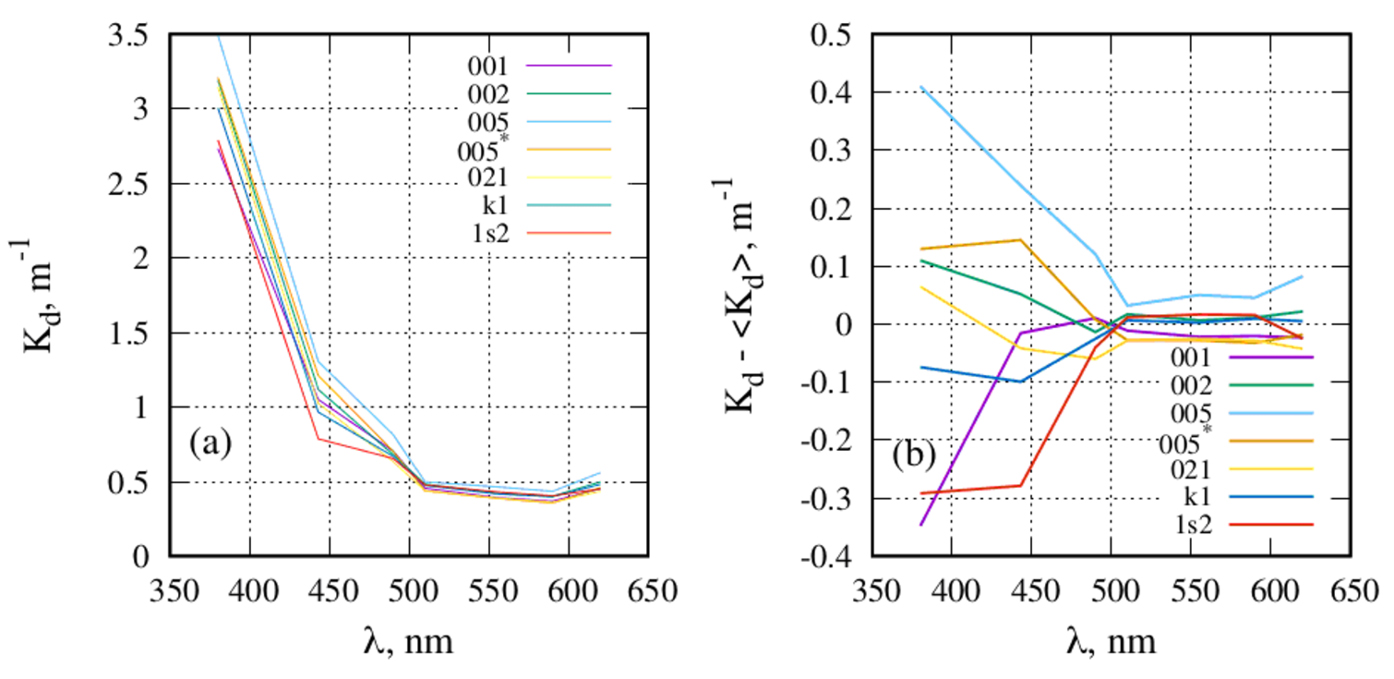
На Рис. 5 показаны спектры Kd и их разность от среднего спектра для всех семи станций (Таблица 2) после обработки по методу (уравнения (2) – (4)).
Рис.5. Спектры показателя вертикального ослабления света Kd (a) и их отклонения от среднего () (b) для выборки (Таблица 2).
Минимальные значения Kd в спектральном канале с центральной длиной волны 590 нм в совокупности с его высокими значениями в коротковолновой области спектра указывают на доминирование поглощения, в первую очередь, окрашенной компонентой растворённого органического вещества.
Для выявления географических особенностей Kd рассмотрим Рис. 5b. Значения разности выше среднего в коротковолновой области спектра наблюдаются на юге озера (ст. 002, 005 и 005*); минимальные значения – на севере озера (ст. 001 и 1s2); промежуточные значения в центре (ст. k1 и 021). Таким образом, в верхнем слое озера наблюдается тенденция уменьшения поглощения водой (главным образом связанная с концентрацией растворённой органики, т. к. речь идёт о спектральном канале с центральной длиной волны 380 нм) с юга на север.
Отметим ещё одну особенность – различие значений Kd в спектральном канале с центральной длиной волны 443 нм на ст. 001 и 1s2, расположенными в северной части озера. Для ст. 001, находящейся в заливе Камга, эта разность существенно больше, чем на ст. 1s2. Такое различие в Kd может быть связано с дополнительным поглощением фитопланктоном, концентрация которого в заливе существенно выше. Однако это предположение требует дополнительной проверки.
Вывод, сделанный из анализа Рис. 5a о высоком значении показателя поглощения верхним слоем воды в Телецком озере, хорошо согласуется с результатами измерений спектров коэффициента яркости (КЯ) водной толщи, сделанные Корчемкиной Е.Н. во время этой экспедиции. Ссылка на описание прибора и метода измерения КЯ водной толщи дана в работе (Shybanov et al., 2023). Известно, что показатель поглощения растворённой органикой в Чёрном море существенно больше по сравнению с водами открытого океана (Суетин и др., 2002; Kopelevich et al., 2004). На Рис. 6 приведены примеры спектров КЯ водной толщи в Чёрном море в апреле 2021 г. и в Телецком озера на ст. 002 и 021 в августе 2023 г. Заметим, что измерение в Чёрном море выполнено в отсутствии цветения кокколитофорид. Хорошо видно, что значение КЯ водной толщи на длине волны 400 нм в Телецком озере более чем в три раза меньше, чем в Чёрном море, несмотря на то, что в длинноволновой области спектра (больше 600 нм) КЯ водной толщи в озере больше, чем в море. С одной стороны, это подтверждает вывод о том, что показатель поглощения света в коротковолновой части спектра в озере существенно выше, чем в Чёрном море. С другой стороны, очевидно, что показатель обратного рассеяния света частицами взвеси существенно выше в озере, чем в море. Это особенно заметно для ст. 002, расположенной на юге в районе впадения р. Чулышман, которая выносит значительное количество взвеси.
Рис.6. Примеры измерений коэффициента яркости водной толщи в Телецком озере в августе 2023 года на ст. 002 и 021 и в глубоководной части Черного моря в апреле 2021 года.
Полученные данные о Kd(λ) (Таблица 2) можно использовать для оценки спектральной зависимости SCDOM показателя поглощения окрашенной компоненты растворённого органического вещества aCDOM, полагая, что aCDOM вносит основной вклад в суммарное поглощение света водой atot в коротковолновой области спектра (λÎ350 – 450 нм), т.е. aCDOM>>aw, aph и дополнительно atot>>bb, где aw и aph – показатели поглощения света чистой водой и фитопланктоном, bb – суммарный показатель обратного рассеяния света водой, тогда:
. (7)
Принимая во внимание, что функциональная связь aCDOM от λ имеет вид (Копелевич, 1983):
, (8)
и сделав элементарные преобразования уравнения (7), с учётом уравнения (8) для двух спектральных каналов с центральной длиной волны λ=380 нм и λ0=443 нм соответственно, получаем выражение для SCDOM:
. (9)
Результаты расчётов представлены в табл. 4.
Таблица 4. Результаты расчётов спектрального наклона поглощения неживого органического вещества SCDOM в Телецком озере по уравнению (9)
λ/ λ0 нм | Номер станции | нм-1 | ||||||
001 | 002 | 005 | 005 | 021 | k1 | 1s2 | ||
380/443 | 0.015 | 0.017 | 0.016 | 0.015 | 0.018 | 0.018 | 0.021 | 0.017± 0.002 |
Представленные в Таблице 4 результаты совпали с проведёнными годом ранее в это же время исследованиями первичных гидрооптических характеристик Телецкого озера (Moiseeva et al., 2023), в процессе которых непосредственно измеряли спектральный ход окрашенной компоненты растворённого органического вещества для аналогичной сетки станций и которые показали, что изменчивость SCDOM лежит в диапазоне 0.017 - 0.019 нм-1 в диапазоне длин волн 350 - 500 нм.
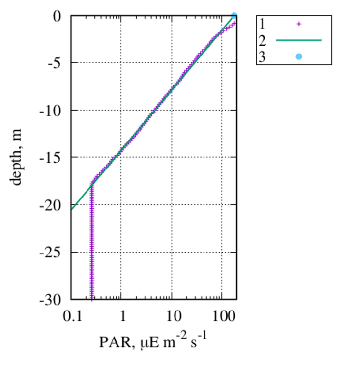
На Рис. 7 приведён пример восстановления спектра горизонтальной облученности в физических единицах, полученный по описанному выше методу (уравнения (2) – (6)) по измерениям на ст. k1. Характер поведения спектра облученности с глубиной (резкий провал в коротковолновой области спектра) указывает на высокое содержание растворённого органического вещества в водах Телецкого озера (Рис. 7). Особенность спектра горизонтальной облученности в коротковолновой области как функции глубины и положение его максимума, начиная от 5 м и ниже, который соответствует длине волны 590 нм, находятся в полном согласии с результатами, полученными годом ранее сотрудниками Института Биологии Южных Морей РАН (Churilova et al., 2023).
Рис.7. Пример восстановления спектра горизонтальной облученности в физических единицах для ст. k1.
4. Выводы
Восстановлен спектр показателя вертикального ослабления света в семи спектральных каналах, аномалии которого описывают региональные особенности в верхнем слое воды и согласуются с прямыми измерениями коэффициента яркости водной толщи;
Продемонстрировано, что в случае синхронных измерений профиля ФАР и горизонтальной облученности можно получить облученность в физических единицах на любом горизонте в слое фотосинтеза;
Полученные значения для спектрального показателя поглощения неживым органическим веществом и максимум спектра горизонтальной подводной облученности в слое фотосинтеза совпали с ранее полученными результатами сотрудниками ИнБЮМ РАН.
Благодарности
Работа выполнена в рамках государственных заданий ФГБУН ФИЦ МГИ № FNNN-2024-0012 и ФГБУН ИВЭП СО РАН №0306-2021-0001 и договоров с администрацией ФГБУ «Алтайский государственный заповедник». В экспедиционных работах использовалось научное оборудование ЦКП «Научно-исследовательские суда ИВЭП СО РАН».
Конфликт интересов
Авторы заявляют об отсутствии конфликта интересов.
Об авторах
В. В. Суслин
ФГБУН ФИЦ «Морской гидрофизический институт РАН»
Автор, ответственный за переписку.
Email: slava.suslin@mhi-ras.ru
Россия, ул. Капитанская, 2, Севастополь, 299011
О. Б. Кудинов
ФГБУН ФИЦ «Морской гидрофизический институт РАН»
Email: slava.suslin@mhi-ras.ru
Россия, ул. Капитанская, 2, Севастополь, 299011
Е. Н. Корчемкина
ФГБУН ФИЦ «Морской гидрофизический институт РАН»
Email: slava.suslin@mhi-ras.ru
Россия, ул. Капитанская, 2, Севастополь, 299011
А. А. Латушкин
ФГБУН ФИЦ «Морской гидрофизический институт РАН»
Email: slava.suslin@mhi-ras.ru
Россия, ул. Капитанская, 2, Севастополь, 299011
И. А. Суторихин
ФГБУН «Институт водных и экологических проблем СО РАН»
Email: slava.suslin@mhi-ras.ru
Россия, ул. Молодежная, 1, Барнаул, 656038
В. В. Кириллов
ФГБУН «Институт водных и экологических проблем СО РАН»
Email: slava.suslin@mhi-ras.ru
Россия, ул. Молодежная, 1, Барнаул, 656038
О. В. Мартынов
ФГБУН ФИЦ «Морской гидрофизический институт РАН»
Email: slava.suslin@mhi-ras.ru
Россия, ул. Капитанская, 2, Севастополь, 299011
Список литературы
- Bartlett J.S., Ciotti A.M., Davis R.F. et al. 1998. The spectral effects of clouds on solar irradiance. Journal of Geophysical Research 103 (13): 31,017–31,031. doi: 10.1029/1998JC900002
- Churilova T., Moiseeva N., Efimova T. et al. 2020. Spectral bio-optical properties of lake Baikal (July 2018 and September 2019). Limnology and Freshwater Biology 4: 910–911. doi: 10.31951/2658-3518-2020-A-4-910
- Churilova T.Ya., Moiseeva N.A., Efimova T.V. et al. 2023. Water transparency and spectral downwelling irradiance in the Black and Azov seas and in Lake Teletskoye. Proceedings of SPIE 12780, 29th International Symposium on Atmospheric and Ocean Optics. Atmospheric Physics 1278047. doi: 10.1117/12.2690845
- Kopelevich O.V., Burenkov V.I., Ershova S.V. et al. 2004. Application of SeaWiFS data for studying variability of bio-optical characteristics in the Barents, Black and Caspian seas. Deep Sea Research. Part II: Topical Studies in Oceanography 51 (10–11): 1063–1091. doi: 10.1016/j.dsr2.2003.10.009
- Moiseeva N.A., Churilova T.Ya., Efimova T.V. et al. 2023. Spectral bio-optical properties of Lake Teletskoye in summer. Proceedings of SPIE 12780, 29th International Symposium on Atmospheric and Ocean Optics. Atmospheric Physics 1278049. doi: 10.1117/12.2690958
- Shybanov E., Papkova A., Korchemkina E. et al. 2023. Blue color indices as a reference for remote sensing of Black Sea Water. Remote Sensing 15 (14): 3658. doi: 10.3390/rs15143658
- Suslin V.V., Churilova T.Ya., Latushkin A.A. et al. 2020. Photosynthetically available radiation at the bottom of the northwestern shelf of the Black sea based on regional models and satellite ocean color products and its interannual variability. Fundamental and Applied Hydrophysics 13 (3): 68–77. doi: 10.7868/S2073667320030053
- Акулова О.Б., Букатый В.И., Вагнер А.А. и др. 2022. Фотосинтетически активная солнечная радиация в Телецком озере в период открытой воды. Известия Алтайского государственного университета 4: 11–17. doi: 10.14258/izvasu(2022)4-01
- Акулова О.Б., Букатый В.И., Суторихин И.А. 2017. Влияние компонентов природной воды на спектральный показатель ослабления света (на примере водоемов Алтайского края). Оптика атмосферы и океана 30 (5): 414–419. doi: 10.15372/AOO20170509
- Асламов И.А., Балин Ю.С., Башенхаева М.В. и др. 2020. Экспедиционные работы ЛИН СО РАН на озере Байкал в 2019 году. Итоги экспедиционных исследований в 2019 году в Мировом океане, внутренних водах и на архипелаге Шпицберген. Материалы конференции. Севастополь: 166–171.
- Комплекс гидробиофизический мультипараметрический погружной автономный «КОНДОР». 2024. URL: https://dent-s.narod.ru/kondor.html (21.01.2024)
- Копелевич О.В. 1983. Малопараметрические модели оптических свойств морской воды. Оптика океана. Т. 1. Физическая оптика океана. Москва: Наука, С. 208-234.
- Латушкин А.А., Кудинов О.Б. 2019. Автономный зондирующий измеритель фотосинтетически активной радиации. Материалы IV Всероссийской научной конференции молодых ученых: Комплексные исследования Мирового океана: 365-366.
- Ли M.E. 2012. Разработки гидрооптических приборов в МГИ. Системы контроля окружающей среды 17: 7–20. doi: 10.33075/2220-5861
- Селегей В.В., Дехандсхюттер Б., Клеркс Я. и др. 2001. Физико-географическая и геологическая характеристика Телецкого озера. Тр. Департамента геологии и минералогии 105: 310. Королевский Музей Центральной Африки. Тервюрен, Бельгия.
- Суетин В.С., Суслин В.В., Королев С.Н. и др. 2002. Оценка изменчивости оптических свойств воды в Черном море летом 1998 года по данным спутникового прибора SEAWIFS. Морской гидрофизический журнал 6: 44–54.
- Суторихин И.А., Коломейцев А.А., Литвиненко С.А. 2020. Гидрооптические параметры воды Телецкого озера в период устойчивой летней и зимней температурной стратификации. Фундаментальная и прикладная гидрофизика 13 (2): 35–42. doi: 10.7868/S2073667320020045
Дополнительные файлы










