Sanitary-microbiological characteristics of water in the area of the Zmeinyi thermal spring (Northern Baikal, Russia, 2022)
- Authors: Elovskaya I.S.1, Chernitsyna S.M.1, Pavlova O.N.1, Zemskaya T.I.1
-
Affiliations:
- Limnological Institute Siberian Branch of the Russian Academy of Sciences
- Issue: No 5 (2023)
- Pages: 145-155
- Section: Articles
- URL: https://journal-vniispk.ru/2658-3518/article/view/283188
- DOI: https://doi.org/10.31951/2658-3518-2023-A-5-145
- ID: 283188
Cite item
Full Text
Abstract
The analysis of sanitary-significant microorganisms in two baths of the thermal spring Zmeinyi, the streams of the baths and at a distance of 5 and 20 meters from the shore was carried out during the day before and the day after tourists’ bathing. Exceedance of permissible values of sanitary-microbiological indicators in accordance with SanPiN 1.2.3685-21 were detected in the baths, streams of outflow and in the water edge at a distance of up to 5 meters. The indicator of total (generalized) coliform bacteria (TCB) in all studied samples did not decrease throughout the day, the highest values of the number of opportunistic microorganisms were observed in the baths of the thermal spring and in the streams of outflow, where the water temperature was ~ 32 - 33°С. The obtained self-cleaning coefficients in the littoral zone up to 20 m had low values (from 0.0008 to 2.53).
Full Text
1. Introduction
There are about 60 hydrotherms with different temperature characteristics in the Baikal Rift Zone (BRZ) (Lomonosov, 1974; Borisenko and Zamana, 1978; Zamana and Askarov, 2010). Basically, waters of hydrotherms have sodium composition, low mineralization (from 0.1 g/l to 2.0 g/l), high concentration of silicon in the form of orthosilicic acid H4SiO4 (40 - 120 mg/dm3) and alkaline environment (pH 8.5 - 10.0).
Studies of sanitary condition of hydrotherms are episodically carried out. In alkaline mineral springs of the Barguzin valley high TCB indices were revealed, as well as the presence of opportunistic bacteria of the genera Enterobacter, Klebsiella, Escherichia, Citrobacter in frequently visited springs (Kuchiger, Seyuya, Goryachinsk, Kumyska), which indicated a large anthropogenic load (Darmaeva, 2007; Barkhutova, Darmayeva and Namsarayev, 2012).
The Zmeinyi spring located in the Chivyrkuisky bay is very popular place, and a significant number of tourists visit it during the summer period. Its waters are hydrocarbonate-sulphate, contain hydrogen sulphide (H2S) at a concentration of 23.2 mg/l, and are used for treatment and prevention of radiculitis and disorders of the musculoskeletal system (Namsaraev et al., 2007).
When examining the diversity of microbial communities by sequencing the V2-V3 region of the 16S rRNA gene on the MiSeq platform (Illumina), representatives of the families that included opportunistic species were identified in different parts of the Zmeinyi Spring in 2019 (Chernitsyna et al., 2023). Significant exceedances of sanitary-bacteriological indicators (SanPiN 1.2.3685-21) were also observed in Zmeinaya Bay in 2022. The number of TCB in this area exceeded the normative indicators 2 times, enterococci 44 times (Suslova et al., 2022). All previous studies were based on single sampling, data on the dynamics of sanitary-significant microorganisms during a day have not been presented before.
The aim of the study is to assess the number of sanitary-significant microorganisms in the thermal spring Zmeiny and the coastal zone during the day before and the day after tourists` bathing, as well as determining the self-purifying capacity of coastal waters in the places of springs outflow.
2. Materials and methods
Surface water samples were taken according to GOST 31942-2012 in the small and large baths (SB, LB), in the streams of the small and large bath (sSB, sLB), near the pier (P), as well as at a distance of 5 and 20 meters from the shore (5 m and 20 m) (Fig.1). Sampling was conducted on July 11, 2022 at 23:00 after daytime tourists` bathing, on July 12 in the early morning after 6-hour absence of bathers and at 9:00 immediately after bathing of several groups of tourists. A total of 16 water samples were collected and 320 analyses were conducted in accordance with MUK 4.2.1884-04 and GOST 24849-2014.
Fig.1. Geographical map of the study area and sampling locations in Zmeinaya Bay (Lake Baikal, Russia). LB – large bath, SB – small bath, sLB – stream of the large bath, sSB – stream of the small bath, P – pier, 5 m - 5 meters, 20 m – 20 meters. Software Earth 7.1.8.3036 Pro https://www.google.com/intl/ru/earth/versions/#earth-pro (accessed on February 20, 2023).
At all sites, water quality was assessed by basic sanitary-microbiological indicators in accordance with SanPiN 1.2.3685-21. The following parameters were determined in each sample in accordance with the methodological instructions (MUK 4.2.1884-04, GOST 24849-2014): TCB, E. coli, enterococci, the number of which should not exceed 500 CFU/100 cm3, 100 CFU/100 cm3, 10 CFU/100 cm3, respectively.
The total microbial population (TMP) was conducted by direct microscopic counting of microorganisms on 0.22 μm pore size membrane filters (REATREK-Filter) using DAPI dye (4,6-diamino-2-phenylindole) (Porter, 1980). Microscopy was performed with an epifluorescence microscope AxioImager.M1 (“Carl Zeiss”, Germany). At least 20 fields of vision were viewed. Cell counting in the photographs was carried out using the ImageTest program. Calculation of the TMP value was done by the formula:
where a - is the area of filter (mm2); b - number of bacteria counted; c - micrometer area (µm2); d - volume of applied preparation (ml); e - number of counted fields of vision (Gerhardt, 1981).
To determine the self-cleansing coefficient, we used MUK.4.2.1884-04. The total microbial count (TMC) was calculated, reflecting the total content of mesophilic aerobic and facultatively anaerobic microorganisms capable of forming colonies on meat-peptone nutrient agar (MPA) at 37°С for 24 h (MPA 37°С) and at 22°С for 72 h (MPA 22°С). Also, to determine the abundance of organotrophic bacteria, a medium with fish-peptone agar (FPA:10) was used, the cultivation temperature was 37°С (Gorbenko, 1961).
Physicochemical characteristics of water (pH, Eh, T) were measured with an instrument pH 3310 (WTW, Germany).
3. Results
3.1. Physicochemical characteristics of the spring
The Zmeinyi spring is characterized by relatively high temperature compared to other springs of the Barguzin Basin (Namsaraev et al., 2007). The water temperature in the large bath was 43°С, and in the small one was 38.6°С, pH was 9.6. The redox potential (ROP) in the large bath was -434 mV and in the small bath -427 mV, indicating reduced conditions in the spring. At the water’s edge, the water temperature was 17°С, pH was 8.8, ROP was -239 mV.
3.2. Number of sanitary-significant microorganisms
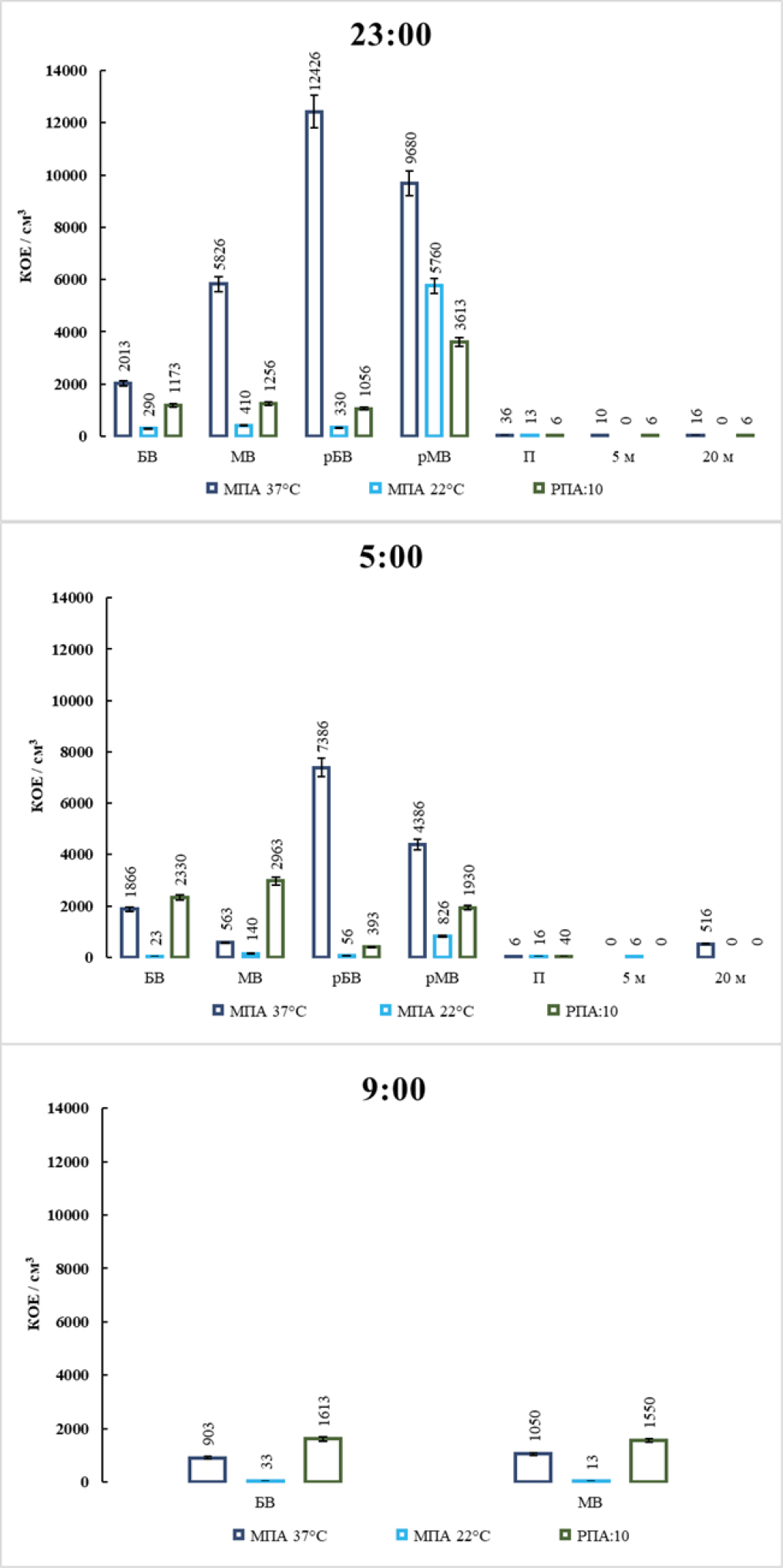
On July 11 at 23:00 p.m. after mass tourists bathing in the area of the thermal spring outlet (SB, LB, sSB, sLB), the high TMP values were recorded when cultured on MPA at 37°С, their values ranged from 2013 to 12426 CFU/cm3 (Fig.2).
Fig.2. Number of organotrophic mesophilic aerobic and facultatively anaerobic microorganisms in the studied water zone during a day
This indicator was low at the water’s edge near the pier and at a distance of 5 - 20 meters from the shore (10-36 CFU/сm3). High count of bacteria growing at 22°С (MPА) and 37°С (FPА:10) was recorded in the stream of small bath (up to 5760 and 3613 CFU/cm3, respectively). The TMP value was relatively high in that time in the streams of large and small baths and was 8.36±0.34 and 8.28±0.38 million cells/ml, respectively (Table 1).
Table 1. Total microbial count (million cells/mL)
Sampling site Sampling time | LB | SB | sLB | sSB | P | 5 m | 20 m |
23:00 | 6.87±0.32 | 6.83±0.14 | 8.36±0.34 | 8.28±0.38 | 2.05±0.07 | 1.97±0.05 | 2.14±0.08 |
5:00 | * | 8.02±0.37 | 5.09±0.22 | 7.96±0.21 | 2.27±0.06 | 2.20±0.07 | 3.00±0.15 |
9:00 | 4.69±0.11 | 3.01±0.22 | - | - | - | - | - |
Note: “–” no study was conducted; “*” - number exceeding the maximum value for counting on filters.
High number of TCB was recorded in the large and small baths, in streams and in the littoral zone near the pier (Fig. 3). At a distance of 5 meters from the shore this indicator was also high (up to 626 CFU/100 cm3). The stream sample from the large bath showed continuous growth, while in the littoral zone of the lake this indicator was already within normal limits at 20 meters from the stream (180 CFU/100 cm3). High levels of E.coli bacteria and recent fecal contamination recorded only in the baths and streams. Spores of sulphite-reducing clostridia were found in the large bath and (2 and 1 CFU/20 сm3, respectively).
Fig.3. Number of sanitary-significant microorganisms in the studied water area during a day
At 5:00 a.m. on July 12, after a 6-hour break, the count of mesophilic aerobic and facultatively anaerobic microorganisms growing on MPA at 37°С and 22°С decreased. Their count ranged from 563 to 7386 CFU/cm3 and from 23 to 826 CFU/cm3, respectively (Fig. 2). In the littoral zone at a distance of 20 m from the shore, the TMC value (MPA 37°С) increased to 3440 CFU/сm3. At this time, an increase in the number of organotrophic bacteria growing on FPA:10 (2330 and 2963 CFU/cm3, respectively) was recorded in the small and large baths). A high TMP value was recorded in a large bath when filtering 1 ml of diluted sample, cells formed conglomerates, making counting difficult, which did not allow obtaining reliable values (Table 1). Low TMP values were recorded near the pier and at 5 and 20 m from the shore. Number of TCB in the baths and streams increased approximately 2 times compared to evening values (Fig. 3). At the same time, in the coastal water zone at a distance of 5 and 20 meters from the shore, this indicator decreased by about 30 - 40%. There was also a decrease in the number of E. coli and enterococci by 60 - 70 %. Spores of sulfite-reducing clostridia were found only in the stream of the large bath (4 CFU/20 cm3) and were not detected in other samples.
At 9:00 a.m. on July 12, after several groups of people bathed, in the large and small baths, the TMC counted on the MPA at 37°С decreased to 903 and 1,050 CFU/cm3, respectively, compared to the morning and evening values. The TMP values in the large and small baths were relatively low (4.69±0.11 and 3.01±0.22 million cells per ml, respectively). The number of TCB in the large bath remained high as it was at 5:00 a.m., while in the small bath this index decreased to 3246 CFU/100 cm3 (see Fig. 3). The number of spores of sulfite-reducing clostridia was maximum at this time and reached 15 and 12 CFU/20 сm3.
Relatively high self-cleaning coefficient was observed in the coastal zone: near the pier (2.53) and at a distance of 5 meters from the shore at 23:00 and 5:00 (1 and 2.16, respectively) (Table 2).
Table 2. Self-cleaning coefficient in the water area of Zmeinaya Bay
Sampling site Sampling time | P | 5 m | 20 m |
23:00 | 0.27 | 1 | 0 |
5:00 | 2.53 | 2.16 | 0.0008 |
9:00 | - | - | - |
Note: “-” – no studies were conducted
4. Discussion
The healing properties of geothermal springs have been known for a long time. As shown in the work of Buslov S.P. (Buslov, 1990), mineral water from BRZ (Baikal Rift Zone) springs has a beneficial effect on various organ systems: nervous, respiratory, motor, genitourinary, etc., as well as improves skin condition and promotes wound healing. Therefore, the springs are very popular among the population and are open to the public (Namsaraev et al., 2007). At the same time, the geothermal springs of BRZ exceeded repeatedly the normative values of sanitary-significant microorganisms. Thus, in 2012, opportunistic bacteria of the E. coli group and bacteria of genus Enterococcus were revealed in mineral waters of the Shumak River valley (Suslova et al., 2013). In cold and hot springs of the Baikal region (Kumyska, Serebryany, Goryachinsk), opportunistic microorganisms belonging to the genera Enterobacter, Klebsiella, Escherichia, Citrobacter and the pathogenic species Clostridium perfringens, which is a causative agent of human food poisoning and one of the causative agents of gas gangrene, have also been detected (Barkhutova et al., 2012). As we mentioned above, exceedances of values of sanitary-significant bacteria in the summer period were repeatedly noted in the Zmeinyi spring. Although according to the chemical analysis data, the water of the Zmeinyi spring is constant in time, its composition does not change and corresponds to the previously obtained data (Namsaraev et al., 2007; Plyusnin et al., 2013; Kalmychkov et al., 2020; Chernitsyna et al., 2020). As our studies have shown, an increased content of sanitary-significant microorganisms in the thermal spring of Zmeinaya Bay was observed at different time of the day after the visit of tourists. The highest values exceeding the normative values according to SanPiN 1.2.3685-21 were observed in the evening time of a day (23:00). Early in the morning, despite the 6-hour absence of bathers, the values of TCB, E. coli, and enterococci also exceeded the permissible values. Incomplete self-purification processes or insufficient dilution of thermal waters with Baikal waters is evidenced by the values of self-purification coefficient (2.16 - 2.53) near the pier and in the lake littoral zone at a distance of 5 m from the shore.
One of the reasons for constant contamination of the spring with opportunistic microorganisms may be high water temperature (40 - 42°C), which is close to the optimum (37°С) for their growth. For example, E. coli has a growth optimum of 37°С, although some strains are able to grow from 40 tо 49°С (Ingledew and Poole, 1984). Preservation of bacterial viability, including sanitary bacteria, may be facilitated by low flow of the spring and restored environmental conditions. In streams where water is saturated with О2 and water temperature is ∼ 32 - 33°С, microbial abundance also remains high. The values of TCB, E.coli, and enterococci abundance meet the norms only in the littoral zone at a distance of 5 - 20 meters from the shore, where water temperatures are 17°С. It is obvious that a combination of such factors as temperature, water renewal rate in the baths and the number of bathers affect the development and distribution of opportunistic microorganisms in the investigated spring and coastal water area. According to our research results, the waters in the large and small baths of the thermal spring Zmeinyi do not meet the requirements of SanPiN 1.2.3685-21 and are not safe for balneological purposes without special measures. Possible measures to increase the flow of waters of this spring is adding Baikal water at night. Dilution of thermal waters and temporary reduction of temperature in them can reduce the survival rate of opportunistic microorganisms and improve the quality of water in the baths of the spring.
5. Conclusion
According to SanPiN 1.2.3685-21, at different time of the day in the Zmeinyi spring exceedance in the norms of sanitary-microbiological indicators (TCB, E. coli, enterococci) were observed. The highest content was observed after tourists bathing, their number remained high and after a 6-hour break. In the littoral zone of the lake (20 meters from the shore) the number of the studied groups corresponded mainly to the norms. It is obvious that a combination of such factors as temperature, water renewal rate in baths and the number of bathers affect the development and distribution of opportunistic microorganisms in the studied spring and coastal water area.
Healing springs, as objects of permanent recreational visit, should be protected from the transfer of opportunistic bacteria in the places of mineral water outlet using special measures. There is also an obvious need to develop regulations for tourists visiting this spring.
Acknowledgments
The authors thank the staff of Limnological Institute Zakharenko Alexandra Sergeevna and Suslova Maria Yurievna for practical recommendations. The study is carried out within the State assignment 0279-2021-0006 (121032300223-1).
Conflict of interests
The authors declare no conflicts of interest.
About the authors
I. S. Elovskaya
Limnological Institute Siberian Branch of the Russian Academy of Sciences
Author for correspondence.
Email: elovskaya.iren@yandex.ru
Russian Federation, Ulan-Batorskaya Str., 3, Irkutsk, 664033
S. M. Chernitsyna
Limnological Institute Siberian Branch of the Russian Academy of Sciences
Email: elovskaya.iren@yandex.ru
Russian Federation, Ulan-Batorskaya Str., 3, Irkutsk, 664033
O. N. Pavlova
Limnological Institute Siberian Branch of the Russian Academy of Sciences
Email: elovskaya.iren@yandex.ru
Russian Federation, Ulan-Batorskaya Str., 3, Irkutsk, 664033
T. I. Zemskaya
Limnological Institute Siberian Branch of the Russian Academy of Sciences
Email: elovskaya.iren@yandex.ru
Russian Federation, Ulan-Batorskaya Str., 3, Irkutsk, 664033
References
- Barkhutova D.D., Darmaeva B.V., Namsaraev B.B. 2012. Sanitary-microbiological assessment of cold Arshans and hot mineral springs in the Baikal region. Acta Biomedica Scientifica 5(1): 193-196. (in Russian)
- Borisenko I.M., Zamana L.V. 1978. Mineral’nye Vody Buryatskoi ASSR [Mineral water of the Buryat ASSR]. Ulan-Ude: Buryat. Izd. (in Russian)
- Buslov S.P. 1990. Recreational resources of the Lake Baikal basin and prospects of their use. Interaction of socio-economic development and nature protection in the Baikal region. Novosibirsk. (in Russian)
- Chernitsyna S.M., Khalzov I.V., Pogodaeva T.V. 2020. Distribution and morphology of colorless sulfur bacterium of the genus Thiothrix in water reservoirs of the Baikal rift zone. Limnology and Freshwater Biology (4):976-978. doi: 10.31951/2658-3518-2020-A-4-976
- Chernitsyna S.M., Elovskaya I.S., Pogodaeva T.V. et al. 2023. Bacterial Communities in a Gradient of Abiotic Factors Near a Sulfide Thermal Spring in Northern Baikal. Diversity 15(298):1-15 doi: 10.3390/d15020298
- Darmaeva B.V. 2007. Sanitary-ecological assessment of mineral springs of the Baikal region by microbiological indicators. Cand. Sc. Dissertation, Center for Hygiene and Epidemiology in the Republic of Buryatia, Ulan - Ude, Russia. (in Russian)
- Gerhardt P. 1981. Manual of methods for general bacteriology. Washington: American Society for Microbiology
- Gorbenko Yu.A. 1961. On the most favorable amount of dry nutrient agar in media for culturing marine microorganisms. Microbiology 30(1):168-172. (in Russian)
- GOST 31942-2012. Voda pit’yevaya. Otbor prob dlya mikrobiologicheskogo analiza [Drinking water. Sampling for microbiological analysis]. (in Russian) URL:https://docs.cntd.ru/document/1200097811
- GOST 24849-2014. Voda. Metody sanitarno-bakteriologicheskogo analiza dlya polevykh usloviy [Water. Methods of sanitary-bacteriological analysis for field conditions] (in Russian) URL:http://docs.cntd.ru/docu-ment/1200115427
- Ingledew W.J., Poole R.K. 1984. The respiratory chains of Escherichia coli. Microbiology and Molecular Biology Reviews. Washington: American Society for Microbiology 48(3):222-271.
- Kalmychkov G.V., Hachikubo A., Pokrovsky B.G. et al. 2020. Methane with anomalously high δ 13 C and δD values from the coastal thermal springs of Lake Baikal. Lithology and Mineral Resources 55(6):439-444. doi: 10.31857/S0024497X20040035
- Lomonosov I.S. 1974. Geochemistry and Formation of Modern Hydrotherms of the Baikal Rift Zone. Novosibirsk: Nauka. (in Russian)
- MUK 4.2.1884-04. Sanitarno-mikrobiologicheskiy i sanitarno-parazitologicheskiy analiz vody poverkhnostnykh vodnykh ob”yektov [Sanitary-microbiological and sanitary-parasitological analysis of water in surface water bodies]. (in Russian) URL:http://docs.cntd.ru/document/1200039680
- Namsaraev B.B., Khakhinov V.V., Garmayev E.Zh. et al. 2007. Water systems of the Barguzin Basin. Ulan-Ude: Buryat. Izd. (in Russian)
- Plyusnin A.M., Zamana L.V., Shvartsev S.L. et al. 2013. Hydrogeochemical peculiarities of nitrogen composition of terms in the Baikal rift zone. Geology and Geophysics 54(5):647-664. (in Russian)
- Porter K.G. 1980. The use of DAPI for identifying and counting aquatic microflora. Limnology and Oceanography 25:943-94.
- SanPiN 1.2.3685-21. Gigiyenicheskiye normativy i trebovaniya k obespecheniyu bezopasnosti i (ili) bezvrednosti dlya cheloveka faktorov sredy obitaniya [Hygienic standards and requirements for ensuring the safety and (or) harmlessness to humans of environmental factors] (in Russian) URL:http://docs.cntd.ru/document/1200006938/
- Suslova M.Yu., Kravchenko O.S., Kostornova T.Y. et al. 2013. Sanitary-bacteriological assessment of water quality in the places of the mineral springs outlets of the Shumak River valley (Tunka Goltsy, Eastern Siberia). Baikal Medical Journal 117(2):092-095. (in Russian)
- Suslova M.Yu., Podlesnaya G.V., Zimens E.A. et al. 2022. Sanitary-microbiological characteristics of the coastal zone of Lake Baikal during the seasonal change in the lake level in 2022. Limnology and Freshwater Biology (6):1724-1727. doi: 10.31951/2658-3518-2022-A-6-1724
- Zamana L.V., Askarov Sh.A. 2010. Fluorine in nitrogenous therms of the Bauntov group (Northern Transbaikalia). Bulletin of Buryat State University (3):8-12. (in Russian)
Supplementary files





