Theoretical Underpinnings of the Parameters of Device for Cleaning Grain from Ergot Sclerotia
- Authors: Saitov V.Е.1,2, Farafonov V.G.1, Saitov A.V.2
-
Affiliations:
- Federal Agricultural Research Center of the North-East named N. V. Rudnitsky
- Vyatka State Agricultural Academy
- Issue: Vol 30, No 3 (2020)
- Pages: 355-376
- Section: Processes and Machines of Agroengineering Systems
- Submitted: 20.08.2025
- Accepted: 20.08.2025
- Published: 12.09.2025
- URL: https://journal-vniispk.ru/2658-4123/article/view/305212
- DOI: https://doi.org/10.15507/2658-4123.030.202003.355-376
- ID: 305212
Cite item
Full Text
Abstract
Introduction. The grain collected by a combine contains not only full-weight grain, but also weeds, including harmful ones, which include toxic ergot sclerotia. Existing grain cleaning machines cannot provide complete separation of toxic ergot sclerotia during a single technological process, because of the similarity of physical properties. A complete separation of ergot from grain in one technological process is possible by density using aqueous solutions of inorganic salts. Therefore, an urgent issue is the development of a machine for separating harmful impurities in a wet way.
Materials and Methods. We consider the fall of grains of rye, wheat, barley and oats, which have a shape close to ellipsoidal, from the outlet of the loading hopper into a liquid with a density of 1.0; 1.05; 1.10 and 1.15 ∙ 103 kg/m3. Theoretical explorations were undertaken for grain density (1.2...1.5) ∙ 103 kg/m3, a length (5.0...10.0) ∙ 10–3 m, a width (1.4...3.6) ∙ 10–3 m and thickness (1.2...3.5) ∙ 10–3 m by mathematical modeling methods using the laws of mechanics and hydrodynamics.
Results. For the development of a machine for a wet separation of harmful impurities, the height of the location of the outlet of the loading hopper relative to the surface of an aqueous salt solution was estimated.
Discussion and Conclusion. It was found that the minimum height of the loading hopper outlet location relative to the liquid surface depends on the orientation of the grains at the moment of entering it, their linear dimensions and density, as well as the density of an aqueous salt solution. The height of the outlet of the loading hopper, necessary for guaranteed overcoming of the surface tension of the liquid by all grains, is 57.1 ∙ 10–3 m.
Full Text
Введение
Люди с древних времен для питания использовали продукты, приготовленные из зерна. С появлением механизации и увеличением производительности труда, повышением урожайности зерновых культур за счет применения органических и минеральных удобрений излишки зерна, в особенности фуражное зерно, стали применять для приготовления различных кормов для сельскохозяйственных животных1.
Современная технология производства зерна предусматривает применение энергоресурсосберегающих сельскохозяйственных машин. Для уборки зерновых культур в настоящее время сельскохозяйственные предприятия применяют отечественные и зарубежные зерноуборочные комбайны, механизмы очистки которых не обеспечивают полное удаление различных примесей из обмолачиваемой хлебной массы [1; 2].
Комбайновый зерновой материал, поступающий на пункты после уборочной обработки, содержит кроме полновесного зерна различные сорные примеси, в том числе вредные (семена вязеля, горчака, мышатника, плевела, куколя), а также ядовитые склероции (рожки) спорыньи2 [3; 4].
Посевы хлебных злаковых культур (рожь, пшеница овес, ячмень) и кормовых злаковых трав (пырей, костер, райграс, овсяница, тимофеевка) часто поражаются спорами спорыньи. При поражении колосьев данных злаковых культур вместо зерен образуются склероции продолговатой формы, а в зерновой массе они присутствуют в виде продолговатых рожков черно-фиолетового цвета, в ряде случаев из-за мутаций подстраиваются под цвет зерна (рис. 1) [5; 6].
спорыньи пурпурной; b) зерно озимой ржи со склероциями спорыньи
Fig. 1. General view of winter rye infected with ergot: a) spike of winter rye with ergot purple sclerotia;
b) winter rye grain with ergot sclerotia
В решении Комиссии Таможенного союза ЕврАзЭС отмечается, что в хлебном зерне ржи и пшеницы содержание склероций спорыньи не должно превышать 0,05 %, а в хлебном зерне ячменя и овса – 0,1 %. В кормовом зерне ржи, пшеницы, ячменя и овса предельное содержание склероций спорыньи не должно превышать 0,1 %3.
Зерно сельскохозяйственных культур для посева должно быть очищено от всех примесей и доведено до сортовых и посевных требований. Присутствие склероций спорыньи в оригинальных семенах не допускается. Содержание склероций спорыньи в элитных семенах не должно превышать 0,03 %4.
Выполнение таких жестких требований к продовольственному, кормовому и семенному зерну связано с тем, что склероции спорыньи являются чрезмерно ядовитыми. Употребление зараженных ядовитыми склероциями спорыньи продуктов питания людьми и кормов животными влечет отравление организма и может в зависимости от тяжести приводить к смертельному исходу. Поэтому продукты из зерен хлебных злаковых культур со склероциями спорыньи нельзя использовать для выпечки хлебобулочных изделий и приготовления комбикормов [7; 8].
Таким образом, выделение ядовитых склероций спорыньи из зернового материала является первоочередной необходимостью получения качественных семян для посева, а также пригодного продовольственного и фуражного зерна для питания людей и животных.
Отделение примесей из бункерной зерновой массы осуществляется сложными по конструкции, трудоемкими в технологических регулировках и обслуживании зерноочистительными машинами предварительной, первичной и вторичной очистки, а также специальными машинами (например, пневмосортировальными столами, фотосепараторами, магнитными сепараторами), требующими высококвалифицированного обслуживания. В этих машинах используются в основном различия зерна и примесей по линейным размерам (длина, ширина, толщина и форма), скорости витания (аэродинамические свойства), состоянию поверхности и плотности, сыпучести, электропроводности и цвету [9]. Данные машины не обеспечивают в ходе одного технологического процесса полное выделение ядовитых склероций спорыньи от зерна из-за близости их свойств по линейным размерам, скорости витания, а также по цвету из-за мутаций и подстраивания склероций спорыньи к цвету зерна основной культуры5 [10–14].
Одним из свойств, по значениям которого ядовитые склероции спорыньи отличаются от семян основных зерновых культур (рожь, пшеница, овес и ячмень), является плотность. Это позволяет использовать водные растворы неорганических солей, плотность которых можно сделать промежуточной между плотностью склероций спорыньи и зерна в качестве их разделителя6.
Соответственно, для очистки зерна от ядовитых склероций спорыньи по плотности в водных растворах солей актуальным вопросом является разработка несложной по конструкции машины очистки зернового материала, которая должна иметь малую энергоемкость технологического процесса в сравнении с существующими зерно- и семя-очистительными машинами. При разработке такого устройства и выполнении им процесса выделения ядовитых склероций спорыньи из зерна с надлежащей эффективностью требуются исследования по обоснованию высоты расположения выходного отверстия загрузочного бункера с зерновым материалом h относительно поверхности водного раствора соли в ванне данного устройства [15; 16].
Обзор литературы
Процесс погружения в воду стального шарика, покрытого тонким слоем пластилина, диаметром 10,0 · 10–3 м при падении на ее поверхность с высоты 0,2 м приведен в работе В. В. Майера (рис. 2)7.
Fig. 2. Falling into water of a steel ball not wetted by it and the stage of formation of a cumulative jet:
a) collision of the ball with the surface of the water to form a cavity;
e) immersion of the ball in water with an air bubble and formation of a cumulative jet
При падении шарика на поверхность воды образуется каверна – воздушное углубление. По мере углубления шарика в воду каверна растет, а затем на ней появляется перетяжка, которая разделяет каверну на воздушный пузырь, примыкающий к шарику, и коническое углубление на поверхности воды. Далее коническое углубление схлопывается и появляется кумулятивная струя, а воздушный пузырь вместе с шариком погружается либо отрывается от него и всплывает на поверхность воды.
В статье В. А. Архипова и В. Ф. Трофимова представлены результаты экспериментального исследования по ударному взаимодействию падающей с высоты 0,45…1,73 м сферической капли воды диаметром (0,04…0,05)·10‒3 м на поверхность жидкости8. В результате удара капли о поверхность жидкости образуется сферическая каверна и корона, стремящаяся образовать купол над каверной. Дальнейшее развитие процесса приводит к разрушению каверны с короной и образованию столбика воды.
Падение тела диаметром 1,68 м с высоты 0,3 м в резервуар с жидкостью рассмотрено А. А Комаровым и В. В. Казенновым [17]. При поступлении тела в жидкость в ней образуется каверна, затем происходит погружение тела в жидкость с захватом пузыря воздуха. В дальнейшем по мере погружения каверна размывается и сносится.
Проблеме падения тела в жидкость посвящены работы Ю. Сколана и А. Коробкина, Т. Шибу, А. Ито и Е. Накаяма, Э. И. Григолюка и А. Г. Горшкова, в которых отмечаются процессы образования каверны, захвата пузырька воздуха телом, появления кумулятивного эффекта в результате схлопывания каверны, отрыва пузырька воздуха от тела и всплытия на поверхность жидкости9 [18; 19].
Из перечисленного следует, что захват пузырька воздуха телом и появление кумулятивной струи зависит от высоты его падения в жидкость h. Образование кумулятивной струи не будет происходить при падении зерновки на поверхность воды либо водного раствора соли с минимальной высоты h, обеспечивающей гарантированное преодоление ею поверхностного натяжения жидкости. При этом качественное выполнение технологического процесса очистки зерна от вредных примесей данным устройством будет выполняться.
В научных работах ряда ученых теоретически рассматривается расположение по высоте h выходного отверстия загрузочного бункера относительно уровня водного раствора соли плотностью ρzh = 1,15 ∙ 103 кг/м3 для цилиндрической и сфероидальной зерновок плотностью ρz = (1,2…1,5) ∙ 103 кг/м3, длиной lz = 8 ∙ 10–3 м, шириной и толщиной rz = 1,0 ∙ 10‒3 м10 [20].
Однако зерновка основных культур (ржи, пшеницы, ячменя и овса) характеризуется длиной lz, шириной b и толщиной δ. Вследствие этого геометрическая форма зерновки более соответствует эллипсоиду, чем цилиндрической и сфероидальной зерновке. Поэтому в данной работе будет рассмотрено падение эллипсоидальной зерновки из выходного отверстия загрузочного бункера и погружение ее в жидкость. В научных публикациях данный подход по исследованию погружения эллипсоидальных зерновок в жидкость различной плотности ρzh не рассматривался.
Материалы и методы
Рассматривается падение отдельных зерен хлебных злаковых культур (пшеницы, овса, ржи и ячменя), имеющих плотность ρz = (1,2…1,5) ∙ 103 кг/м3, длину lz = (5,0…10,0) ∙ 10–3 м, ширину b = (1,4…3,6) ∙ 10–3 м и толщину δ = (1,2…3,5) ∙ 10–3 м, из выходного отверстия загрузочного бункера в воду (Н2О) плотностью ρzh = 1,0 ∙ 103 кг/м3 и в водный раствор соли хлористого натрия (NaCl) плотностью ρzh = 1,05; 1,10 и 1,15 ∙ 103 кг/м3, коэффициенты σ поверхностного натяжения которых при нормальных условиях (t = 20 °C) составляют 0,0723, 0,0765, 0,0791 и 0,0816 Н/м соответственно11.
По геометрической форме зерновки основных хлебных злаковых культур (пшеницы, овса, ржи и ячменя) схожи между собой и имеют вытянутую округлую форму (рис. 3). У зерна данных культур с одной стороны проходит бороздка, которая заходит вглубь него. На остром конце зерна с выпуклой его стороны расположен зародыш, а противоположный конец зерна тупой, покрытый волосками.
Fig. 3. General view of the grains of the main crops: a) wheat grains; b) rye grains;
c) barley grains; d) oats grains
Зерно пшеницы и ржи покрыто семенными и плодовыми оболочками, а потому они относятся к голозерным культурам. Зерновка пшеницы по форме имеет более округлую форму, чем зерновка ржи, которая отличается сжатой с боков продолговатой формой (рис. 3а и 3b).
Плоды ячменя и овса относятся к пленчатым культурам, так как зерновки покрыты чешуями или пленками. По внешнему виду зерновки ячменя и овса похожи на зерновки пшеницы и ржи, но имеют более заостренные верхние и нижние концы (рис. 3с и 3d).
По внешнему виду, геометрической форме и линейным размерам зерновки основных культур (рожь, пшеница, ячмень и овес) наиболее соответствуют эллипсоиду, который имеет малую 2cz = δ, среднюю 2bz = b и большую 2az = lz оси. Тогда в качестве теоретической модели зерновки, падающей из выходного отверстия загрузочного бункера на поверхность воды (Н2О) или водного раствора соли (NaCl), принята форма эллипсоида. В соответствии с этим введено научное понятие «эллипсоидальная зерновка».
При падении зерновки из выходного отверстия загрузочного бункера на поверхность воды (Н2О) или водного раствора соли (NaCl) исключается сила R сопротивления воздуха из-за малого ее значения по сравнению с силой тяжести mzg зерновки. Для преодоления силы поверхностного натяжения жидкости зерновкой минимальная высота расположения выходного отверстия загрузочного бункера h, с которой она должна падать, находится при учете закона сохранения энергии.
Теоретические исследования выполнены методами математического моделирования с применением законов механики и гидродинамики. Обработка полученных данных проведена на персональном компьютере Samsung NP-R540H с применением разработанной программы «Вычисление минимальной высоты падения зерновок для преодоления поверхностного натяжения жидкости» на языке программирования Python в среде разработки Visual Studio 201912.
Для визуализации полученных данных использована специальная программа SigmaPlot 11.0. Полученные зависимости представлены в виде поверхностей при помощи редактора векторной графики CorelDRAW 1213.
Результаты исследования
Зерна хлебных злаковых культур покрыты несмачиваемыми пленками, а потому большинство из них не тонет в жидкости при бросании с высоты h = (2,0…5,0) · 10–3 м. При такой высоте h запасенная потенциальная энергия зерна мала для проникновения в жидкость. Это не позволяет преодолеть силу поверхностного натяжения жидкости14.
Вид зерен, обладающих несмачиваемыми пленками и находящихся на поверхности жидкости, показан на рисунке 4.
Fig. 4. View of grains with non-wetting films located on the surface of the liquid
Рассмотрим две крайние ориентации (расположения) эллипсоидальной зерновки, выходящей из отверстия загрузочного бункера, главной малой осью 2cz = δ по вертикали (плашмя) и главной большой осью 2az по вертикали. Полагаем, что зерновка двигается в жидкость и сохраняет начальное расположение (ориентацию). Численные значения результатов для промежуточных расположений эллипсоидальной зерновки будут находиться между значениями, полученными для двух крайних расположений.
Силы, действующие на эллипсоидальную зерновку при движении из выходного отверстия загрузочного бункера и проникновении в жидкость, показаны на рисунке 5.
отверстия загрузочного бункера и проникновении в жидкость: 1 – загрузочный бункер;
2 –заслонка регулировочная; 3 – зерновка; 4 – ванна с жидкостью
Fig. 5. Forces acting on an ellipsoidal grain when moving from the outlet of the loading hopper and
entering the liquid: 1 – loading hopper; 2 – an adjusting gate; 3 – grain; 4 – bath with liquid
Максимальное значение силы сопротивления воздуха при движении эллипсоидальной зерновки у поверхности жидкости сопоставим со значением силы тяжести зерновки. Считаем нулевой начальную скорость υ0 зерновки на выходе из загрузочного бункера15:
(1)
где mz – масса эллипсоидальной зерновки, кг; g – ускорение силы тяжести, g = 9,81 м/с2; υυit – скорость парусности (витания) зерновки, м/с; υz – скорость движения эллипсоидальной зерновки, м/с; h – высота расположения выходного отверстия загрузочного бункера по отношению к поверхности жидкости, м.
При расчетах полагаем значения высоты h = (1,0…5,0) ∙ 10–2 м и скорости витания υυit = 7,0…10,5 м/с хлебных злаковых культур (рожь, пшеница, ячмень и овес)16. Тогда значения силы R на поверхности жидкости будут (0,18…2,0) ∙ 10–2mzg. Получили, что сила mzg тяжести эллипсоидальной зерновки (основная сила процесса) значительно больше силы сопротивления воздуха R движению данной зерновки. Вследствие этого сила сопротивления воздуха R не учитывается при определении высоты расположения выходного отверстия загрузочного бункера h по отношению к поверхности жидкости.
На выходе из загрузочного бункера эллипсоидальной зерновки и при движении вдоль главной большой оси 2az или вдоль главной малой оси 2сz (плашмя) ее потенциальная энергия mz gh превратится в кинетическую энергию. Данная кинетическая энергия при полном входе зерновки в жидкость и остановке полностью израсходуется на работу против силы Fs.t. поверхностного натяжения жидкости, силы Архимеда FA и силы гидродинамического сопротивления FС, появляющейся при турбулентном движении из-за разности давлений впереди эллипсоидальной зерновки и за ней17.
При движении эллипсоидальной зерновки в жидкость вдоль главной большой оси 2az и вдоль главной малой оси 2сz величина работы Ап против силы поверхностного натяжения Fs.t. будет одинаковая18:
(2)
где σ – коэффициент поверхностного натяжения жидкости, Н/м; ∆S – площадь полной поверхности эллипсоида, на которую увеличилась свободная поверхность жидкости в результате поступления в нее зерновки, м2.
Площадь поверхности эллипсоида определяется выражением19:
(3)
где F(t, k) и E(t, k) – эллиптические интегралы первого и второго рода; t, k – аргументы функций F(t, k) и E(t, k).
Эллиптический интеграл первого рода в выражении (3) равен20:
, (4)
где φ – переменная интегрирования.
Эллиптический интеграл второго рода имеет вид:
. (5)
Аргументы функций F(t, k) и E(t, k) определяются по формулам:
,
. (6)
В работе Е. Янке, Ф. Эмде и Ф. Леша эллиптические интегралы первого и второго рода приведены в виде таблиц, зависящих от углов φ и α, причем21
, . (7)
Аргументы t, k зависят только от линейных размеров зерновок (6), что позволяет найти соответствующие параметры (φ, α) таблиц (7), а по ним – значения эллиптических интегралов и площади поверхности эллипсоида (3).
При полном погружении эллипсоидальной зерновки в водный раствор соли вдоль главной большой оси 2az центр тяжести вытесненной жидкости поднимается на высоту большой полуоси эллипсоида az, и эта жидкость растечется по поверхности жидкости в ванне разрабатываемого устройства. Показатель увеличения потенциальной энергии вытесненной жидкости по отношению к ее поверхности определяет значение работы против силы Архимеда FA:
, (8)
где mzh – масса жидкости, вытесненной эллипсоидальной зерновкой, кг.
Изменение уровня жидкости в ванне при погружении в нее отдельной зерновки не учитывается, так как размеры ванны разрабатываемого устройства значительно больше линейных размеров эллипсоидальной зерновки.
При поступлении в жидкость эллипсоидальной зерновки действующая на нее сила гидродинамического сопротивления FС находится по формуле22:
, (9)
где c – коэффициент гидродинамического сопротивления жидкости при движении в ней эллипсоидальной зерновки, который определяется формой зерновки, скоростью ее движения и вязкостью жидкости; S – площадь миделевого сечения (максимальная площадь проекции эллипсоидальной зерновки на плоскость, перпендикулярную вектору скорости зерновки), м2.
Работа, производимая против силы гидродинамического сопротивления FС при движении эллипсоидальной зерновки вдоль главной большой оси 2az, равна сумме двух работ. В работе, совершаемой зерновкой от момента касания поверхности жидкости до глубины большой полуоси az, за миделево сечение принимается переменная площадь S(y) сечения эллипсоидальной зерновки на уровне поверхности жидкости.
Силы, действующие на эллипсоидальную зерновку при падении на поверхность жидкости вдоль главной большой оси 2az, показаны на рисунке 6а.
жидкости: a) при падении зерновки вдоль главной большой оси 2аz;
b) при падении зерновки вдоль главной малой оси 2сz (плашмя)
Fig. 6. Forces acting on an ellipsoidal grain when falling on the surface of a liquid:
a) when the grain falls in the direction of the main major axis 2аz;
b) when the grain falls in the direction of the main minor axis 2сz (flat)
Эта площадь S(y) сечения эллипсоидальной зерновки равна23:
, (10)
где bz(y) – переменное значение большой полуоси эллипса, находящегося в сечении эллипсоидальной зерновки поверхностью раствора соли, в который она погружается, м; cz(y) – переменное значение малой полуоси эллипса, находящегося в сечении эллипсоидальной зерновки поверхностью раствора соли, в который она погружается, м.
Выражения для полуосей bz(y) и cz(y) определяются с помощью двух сечений эллипсоида (рис. 6а), проходящих через главную большую ось 2аz эллипсоида и по осям Оx и Оz соответственно. В этих сечениях получаем эллипсы, уравнения которых будут иметь вид:
, . (11)
Поверхности водного раствора соли, в который вошла эллипсоидальная зерновка, будет соответствовать ордината y. Для этого значения y определим из уравнений (11) выражения для полуосей bz(y) = x и cz(y) = z:
,
. (12)
Первое слагаемое работы против силы FС найдем в системе координат эллипсоида (рис. 6a), полагая скорость зерновки постоянной, и получим завышенную величину работы А1С:
(13)
При определении второго слагаемого работы площадь миделевого сечения – постоянная величина (πbzсz):
(14)
При нахождении полной работы против силы гидродинамического сопротивления FС сумму работ A1C и A2C умножим на ½ (завышенная величина работы):
(15)
При полном погружении зерновки в водный раствор соли и остановке сила тяжести , приложенная к зерновке, при погружении ее на глубину 2az вдоль главной большой оси совершит отрицательную работу AT:
. (16)
Потенциальная энергия mzgh при падении эллипсоидальной зерновки на поверхность жидкости перейдет в кинетическую энергию. Она при полном входе в водный раствор соли и остановке зерновки будет полностью израсходована на найденные ранее работы. Это работает закон сохранения энергии. Потенциальная энергия mzgh равна сумме правых частей уравнений (2), (8), (15) и (16):
(17)
Преобразовав соотношение (17), получим выражение для определения минимальной высоты расположения выходного отверстия загрузочного бункера относительно поверхности водного раствора соли при поступлении в него зерновки вдоль главной большой оси 2az:
(18)
При анализе процесса падения эллипсоидальной зерновки в водный раствор соли вдоль главной малой оси 2cz (рис. 6b) нужно учесть, что работа против силы поверхностного натяжения жидкости будет такой же, как и при падении вдоль главной большой оси 2az эллипсоида (2), потому что она зависит только от коэффициента σ поверхностного натяжения водного раствора соли и площади поверхности эллипсоида ∆S, которые для обоих направлений движения зерновки одинаковы.
При полном погружении эллипсоидальной зерновки в водный раствор соли вдоль главной малой оси 2cz центр тяжести вытесненной жидкости поднимается на высоту малой полуоси эллипсоида cz, которая растечется по поверхности жидкости в ванне разрабатываемого устройства. Величина увеличения потенциальной энергии вытесненной жидкости по отношению к ее поверхности определяет значение работы против силы Архимеда FA:
. (19)
При падении эллипсоидальной зерновки вдоль главной малой оси 2сz работа против силы FС гидродинамического сопротивления будет такой же, как и при падении зерновки вдоль главной большой оси 2az (15). Это объясняется математическим методом нахождения выражения для работы. При определении первой части работы находится половина объема эллипсоида , а при определении второй части работы объем эллиптического цилиндра πаzbzcz. Эти объемы будут одинаковыми при любом из двух направлений падения эллипсоидальной зерновки, несмотря на разные геометрические формы половин эллипсоидов и эллиптических цилиндров, соответствующих каждому из направлений падения эллипсоидальной зерновки. Математически это объясняется неизменностью выражений для объемов этих тел при взаимной замене длин (az на сz) путей движения эллипсоидальной зерновки, соответствующих каждому из направлений падения.
При полном погружении зерновки в водный раствор соли и остановке сила тяжести , приложенная к зерновке, при погружении ее на глубину 2cz вдоль главной малой оси совершит отрицательную работу AT силы тяжести:
. (20)
При полном входе в водный раствор соли и остановке зерновки потенциальная энергия будет полностью израсходована на найденные ранее работы. Это работает закон сохранения энергии.
Поэтому потенциальная энергия (mzgh) равна сумме правых частей уравнений (2), (15), (19) и (20):
(21)
После преобразования уравнения (21) получим выражение для определения минимальной высоты расположения выходного отверстия загрузочного бункера h по отношению к поверхности жидкости при проникновении в нее зерновки вдоль главной малой оси 2cz (плашмя):
(22)
При расчетах по формулам (18) и (22) примем величину коэффициента гидродинамического сопротивления с = 0,9. Это выполняется для тел с плохо обтекаемой формой24.
Для зерновки, падающей в жидкость вдоль главной большой оси 2аz и вдоль главной малой оси 2cz (плашмя) и преодолевающей поверхностное натяжение, проведем качественный анализ полученных зависимостей (18) и (22) минимальной высоты h.
При увеличении плотности зерновки ρz, при неизменности значений остальных параметров (аz, bz, сz, ρzh, c и σ) минимальная высота h уменьшается, так как в правых частях выражений (18) и (22) знаменатели коэффициентов перед квадратными скобками увеличиваются (коэффициенты уменьшаются), и уменьшаются значения квадратных скобок из-за вычитания больших величин (2ρzаz) и (2ρzcz). Это очевидно, потому что с увеличением плотности зерновки ρz увеличиваются ее масса mz и потенциальная энергия, если высоту h оставить прежней, соответствующей меньшей плотности ρz. Поэтому с увеличением плотности зерновки ρz требуется меньшая, по сравнению с полученной для меньшей плотности зерновки ρz, потенциальная энергия (минимальная высота h), необходимая для преодоления зерновкой поверхностного натяжения водного раствора соли.
Такой же анализ показывает, что с увеличением плотности жидкости ρzh минимальная высота расположения выходного отверстия загрузочного бункера h относительно поверхности жидкости при движении эллипсоидальной зерновки вдоль главной большой оси 2аz (18) и при движении вдоль главной малой оси 2cz (плашмя) (22) увеличивается, потому что с увеличением плотности жидкости ρzh, при неизменных значениях остальных параметров (аz, bz, сz, ρz, c), увеличиваются сила Архимеда FA и сила гидродинамического сопротивления FС (9), а следовательно, и работа против этих сил (8), (15) и (19), необходимая для проникновения зерновки в водный раствор соли. Увеличивается также величина работы против силы поверхностного натяжения водного раствора соли (2), так как увеличивается соответствующий плотности жидкости ρzh коэффициент поверхностного натяжения водного раствора соли σ. Из закона сохранения энергии нужно увеличить потенциальную энергию зерновки, а значит увеличить минимальную высоту h, необходимую для преодоления ею поверхностного натяжения водного раствора соли.
При увеличении любого из линейных размеров (az, bz, cz) эллипсоидальной зерновки и падении по любому из направлений, при неизменности значений остальных параметров (ρz, ρzh, c и σ), минимальная высота h уменьшается. Физически это объясняется тем, что с увеличением любого из линейных размеров (az, bz, cz) эллипсоидальной зерновки увеличивается ее объем. Следовательно, увеличивается масса зерновки mz и ее потенциальная энергия, если высоту h оставить прежней, соответствующей меньшему значению линейного размера зерновки. Получается завышенное значение потенциальной энергии, которое нужно уменьшить, изменив минимальную высоту падения зерновки h, необходимую для преодоления поверхностного натяжения жидкости.
Сравним минимальные высоты h, необходимые для преодоления поверхностного натяжения жидкости при поступлении в нее эллипсоидальной зерновки вдоль главной большой оси 2аz (вертикальное начальное положение) и при падении вдоль главной малой оси 2cz (горизонтальное начальное положение). Для этого проведем анализ правых частей уравнений (18) и (22) при одинаковых значениях физико-механических свойств зерна и водного раствора соли. В этих условиях минимальная высота h, необходимая для преодоления поверхностного натяжения жидкости при поступлении в нее эллипсоидальной зерновки вдоль главной малой оси 2cz (плашмя), будет больше аналогичной высоты h при движении вдоль главной большой оси 2аz, потому что квадратные скобки в правых частях уравнений (18) и (22) при движении эллипсоидальной зерновки вдоль главной большой оси 2аz будут меньше, чем при движении вдоль главной малой оси 2cz (плашмя) (аz(2ρz – ρzh) > сz(2ρz – ρzh)). Это объясняется тем, что величина потенциальной энергии эллипсоидальной зерновки, запасаемая за счет начального геометрического вертикального положения (2mzgаz), больше, чем для горизонтального (2mzgcz). Поэтому при горизонтальном начальном положении эллипсоидальной зерновки потенциальная энергия mzgh, а значит и высота h, должна быть больше, чем при вертикальном.
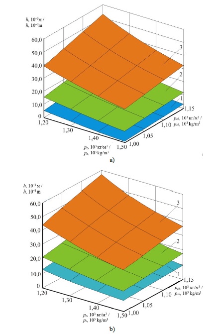
Количественный анализ (расчеты) по выражениям (18) и (22) для хлебных злаковых культур (рожь, пшеница, ячмень и овес) при учете их минимальных (2amin z(lmin z) = 5,0 ∙ 10–3 м, 2bmin z(bmin) = 1,4 ∙ 10–3 м, 2cmin z(δmin) = 1,2 ∙ 10–3 м), средних (2aср z(lср z) = 7,5 ∙ 10–3 м, 2bср z(bср) = 2,5 ∙ 10–3 м, 2cср z(δср) = 2,35 ∙ 10–3 м) и максимальных (2amax z(lmax z) = 10,0 ∙ 10–3 м, 2bmax z(bmax) = 3,6 ∙ 10–3 м, 2cmax z(δmax) = 3,5 ∙ 10–3 м) линейных размеров представлен на рисунке 7 в виде зависимостей минимальной высоты расположения выходного отверстия загрузочного бункера h относительно поверхности жидкости от ее плотности ρzh и плотности зерновки ρz.
Из рисунка 7 следует, что при падении эллипсоидальной зерновки, имеющей минимальные либо максимальные или средние линейные размеры, в жидкость вдоль главной большой оси 2az либо вдоль главной малой оси 2сz (плашмя) с увеличением ее плотности ρz значения минимальной высоты расположения выходного отверстия загрузочного бункера h относительно поверхности жидкости уменьшаются, а с повышением плотности жидкости ρzh наоборот возрастают. Поведение поверхностей на рисунке 7 полностью соответствует результатам приведенного выше качественного анализа формул (18) и (22).
бункера h относительно поверхности жидкости от ее плотности ρzh и плотности зерновки ρz:
a) при падении эллипсоидальной зерновки в жидкость вдоль главной большой оси 2az;
b) при падении эллипсоидальной зерновки в жидкость вдоль главной малой оси 2сz (плашмя);
1 – при максимальных линейных размерах зерновки; 2 – при средних линейных размерах зерновки;
3 – при минимальных линейных размерах зерновки
Fig. 7. Dependences of the minimum height of the outlet opening h of the loading hopper relative to the
surface of the liquid on its density ρzh and density of the grain ρz: a) when the ellipsoidal grain is dropped
into the liquid in the direction of the main major axis 2az; b) when the ellipsoidal grains fall into the
liquid in the direction of the main minor axis 2cz (flat); 1 – with the maximum linear dimensions of the
seed; 2 – with average linear sizes of the kernel; 3 – with minimum linear dimensions of the seed
Наименьшие значения минимальной высоты расположения выходного отверстия загрузочного бункера h, необходимые для преодоления поверхностного натяжения жидкости зерновкой, определяются при максимальном значении ее плотности ρz = 1,5 ∙ 103 кг/м3 и погружении в воду (Н2О) плотностью ρzh = 1,0 ∙ 103 кг/м3. Так, при падении зерновки в воду (Н2О) вдоль главной большой оси 2аz значение высоты h для минимальных линейных размеров составляет 25,2 ∙ 10–3 м, для средних линейных размеров – 4,9 ∙ 10–3 м, а для максимальных линейных размеров – 0,3 ∙ 10–3 м. При падении зерновки в воду (Н2О) вдоль главной малой оси 2сz (плашмя) данные значения возрастают и для минимальных линейных размеров h = 29,3 ∙ 10–3 м, для средних линейных размеров h = 13,6 ∙ 10–3 м, а для максимальных линейных размеров h = 7,3 ∙ 10–3 м.
При максимальном значении плотности зерновки ρz =1,5 ∙ 103 кг/м3 и погружении вдоль главной большой оси 2аz в водный раствор хлористого натрия (NaCl) плотностью ρzh = 1,15 ∙ 103 кг/м3, соответствующей максимальному значению плотности склероций спорыньи ρс, значение высоты h для минимальных линейных размеров составляет 32,5 ∙ 10–3 м, средних линейных размеров – 11,9 ∙ 10–3 м, а для максимальных линейных размеров – 2,8 ∙ 10–3 м. При падении зерновки вдоль главной малой оси 2сz (плашмя) в данную жидкость ее значения высоты h возрастают и для минимальных линейных размеров h = 36,6 ∙ 10–3 м, средних линейных размеров h = 17,5 ∙ 10–3 м, максимальных линейных размеров h = 9,9 ∙ 10–3 м.
Наибольшие значения минимальной высоты расположения выходного отверстия загрузочного бункера h для гарантированного преодоления поверхностного натяжения жидкости зерновкой определяются при минимальном значении ее плотности ρz = 1,2 ∙ 103 кг/м3 и вхождении в водный раствор хлористого натрия (NaCl) плотностью ρzh = 1,15 ∙ 103 кг/м3, совпадающей с максимальным значением плотности спорыньи ρс. Так, при вхождении зерновки в водный раствор хлористого натрия (NaCl) вдоль главной большой оси 2аz значение высоты h для минимальных линейных размеров составляет 52,8 ∙ 10‒3 м, средних линейных размеров – 22,4 ∙ 10–3 м, а для максимальных линейных размеров – 9,8 ∙ 10–3 м. При падении зерновки в водный раствор хлористого натрия (NaCl) вдоль главной малой оси 2сz (плашмя) данные значения возрастают и для минимальных линейных размеров h = 57,1 ∙ 10–3 м, средних линейных размеров h = 28,2 ∙ 10–3 м, максимальных линейных размеров h = 17,1 ∙ 10–3 м.
Таким образом, минимальная величина высоты нахождения выходного отверстия загрузочного бункера h при гарантированном преодолении поверхностного натяжения жидкости зерновкой при ее наименьшей плотности ρz = 1,2 ∙ 103 кг/м3 в зависимости от линейных размеров при вхождении в водный раствор хлористого натрия (NaCl) плотностью ρzh = 1,15 ∙ 103 кг/м3, совпадающей с максимальным значением плотности спорыньи ρс, вдоль главной большой оси 2аz варьируется в пределах (9,8…52,8) ∙ 10–3 м, а вдоль главной малой оси 2сz (плашмя) – в пределах (17,1…57,1) ∙ 10–3. При погружении в такой же водный раствор хлористого натрия (NaCl) зерновки, имеющей наибольшую плотность ρz = 1,5 ∙ 103 кг/м3 вдоль главной большой оси 2аz минимальная высота h расположения загрузочного бункера варьируется в пределах (2,8…32,5) ∙ 10–3 м, а при погружении вдоль главной малой оси 2сz (плашмя) – в пределах (9,9…36,6) ∙ 10–3 м.
Обсуждение и заключение
Минимальная высота расположения выходного отверстия загрузочного бункера h относительно поверхности жидкости зависит от ориентации зерновок в момент вхождения в нее, их линейных размеров и плотности ρz, а также плотности водного раствора соли ρzh и его коэффициента поверхностного натяжения σ. Минимальная величина высоты нахождения выходного отверстия загрузочного бункера h, при которой гарантированно происходит преодоление эллипсоидальной зерновкой поверхностного натяжения жидкости плотностью ρzh = 1,15 ∙ 103 кг/м3, совпадающей с максимальным значением плотности спорыньи, составляет 57,1 ∙ 10–3 м и определена для минимальных значений линейных размеров и плотности зерновок ржи. Эта высота h, рекомендованная теорией, при поточном поступлении зернового материала в машину выделения вредных примесей мокрым способом будет одной и той же для всех зерен со всевозможными линейными размерами и плотностями.
Такая величина высоты h для большинства зерновок является завышенной. Кинетическая энергия таких зерновок у поверхности жидкости позволит им не только преодолеть поверхностное натяжение жидкости, но и углубиться в нее, образовав каверну с возможным захватом пузырька воздуха.
Полученные в работе результаты совместно с исследованиями, приведенными в статье В. А. Сысуева и соавторов, позволяют рассчитать место расположения устройства разрушения слипшихся в водном растворе соли зерен со склероциями спорыньи из-за поступления зернового материала потоком и отделения от зерен возможно захваченных пузырьков воздуха [21].
Представленные формулы (18) и (22) позволяют выявить области параметров конструкции машины, в которых можно поставить практические эксперименты с минимальными материальными и временными затратами.
1 Конышев Н. Л. Разработка и совершенствование технологических линий и технических средств послеуборочной обработки зерна и семян трав. Киров: ФГБНУ «ФАНЦ Северо-Востока», 2018. 348 с.; Энергия ржи для здоровья человека / В. А. Сысуев [и др.]. Киров: НИИСХ Северо-Востока, 2010. 103 с.
2 Саитов В. Е. Инновации в послеуборочной обработке зернового материала: монография. Saarbrucken: LAP LAMBERT Academic Publishing, 2012. 152 с.
3 Технический регламент Таможенного союза ТР ТС 015/2011 «О безопасности зерна». Утв. решением Таможенного союза 09.12.2011 г. № 874. 38 с.
4 ГОСТ Р 52325-2005. Семена сельскохозяйственных растений. Сортовые и посевные качества. Общие технические условия.
5 Саитов А. В. Особенности функционирования фотосепараторов для очистки зерна и семян от примесей // Методы и технологии в селекции растений и растениеводстве: монография / Под общ. ред. В. А. Сысуева, Г. А. Баталовой, Е. М. Лисицына. Киров: НИИСХ Северо-Востока, 2016. С. 352–355.
6 Павловский Г. Т., Птицын С. Д. Очистка, сушка и активное вентилирование зерна. 2-е изд., исправ. и доп. М.: Высшая школа, 1972. 256 с.
7 Майер В. В. Кумулятивный эффект в простых опытах. М.: Наука. Гл. ред. физ.-мат. лит., 1989. 192 с.
8 Архипов В. А., Трофимов В. Ф. Образование вторичных капель при ударном взаимодействии капли с поверхностью жидкости // Прикладная механика и техническая физика. 2005. Т. 46, № 1. С. 55–62.
9 Григолюк Э. И., Горшков А. Г. Взаимодействие упругих конструкций с жидкостью (удар и погружение). Л.: Судостроение, 1978. 200 с.; Shibue T., Ito A., Nakayama E. Structural Response Analysis of Cylinders under Water Impact // Hydroelasticity in Marine Technology. 1994. Pp. 221–228.
10 Саитов В. Е., Фарафонов В. Г., Саитов А. В. Оценка высоты расположения выхода бункера с питателем относительно уровня раствора соли в ванне машины для очистки зернового материала по удельному весу // Актуальные вопросы совершенствования технологии производства и переработки продукции сельского хозяйства. Мосоловские чтения: материалы Международ. науч.-практ. конф. Йошкар-Ола: ФГБОУ ВО «Мар. гос. ун-т», 2016. Вып. XVIII. С. 241–244.
11 Павловский Г. Т., Птицын С. Д. Очистка, сушка и активное вентилирование зерна; ГОСТ 8.428-81 (СТ СЭВ 630-84). Аэрометры. Значения коэффициентов поверхностного натяжения жидкостей; Саитов В. Е. Инновации в послеуборочной обработке…
12 Свидетельство о государственной регистрации программы для ЭВМ № 2019666718. Вычисление минимальной высоты падения зерновок для преодоления поверхностного натяжения жидкости / Саитов В. Е., Фарафонов В. Г., Фарафонова А. Е. [и др.]; заявитель и правообладатель ФГБНУ «Федеральный аграрный научный центр Северо-Востока имени Н. В. Рудницкого». № 2019663539; заявл. 29.10.2019; зарегистрировано в Реестре программ для ЭВМ 13.12.2019.
13 Леонов В. Большая энциклопедия компьютера. М.: Эксмо, 2015. 400 с.; Лебедев А. Н. Понятный самоучитель Excel 2013. СПб.: Питер, 2014. 128 с.; Sigma Plot – Scientific Data Analysis and Graphing Software [Электронный ресурс]. URL: http://www.sigmaplot.co.uk/products/sigmaplot/ (дата обращения: 27.07.2020).
14 Лаврентьев М. А., Шабат Б. В. Проблемы гидродинамики и их математические модели. М.: Наука, 1973. 416 с.
15 Малис А. Я., Демидов А. Р. Машины для очистки зерна воздушным потоком. М.: Машгиз, 1962. 176 с.
16 Саитов В. Е. Инновации в послеуборочной обработке...
17 Ландау Л. Д., Лифшиц Е. М. Теоретическая физика: Гидродинамика. 5-е изд., стереот. М.: Физматлит, 2001. Т. 4. 736 с.
18 Андреев Н. Н., Ржевкин С. Н., Горелик Г. С. Курс физики. Под ред. Н. Д. Папалекси. М.: Гостехиздат, 1948. 600 с.
19 Площадь эллипсоида [Электронный ресурс]. URL: http://geleot.ru/education/math/geometry/area/llipsoid (дата обращения: 27.07.2020).
20 Янке Е., Эмде Ф., Леш Ф. Специальные функции. Формулы, графики, таблицы. Перевод с 6-го перераб. немецкого издания / Под ред. Л. И. Седова. М.: Наука, 1964. 344 с.
21 Там же.
22 Ландау Л. Д., Лифшиц Е. М. Теоретическая физика…; Андреев Н. Н., Ржевкин С. Н., Горелик Г. С. Курс физики.
23 Бронштейн И. Н., Семендяев К. А. Справочник по математике для инженеров и учащихся вузов. М.: Наука, 1980. 976 с.
24 Кутателадзе С. С. Теплопередача и гидродинамическое сопротивление: справочное пособие. М.: Энергоатомиздат, 1990. 365 с.
About the authors
Viktor Е. Saitov
Federal Agricultural Research Center of the North-East named N. V. Rudnitsky;Vyatka State Agricultural Academy
Author for correspondence.
Email: vicsait-valita@e-kirov.ru
ORCID iD: 0000-0002-5548-8483
ResearcherId: B-6098-2019
Senior Researcher of Laboratory for Field Agriculture; Professor of Machine Park Operation and Repair Chair; D.Sc. (Engineering)
Vyacheslav G. Farafonov
Federal Agricultural Research Center of the North-East named N. V. Rudnitsky
Email: farwg@mail.ru
ORCID iD: 0000-0001-5020-3648
ResearcherId: B-7341-2019
Head of Chair of Mathematics and Physics, Ph.D. (Physics and Mathematics), Associate
Professor
Aleksey V. Saitov
Vyatka State Agricultural Academy
Email: alexeysaitov@yandex.ru
ORCID iD: 0000-0003-0266-4727
ResearcherId: B-7315-2019
Postgraduate Student of Engineering Faculty
Russian Federation, 133 Oktyabrskiy Prospekt, Kirov 610017References
- Aldoshin N., Didmanidze O. Harvesting Lupinus Albus Axial Rotary Combine Harvesters. Research in Agricultural Engineering. 2018; 64(4):209-214. (In Eng.) DOI: https://doi.org/10.17221/107/2017-RAE
- Aldoshin N., Didmanidze O., Lylin N., et al. Work Improvement of Air-and-Screen Cleaner of Combine Harvester. Engineering for Rural Development: Proceedings of 18th International Scientific Conference.2019: 18:100-104. (In Eng.) DOI: https://doi.org/10.22616/ERDev2019.18.N110
- Ponomareva M.L., Ponomarev S.N., Mannapova G.S., et al. Increasing Spread of Claviceps Purpurea (Fr). Tul. and It’s Effect on the Quantity and Quality of Winter Rye. Research Journal of Pharmaceutical,Biological and Chemical Sciences. 2016; 7(3):1865-1871. Available at: https://www.rjpbcs.com/pdf/2016_7(3)/[227].pdf (accessed 27.07.2020). (In Eng.)
- Sheshegova T.K., Shchekleina L.M. Some Ways and Means of Ergot Protection of Winter Rye.Dostizheniya nauki i tekhniki APK = Achievements of Science and Technology of AIC. 2014; (3):47-50.Available at: http://agroapk.ru/28-archive/03-2014/187-2014-03-15-ru (accessed 27.07.2020). (In Russ.)
- Khaziev A.Z., Ponomareva M.L. Damage from Ergot on Winter Rye and Measures for Preventing.Vestnik Kazanskogo gosudarstvennogo agrarnogo universiteta = Kazan State Agrarian University Bulletin. 2007; 2(2):80-82. Available at: https://repository.kpfu.ru/?p_id=124462 (accessed 27.07.2020). (In Russ.)
- Shchekleina L.M. Influence of Weather Factors on Separate Periods of Fungus Claviceps Purpurea (Fr.) Tul Development and Level of Ergot Harmfulness in Kirov Region. Agrarnaya nauka Yevro-Severo-Vostoka = Agrarian Science of Euro-North-East. 2019; (20):134-143. (In Russ.) DOI: https://doi.org/10.30766/2072-9081.2019.20.2.134-143
- Shchekleina L.M., Sheshegova T.K. The Problem of Ergot Grains (Claviceps purpurea (Fr.) Tul.):Past and Present (Review). Teoreticheskaya i prikladnaya ekologiya = Theoretical and Applied Ecology.2013; (1):5-12. (In Russ.) DOI: https://doi.org/10.25750/1995-4301-2013-1-005-012
- Sheshegova T.K., Shchekleina L.M. The Dependence of the Harmfulness of Ergot on the Biometric Indicators of Sclerotia. Zashchita i karantin rasteniy = Plant Protection and Quarantine. 2017;(11):9-12 (In Russ.)
- Astanakulov K.D., Karimov Y.Z., Fozilov G. Design of a Grain Cleaning Machine for Small Farms.AMA, Agricultural Mechanization in Asia, Africa and Latin America. 2011; 42(4):37–40. (In Eng.)
- Savinyh P., Sychugov Y., Kazakov V., et al. Development and Theoretical Studies of Grain Cleaning Machine for Fractional Technology of Flattening Forage Grain. In: Proceedings of 17th International Scientific Conference Engineering for Rural Development. 2018. Pp. 124-130. (In Eng.) DOI: https://doi.org/10.22616/ERDev2018.17.N156
- Saitov V.E., Kurbanov R.F., Suvorov A.N. Assessing the Adequacy of Mathematical Models of Light Impurity Fractionation in Sedimentary Chambers of Grain Cleaning Machines. Procedia Engineering.2016; 150:107-110. (In Eng.) DOI: https://doi.org/10.1016/j.proeng.2016.06.728
- Gievsky A.M., Orobinsky V.I., Tarasenko A.P., et al. Substantiation of Basic Scheme of Grain Cleaning Machine for Preparation of Agricultural Crops Seeds. IOP Conference Series: Materials Science and Engineering. 2018; 327:042035. (In Eng.) DOI: https://doi.org/10.1088/1757-899X/327/4/042035
- Drincha V.M., Borisenko I.B. Application and Functionality of Pneumatic Sorting Tables. Nauchno-agronomicheskiy zhurnal = Scientific and Agronomical Journal. 2008; (2):33-36. (In Russ.)
- Shaforostov V.D. Priporov I.E. Quality Indicators of Work of the Photoseparator on FractionalTechnologies at Division of Sunflower Seed. Mezhdunarodnyy nauchno-issledovatelskiy zhurnal = InternationalResearch Journal. 2015; (1):23-25. Available at: https://research-journal.org/technical/kachestvennye-pokazateli-raboty-fotoseparatora-po-frakcionnoj-texnologii-pri-razdelenii-semyan-podsolnechnika/(accessed 27.07.2020). (In Russ.)
- Machine to Separate Ergot from Rye Seeds: Patent 2667066 Russian Federation. No. 2017115170/03;appl. 27.04.2017; publ. 18.09.2018. Bulletin No. 26. 10 p. Available at: https://yandex.ru/patents/doc/RU2667066C1_20180918 (accessed 27.07.2020). (In Russ.)
- Machine to Separate Ergot from Rye Seeds: Patent 2689470 Russian Federation. No. 2018136461/03;appl. 15.10.2018; publ. 28.05.2019. Available at: https://findpatent.ru/patent/268/2689470.html (accessed 27.07.2020). (In Russ.)
- Komarov A.A., Kazennov V.V. Body Drop into a Fluid Tank and Dynamic Loads Calculation.Vestnik MGSU. 2014; (5):135-143. (In Russ.) DOI: https://doi.org/10.22227/1997-0935.2014.5.135-143
- Scolan Y., Korobkin A. Energy Distribution from Vertical Impact of a Three-Dimensional Solid Body onto the Flat Free Surface of an Ideal Fluid. Journal of Fluids and Structures. 2003; 17(2):275-286.(In Eng.) DOI: https://doi.org/10.1016/S0889-9746(02)00118-4
- Scolan Y., Korobkin A. Mixed Boundary Value Problem in Potential Theory Application to the ydrodynamic Impact (Wagner) Problem. Comptes Rendus Mecanique. 2012; 340(10):702-705. (In Eng.)DOI: https://doi.org/10.1016/j.crme.2012.09.006
- Sysuev V.A., Saitov V.E., Farafonov V.G., et al. Theoretical Background of Calculation of the Parameters of the Device for Grain Cleaning from Ergot Sclerotia. Russian Agricultural Sciences. 2017;43(3):273-276. (In Eng.) DOI: https://doi.org/10.3103/S1068367417030156
- Sysuev V.A., Saitov V.E., Farafonov V.G., et al. Investigation of Grain Movement Parameters in the Liquid of the Device for Removing Ergot. Inzhenernyye tekhnologii i sistemy = Engineering Technologies and Systems. 2019; 29(2):248-264. (In Russ.) DOI: https://doi.org/10.15507/2658-4123.029.201902.248-264
Supplementary files

























