Влияние нанопластика на кремнистую губку Lubomirskia baicalensis
- Авторы: Даниловцева Е.Н.1, Пальшин В.А.1, Зелинский С.Н.1, Анненков В.В.1
-
Учреждения:
- Лимнологический институт Сибирского отделения Российской академии наук
- Выпуск: № 6 (2023)
- Страницы: 253-260
- Раздел: Статьи
- URL: https://journal-vniispk.ru/2658-3518/article/view/282906
- DOI: https://doi.org/10.31951/2658-3518-2023-A-6-253
- ID: 282906
Цитировать
Полный текст
Аннотация
Изучено воздействие наночастиц пластика на байкальскую кремнистую губку Lubomirskia baicalensis (Pallas, 1773), включая весь организм и примморфы. Для визуализации спикул, образовавшихся в ходе эксперимента, применялся витальный флуоресцентный краситель. Было установлено, что наночастицы полистирола, поливинилхлорида и полиметилметакрилата способны проникать в тело губки и вызывать токсические эффекты (снижение продукции спикул), начиная с концентраций 0,005-0,01 мг/л. Это относительно высокая концентрация, немыслимая в обычных водоемах. С другой стороны, продолжительность эксперимента (три месяца) ничтожно мала по сравнению с продолжительностью жизни губки. Дальнейшие эксперименты должны быть направлены на выяснение судьбы нанопластика в губках, баланса между потреблением, выведением и деградацией пластика, возможно, с участием симбионтов.
Ключевые слова
Полный текст
1. Введение
Загрязнение пластиком считается большой угрозой для человечества в этом веке. Нанопластик - наименее изученный компонент из-за большой сложности его определения в окружающей среде и живых организмах. Эти мелкие частицы (менее 500 нм) не видны при оптической микроскопии и могут быть плотно смешаны с различными органическими и неорганическими соединениями. Нанопластики, особенно частицы размером менее 200 нм, считаются очень опасными из-за их потенциальной способности проникать в живые клетки путем эндоцитоза (Manzanares and Ceña, 2020). Недавно мы оценили, сколько нанопластика может образоваться при механическом разрушении коммерческих пластмасс, таких как полистирол (ПС), поливинилхлорид (ПВХ) и полиметилметакрилат (ПММА) (Annenkov et al., 2021). Наночастицы составляют незначительную долю в этом процессе по сравнению с микропластиком. Конечно, микропластик в водоемах может распадаться на более мелкие частицы путем фото- и хемодеструкции, но те же факторы должны в большей степени разрушать наночастицы, поскольку мелкие частицы более активны в любых реакциях. Таким образом, по нашим оценкам, реальное количество нанопластика в водоемах во много раз меньше, чем 0,01 мг/л.
Поскольку изучать нанопластики в полевых условиях сложно, существует множество работ, посвященных лабораторным экспериментам с коммерческими или специально синтезированными наночастицами. В исследовании гетеротрофных динофлагеллят Gymnodinium corollarium Sundström, Kremp et Daugbjerg, (Annenkov et al., 2023) мы обнаружили, что 0,01 мг/л нанопластика является нетоксичной концентрацией. Более того, эти организмы могут ассимилировать и разлагать наночастицы пластика. С другой стороны, фильтрующие организмы, такие как губки, могут накапливать значительные количества нанопластика даже при низких концентрациях в окружающей среде.
Работы по изучению влияния нанопластиков на губки немногочисленны. Недавно было установлено, что микропластик размером 2-10 µм выводится из тела губки за 1-2 часа (Funch et al., 2023). Частицы микропластика размером 1 µм в концентрации 1 мг/л оказались нетоксичными для губок умеренной зоны (Tethya bergquistae и Crella incrustans) (Baird, 2016). Наночастицы размером 100-500 нм могут проникать в губку (Willenz and Van de Vyver, 1982; Turon et al., 1997; Leys and Eerkes-Medrano, 2006), но это были краткосрочные эксперименты (не более 4 ч), и о состоянии губки под действием пластика было невозможно получить никакой информации.
Мы разработали несколько витальных флуоресцентных красителей, которые окрашивают растущие кремнистые спикулы (Annenkov et al., 2017; Annenkov et al., 2019; Danilovtseva et al., 2019). Эти красители позволяют отслеживать рост спикул в губках и примморфах губок (3D-культурах клеток) и тем самым получать информацию о состоянии здоровья губки. В данной работе мы оценили влияние наночастиц пластика на байкальскую губку Lubomirskia baicalensis (Pallas, 1773), включая весь организм и примморфы.
2. Материалы и методы
2.1. Образцы губок и выращивание примморфов
Эксперименты с образцами губок проводились в соответствии с методикой (Annenkov et al., 2014). Образцы L. baicalensis были собраны в районе поселка Большие Коты, в юго-западной части озера Байкал, на глубине 10 м. Образцы губок (длиной 4-5 см) выращивали в аквариумах объемом 3 л при температуре 3±1°C в условиях воздушного барботажа с ежедневной сменой 2/3 воды. Для освещения аквариумов использовались люминесцентные лампы (цветовая температура 6500 К) с циклом свет/темнота 12 ч/12 ч.
Примморфы получали аналогично (Custodio et al., 1998). Вкратце, образцы губки измельчали в байкальской воде (3 °C) на частицы размером ≈1-2 мм. Частицы и воду переносили в конические пластиковые пробирки объемом 50 мл (соотношение губки и воды ≈ 1: 20) и осторожно встряхивали в течение 15 мин на ротационном шейкере. Затем суспензию фильтровали через нейлоновую сетку 100 мкм, полученные клетки собирали методом седиментации (1 ч, 3 °С) и снова промывали байкальской водой. Суспензию клеток помещали в пластиковые контейнеры объемом 400 мл с 200 мл байкальской воды, содержащей 0,002 % ампициллина. Контейнеры содержались в тех же условиях, что и образцы губки при культивировании. Ежедневно в течение двух недель 75 % воды заменяли свежей водой, содержащей антибиотик. Через две недели полученные примморфы (диаметром 1 мм и более) переносили в новые контейнеры с водой и антибиотиком, а смену 75 % воды проводили еженедельно в течение всего эксперимента.
Добавки (наночастицы пластика, краситель) добавлялись при каждой смене воды.
2.2. Химические реагенты
Для культивирования губки использовали бутилированную байкальскую воду. Химический состав этой воды описан в (Suturin et al., 2002). Краситель NBD-N2 был получен согласно (Annenkov et al., 2010). Флуоресцентные наночастицы были синтезированы в соответствии с нашими предыдущими статьями (Annenkov et al., 2021; Annenkov et al., 2023). Другие химические вещества были приобретены в Sigma-Aldrich, Fisher или Acros Chemicals и использовались без дополнительной обработки.
2.3. Исследование примморфов и тканей губок.
Примморфы помещали на покровное стекло, разрезали на 2-4 части (в зависимости от размера приморфа), каждую часть переносили на отдельное покровное стекло, сплющивали стеклянным предметным стеклом и изучали с помощью эпифлуоресцентной микроскопии. В экспериментах по подсчёту количества спикул в единице сухого веса примморфа, использовали две предварительно взвешенные покровные пластинки. После подсчета спикул методом эпифлуоресцентной микроскопии образец высушивали над безводным CaCl2 в течение двух недель и в вакууме до постоянного веса. Эксперименты по подсчету проводили не менее чем в четырех повторностях. Образцы губки для микроскопии готовили, делая ≈ 1 мм срезы из вершины или середины тела губки.
Световая и флуоресцентная микроскопия проводилась на инвертированном микроскопе MOTIC AE-31T с ртутной лампой HBO 103 W/2 OSRAM. Для возбуждения зеленой и желтой эмиссии использовали свет 470 нм, а для синей 365 нм.
3. Результаты и обсуждение
Было проведено две серии экспериментов с губками. Первый краткосрочный эксперимент состоял из 8-дневного культивирования при чрезвычайно высоких концентрациях нанопластика (0,1 и 1 мг/л, Рис. 1). Наночастицы ПС и ПВХ проникали в тело губки при концентрации 1 мг/л с тенденцией к концентрации в кластеры размером 10-20 мкм, близкие к размеру клеток губки (Рис. 1А). В случае 0,1 мг/л были обнаружены только отдельные кластеры пластика (Рис. 1С). Во втором эксперименте в течение двух месяцев в культуральную среду добавляли 0,01 и 0,1 мг/л наночастиц ПС и ПВХ. Губки с наночастицами 0,01 мг/л выглядели здоровыми через два месяца, в то время как губки с 0,1 мг/л пластика частично побелели через месяц эксперимента и полностью разрушились через два месяца.
Рис.1. Губка L. baicalensis в аквариуме и флуоресцентные изображения срезов губки после 8 дней культивирования в присутствии нанопластиков. Красная флуоресценция - хлоропласты, зеленая - наночастицы пластика. A – частицы ПС 200 нм, B и C – частицы ПВХ 85 нм. Частицы окрашивали дибензилфлуоресцеином. Концентрация пластика составляла 1 (А и В) и 0,1 (С) мг/л. Масштабные линейки составляют 25 (A), 50 (B) и 75 (C) µм.
Следует отметить, что L. baicalensis - очень сложный организм для лабораторных экспериментов. Длительные эксперименты маловероятны, так как губка может погибнуть через 1-2 месяца культивирования без воздействия каких-либо вредных факторов. Кроме того, момент смерти губки сложно зафиксировать. Примморфы, 3D-культура самоорганизующихся клеток губки, являются хорошей моделью для долгосрочных экспериментов. Примморфы L. baicalensis могут жить в виде сферических структур размером 1-8 мм до девяти месяцев. В примморфах формируются спикулы, а гибель примморфа легко обнаружить по его разрушению.
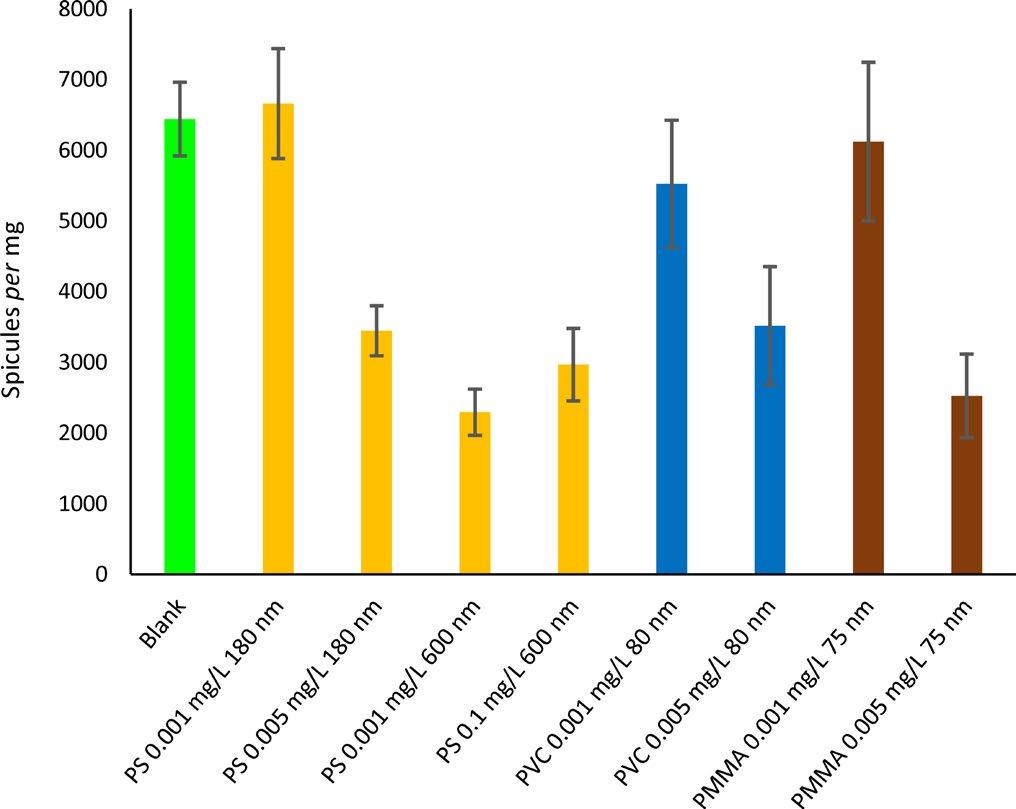
Мы провели две серии экспериментов с примморфами L. baicalensis. Сначала (Рис. 2) добавляли наночастицы ПВХ и ПС в концентрации 0,01-10 мг/л. Флуоресцентный краситель NBD-N2 был добавлен для обнаружения спикул, образовавшихся в ходе эксперимента. Через месяц мы обнаружили более чем трехкратное снижение количества новых спикул в присутствии пластика в любой концентрации. Следующий эксперимент (Рис. 3) показывает отсутствие влияния нанопластика в концентрации 0,001 мг/л в течение трех месяцев. Субмикрометровые частицы PS размером 600 нм снижали образование спикул при концентрации 0,001 мг/л. Все три пластика были токсичны при концентрации 0,005 мг/л.
Рис.2. Зависимость количества спикул, приходящихся на 1 мг сухого веса примморфа, от концентрации нанопластика. В культуральную среду добавляли краситель NBD-N2 (0,5 μМ) в качестве витального красителя для новых спикул. Размер частиц ПВХ составлял 65 нм, а ПС - 200 нм. Время культивирования составляло три месяца.
Рис.3. Зависимость количества спикул, приходящихся на 1 мг сухого веса примморфа, от концентрации нанопластика. В культуральную среду добавляли краситель NBD-N2 (0,5 μМ) в качестве витального красителя для новых спикул. Время культивирования составляло три месяца.
4. Выводы
Наши эксперименты показали, что наночастицы полистирола, поливинилхлорида и поли(метилметакрилата) могут проникать в тело губки и вызывать токсические эффекты (снижение продукции спикул), начиная с концентраций 0,005-0,01 мг/л. Это относительно высокая концентрация, немыслимая в обычных водоемах. С другой стороны, три месяца эксперимента ничтожно малы по сравнению с продолжительностью жизни губки. Дальнейшие эксперименты должны быть направлены на выяснение судьбы нанопластика в губках, баланса между потреблением, выведением и деградацией пластика, возможно, с участием симбионтов.
Благодарности
Работа выполнена при поддержке Министерства науки и высшего образования Российской Федерации, проект № 122012600070-9.
Конфликт интересов
Авторы заявляют об отсутствии конфликта интересов.
Об авторах
Е. Н. Даниловцева
Лимнологический институт Сибирского отделения Российской академии наук
Email: annenkov@lin.irk.ru
Россия, ул. Улан-Баторская, 3, Иркутск, 664033
В. А. Пальшин
Лимнологический институт Сибирского отделения Российской академии наук
Email: annenkov@lin.irk.ru
Россия, ул. Улан-Баторская, 3, Иркутск, 664033
С. Н. Зелинский
Лимнологический институт Сибирского отделения Российской академии наук
Email: annenkov@lin.irk.ru
Россия, ул. Улан-Баторская, 3, Иркутск, 664033
В. В. Анненков
Лимнологический институт Сибирского отделения Российской академии наук
Автор, ответственный за переписку.
Email: annenkov@lin.irk.ru
Россия, ул. Улан-Баторская, 3, Иркутск, 664033
Список литературы
- Annenkov V.V., Danilovtseva E.N., Zelinskiy S.N. et al. 2010. Novel fluorescent dyes based on oligopropylamines for the in vivo staining of eukaryotic unicellular algae. Analytical Biochemistry 407:44–51. doi: 10.1016/j.ab.2010.07.032
- Annenkov V.V., Glyzina O.Yu., Verkhozina O.N. et al. 2014. Fluorescent amines as a new tool for study of siliceous sponges. Silicon 6(4):227-231 doi: 10.1007/s12633-014-9220-4
- Annenkov V.V., Zelinskiy S.N., Pal’shin V.A. et al. 2019. Coumarin based fluorescent dye for monitoring of siliceous structures in living organisms. Dyes and Pigments 160:336–343. doi: 10.1016/j.dyepig.2018.08.020
- Annenkov V.V., Danilovtseva E.N., Zelinskiy S.N. et al. 2021. Submicro- and nanoplastics: how much can be expected in water bodies? Environmental Pollution 278:116910, doi: 10.1016/j.envpol.2021.116910
- Annenkov V.V., Pal’shin V.A., Annenkova N.V. et al. 2023. Uptake and Effects of Nanoplastics on the Dinoflagellate Gymnodinium corollarium. Environmental Toxicology and Chemistry 42(5):1124-1133. doi: 10.1002/etc.5604
- Baird C.A. 2016. Measuring the effects of microplastics on sponges. A thesis for the degree of Master of Science in Marine Biology. Wellington, Victoria University. http://researcharchive.vuw.ac.nz/handle/10063/6749
- Custodio M.R., Prokic I., Steffen R. et al. 1998. Primmorphs generated from dissociated cells of the sponge Suberites domuncula: a model system for studies of cell proliferation and cell death. Mech. Ageing Dev. 105, 45–59. doi: 10.1016/S0047-6374(98)00078-5
- Danilovtseva E.N., Palshin V.A., Zelinskiy S.N. et al. 2019. Fluorescent dyes for the study of siliceous sponges. Limnology and Freshwater Biology 5:302-307. doi: 10.31951/2658-3518-2019-A-5-302
- Funch P., Kealy R.A., Goldstein J. et al. 2023. Fate of microplastic captured in the marine demosponge Halichondria panicea. Marine Pollution Bulletin 194A:115403, doi: 10.1016/j.marpolbul.2023.115403
- Leys S.P., Eerkes-Medrano D.I. 2006. Feeding in a Calcareous Sponge: Particle Uptake by Pseudopodia. The Biological Bulletin 211(2):157–171, doi: 10.2307/4134590
- Manzanares D., Ceña V. 2020. Endocytosis: the nanoparticle and submicron nanocompounds gateway into the cell. Pharmaceutics 12:371. doi: 10.3390/pharmaceutics12040371
- Suturin A.N., Paradina L.F., Epov V.N. et al. 2002. Development of a standard sample of composition of deep Baikalian water. Chemistry for Sustainable Development 10:473–482.
- Turon X., Galera J., Uriz M. J. 1997. Clearance rates and aquiferous systems in two sponges with contrasting life-history strategies. The Journal of Experimental Zoology 278(1): 22-36. doi: 10.1002/(SICI)1097-010X(19970501)278:1<22::AID-JEZ3>3.0.CO;2-8
- Willenz P., Van de Vyver G. 1982. Endocytosis of latex beads by the exopinacoderm in the fresh water sponge Ephydatia fluviatilis: an in vitro and in situ study in SEM and TEM. Journal of Ultrastructure Research 79(3):294–306, doi: 10.1016/S0022-5320(82)90005-3
Дополнительные файлы






