ФУНКЦИОНАЛЬНАЯ ДИВЕРСИФИКАЦИЯ КАРОТИНОИД-ЦИС-ТРАНС-ИЗОМЕРАЗ CrtISO, CrtISO-L1 И CrtISO-L2 У ВИДОВ ТОМАТА (SOLANUM, СЕКЦИЯ LYCOPERSICON)
- Авторы: Ефремов Г.И.1, Щенникова А.В.1, Кочиева Е.З.1
-
Учреждения:
- Федеральное государственное учреждение “Федеральный исследовательский центр “Фундаментальные основы биотехнологии” Российской академии наук”
- Выпуск: Том 508, № 1 (2023)
- Страницы: 9-13
- Раздел: Статьи
- URL: https://journal-vniispk.ru/2686-7389/article/view/135661
- DOI: https://doi.org/10.31857/S2686738922600686
- EDN: https://elibrary.ru/MOKOFP
- ID: 135661
Цитировать
Полный текст
Аннотация
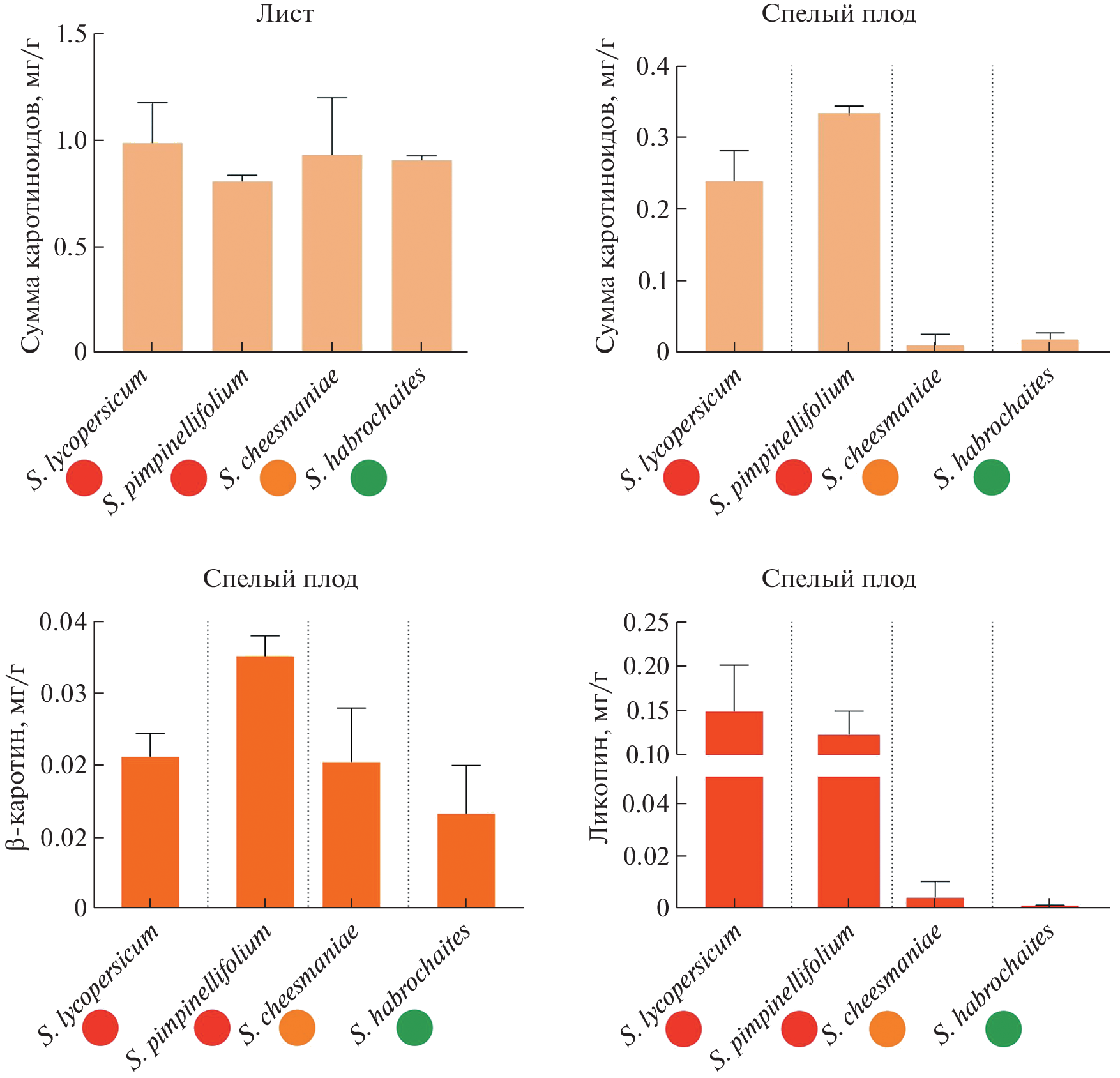
Исследована экспрессия генов каротиноид-цис-транс-изомераз CrtISO, CrtISO-L1 и CrtISO-L2 в сравнении с содержанием каротиноидов у видов томата с разной окраской спелого плода: зеленая (Solanum habrochaites), желтая (S. cheesmaniae) и красная (S. pimpinellifolium и S. lycopersicum). Показано более древнее происхождение CrtISO-L2 по отношению к CrtISO и CrtISO-L1. Выявлено сходное содержание суммарных каротиноидов (листья) и β-каротина (спелые плоды) между образцами. В отличие от плодов S. habrochaites и S. cheesmaniae, красные плоды накапливали ликопин и в 20–30 раз больше суммарных каротиноидов. Самый высокий уровень транскриптов и в листьях, и в спелых плодах – у CrtISO. Гены CrtISO-L1 и CrtISO-L2 транскрибировались высоко в листьях и низко в плодах, за исключением высокой экспрессии CrtISO-L2 в плодах S. lycopersicum. Зависимость содержания каротиноидов от уровня экспрессии генов в плоде отсутствовала. В листьях показана положительная корреляция суммы каротиноидов с уровнем транскриптов CrtISO-L1 и CrtISO-L2.
Ключевые слова
Об авторах
Г. И. Ефремов
Федеральное государственное учреждение “Федеральный исследовательский центр “Фундаментальные основы биотехнологии”Российской академии наук”
Автор, ответственный за переписку.
Email: gleb_efremov@mail.ru
Россия, Москва
А. В. Щенникова
Федеральное государственное учреждение “Федеральный исследовательский центр “Фундаментальные основы биотехнологии”Российской академии наук”
Email: gleb_efremov@mail.ru
Россия, Москва
Е. З. Кочиева
Федеральное государственное учреждение “Федеральный исследовательский центр “Фундаментальные основы биотехнологии”Российской академии наук”
Email: gleb_efremov@mail.ru
Россия, Москва
Список литературы
- Sandmann G. // New Phytol. 2021. V. 232. P. 479–493.
- Wei J., Xu M., Zhang D., et al. // Acta Biochim. Biophys. Sin. (Shanghai). 2010. V. 42. P. 457.
- Duduit J.R., Kosentka P.Z., Miller M.A., et al. // Hortic. Res. 2022. V. 9. Article uhac084.
- Valenta K., Kalbitzer U., Razafimandimby D., et al. // Sci. Rep. 2018. V. 8. P. 14302.
- Fantini E., Falcone G., Frusciante S., et al. // Plant Physiol. 2013. V. 163. P. 986.
- Efremov G.I., Dzhos E.A., Ashikhmin A.A., et al. // Russ. J. Plant. Physiol. 2022. V. 69. P. 352–362.
- Isaacson T., Ronen G., Zamir D., et al. // Plant Cell. 2002. V. 14. P. 333.
- Peralta I.E., Spooner D.M., Knapp S. // Systematic Botany Monographs. 2008. V. 84. P. 1–186.
- Sato S., Tabata S., Hirakawa H., et al. // Nature. 2012. V. 485. P. 635–641.
- Osorio C.E. // Front. Plant Sci. 2019. V. 10. Article 1235.
- D'Andrea L., Rodriguez-Concepcion M. // Front. Plant Sci. 2019. V. 10. Article 1071.
- Kilambi H.V., Manda K., Rai A., et al. // J. Exp. Bot. 2017. V. 68. P. 4803-4819.
- Pinheiro T.T., Peres L.E.P., Purgatto E., et al. // Plant Cell Rep. 2019. V. 38. P. 623.
- Park H., Kreunen S.S., Cuttriss A.J., et al. // Plant Cell. 2002. V. 14. P. 321–332.
Дополнительные файлы






