INFLUENCE OF TYROSYL-DNA PHOSPHODIESTERASE 1 INHIBITOR ON THE PROAPOPTOTIC AND GENOTOXIC EFFECTS OF ANTICANCER AGENT TOPOTECAN
- Autores: Chepanova A.A.1, Zakharenko A.L.1, Dyrkheeva N.S.1, Chernyshova I.A.1, Zakharova O.D.1, Ilina E.S.1, Luzina O.A.2, Salakhutdinov N.F.2, Lavrik O.I.1
-
Afiliações:
- Institute of Chemical Biology and Fundamental Medicine, Siberian Branch of the Russian Academy of Sciences
- N.N. Vorozhtsov Novosibirsk Institute of Organic Chemistry, Siberian Branch of the Russian Academy of Sciences
- Edição: Volume 510, Nº 1 (2023)
- Páginas: 252-258
- Seção: Articles
- URL: https://journal-vniispk.ru/2686-7389/article/view/135692
- DOI: https://doi.org/10.31857/S2686738922601011
- EDN: https://elibrary.ru/QFLIZI
- ID: 135692
Citar
Texto integral
Resumo
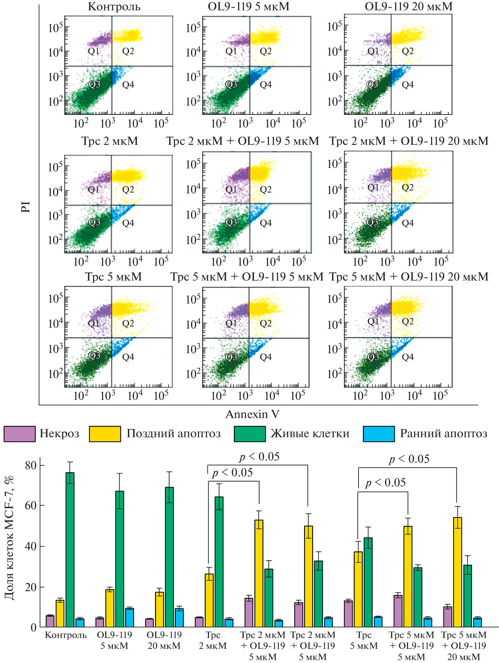
To date, various strategies have been proposed to increase the effIciency of cancer therapy. It is known that the action of DNA repair system can determine the resistance of cancer cells to DNA-damaging chemotherapy and radiotherapy, and one of these ways to increase therapeutic efficiency is the search for inhibitors of enzymes of the DNA repair system. Inhibition of the DNA repair enzyme tyrosyl-DNA phosphodiesterase1 (Tdp1) leads to an increase in the effectiveness of the topoisomerase 1 (Top1) inhibitor, the anticancer drug topotecan. Covalent complexes Top1-DNA, which are normally short-lived and are not a threat to the cell, are stabilized under the influence of topotecan and lead to cell death. Tdp1 eliminates such stabilized complexes and thus weaken the effect of topotecan therapy. We have previously shown that the use of the usnic acid hydrazonothiazole derivative OL9-119 in combination with topotecan increased the antitumor and antimetastatic efficacy of the latter in a mouse model of Lewis lung carcinoma. In this work, it was shown that the combined use of topotecan and Tdp1 inhibitor, the hydrazonothiazole derivative of usnic acid OL9-119, leads to an increase in the DNA-damaging effect of topotecan which is used in the clinic for the treatment of cancer. The study of the proapoptotic effect of the compound OL9-119 showed that the compound itself does not induce apoptosis, but increases the proapoptotic effect of topotecan. The results of the study could be used to improve the effectiveness of anticancer therapy and/or to reduce the therapeutic dose of topotecan and, therefore, the severity of side effects.
Palavras-chave
Sobre autores
A. Chepanova
Institute of Chemical Biology and Fundamental Medicine, Siberian Branch of the Russian Academy of Sciences
Email: lavrik@niboch.nsc.ru
Russian Federation, Novosibirsk
A. Zakharenko
Institute of Chemical Biology and Fundamental Medicine, Siberian Branch of the Russian Academy of Sciences
Email: lavrik@niboch.nsc.ru
Russian Federation, Novosibirsk
N. Dyrkheeva
Institute of Chemical Biology and Fundamental Medicine, Siberian Branch of the Russian Academy of Sciences
Autor responsável pela correspondência
Email: dyrkheeva.n.s@gmail.com
Russian Federation, Novosibirsk
I. Chernyshova
Institute of Chemical Biology and Fundamental Medicine, Siberian Branch of the Russian Academy of Sciences
Email: lavrik@niboch.nsc.ru
Russian Federation, Novosibirsk
O. Zakharova
Institute of Chemical Biology and Fundamental Medicine, Siberian Branch of the Russian Academy of Sciences
Email: lavrik@niboch.nsc.ru
Russian Federation, Novosibirsk
E. Ilina
Institute of Chemical Biology and Fundamental Medicine, Siberian Branch of the Russian Academy of Sciences
Email: lavrik@niboch.nsc.ru
Russian Federation, Novosibirsk
O. Luzina
N.N. Vorozhtsov Novosibirsk Institute of Organic Chemistry, Siberian Branch of the Russian Academy of Sciences
Email: lavrik@niboch.nsc.ru
Russian Federation, Novosibirsk
N. Salakhutdinov
N.N. Vorozhtsov Novosibirsk Institute of Organic Chemistry, Siberian Branch of the Russian Academy of Sciences
Email: lavrik@niboch.nsc.ru
Russian Federation, Novosibirsk
O. Lavrik
Institute of Chemical Biology and Fundamental Medicine, Siberian Branch of the Russian Academy of Sciences
Autor responsável pela correspondência
Email: lavrik@niboch.nsc.ru
Russian Federation, Novosibirsk
Bibliografia
- Comeaux E.Q., van Waardenburg R.C. Tyrosyl-DNA phosphodiesterase I resolves both naturally and chemically induced DNA adducts and its potential as a therapeutic target. // Drug Metab. Rev. 2014. V. 46. № 4. P. 494–507.
- Yang S.W., Burgin A.B., Jr, Huizenga, B.N., et al. A eukaryotic enzyme that can disjoin dead-end covalent complexes between DNA and type I topoisomerases. // Proc. Natl. Acad. Sci. 1996. V. 93. № 21. P. 11534–11539.
- Staker B.L., Hjerrild K., Feese M.D., et al. The mechanism of topoisomerase I poisoning by a camptothecin analog // Proc. Natl. Acad. Sci. U. S. A. 2002. V. 99. № 24. P. 15387–15392.
- Pommier Y., Huang S.Y., Gao R., et al. Tyrosyl-DNA-phosphodiesterases (TDP1 and TDP2) // DNA Repair (Amst). Elsevier B.V. 2014. V. 19. P. 114–129.
- El-Khamisy S.F., Katyal S., Patel P., et al. Synergistic decrease of DNA single-strand break repair rates in mouse neural cells lacking both Tdp1 and aprataxin // DNA Repair (Amst). Elsevier. 2009. V. 8. № 6. P. 760–766.
- Das B.B., Antony S., Gupta S., et al. Optimal function of the DNA repair enzyme TDP1 requires its phosphorylation by ATM and/or DNA-PK // The EMBO Journal. European Molecular Biology Organization. 2009. V. 28. № 23. P. 3667–3680.
- Hirano R., Interthal H., Huang C., et al. Spinocerebellar ataxia with axonal neuropathy: consequence of a Tdp1 recessive neomorphic mutation? // The EMBO Journal. John Wiley Sons, Ltd. 2007. V. 26. № 22. P. 4732–4743.
- Katyal S., El-Khamisy S.F., Russell H.R., et al. TDP1 facilitates chromosomal single-strand break repair in neurons and is neuroprotective in vivo // The EMBO Journal. EMBO J. 2007. V. 26. № 22. P. 4720–4731.
- Barthelmes H.U., Habermeyer M., Christensen M.O., et al. TDP1 overexpression in human cells counteracts DNA damage mediated by topoisomerases I and II // J. Biol. Chem. J. Biol. Chem. 2004. V. 279. № 53. P. 55618–55625.
- Meisenberg C., Gilbert D.C., Chalmers A., et al. Clinical and cellular roles for TDP1 and TOP1 in modulating colorectal cancer response to irinotecan // Mol. Cancer Ther. 2015. V. 14. № 2. P. 575–585.
- Brettrager E.J., van Waardenburg R.C. Targeting Tyrosyl-DNA phosphodiesterase I to enhance toxicity of phosphodiester linked DNA-adducts // Cancer drug Resist. Alhambra, Calif. 2019. V. 2. № 4. P. 1153–1163.
- Thomas A., Pommier Y. Targeting Topoisomerase I in the Era of Precision Medicine // Clin. Cancer Res. 2019. V. 25. № 22. P. 6581–6589.
- Zakharenko A.L., Luzina O.A., Sokolov D.N., et al. Novel tyrosyl-DNA phosphodiesterase 1 inhibitors enhance the therapeutic impact of topotecan on in vivo tumor models // // Eur. J. Med. Chem. Elsevier Masson SAS. 2019. V. 161. P. 581–593.
- Дырхеева Н.С., Захаренко А.Л., Новоселова Е.С., и др. Противоопухолевая активность комбинации топотекана и ингибитора Тирозил-ДНК-Фосфодиэстеразы 1 на модели асцитной карциномы Кребс-2 мыши // Молекулярная биология. 2021. Т. 55. № 2. С. 273–277.
- Singh N.P., McCoy M.T., Tice R.R., et al. A simple technique for quantitation of low levels of DNA damage in individual cells // Exp. Cell Res. Exp. Cell Res. 1988. V. 175. № 1. P. 184–191.
- Elmore S. Apoptosis: A Review of Programmed Cell Death // Toxicologic Pathology. Toxicol. Pathol. 2007. V. 35. № 4. P. 495–516.
- Galluzzi L., Vitale I., Vacchelli E., et al. Cell death signaling and anticancer therapy // Frontiers in Oncology. Frontiers. 2011. V. 1. № 5. P. 1–18.
- Crowley L.C., Marfell B.J., Scott A.P., et al. Quantitation of Apoptosis and Necrosis by Annexin V Binding, Propidium Iodide Uptake, and Flow Cytometry // Cold Spring Harb. Protoc. 2016. 2016. V. 11.
Arquivos suplementares




