Relationship between phytoplankton, heterotrophic plankton, and planktivorous fish productions in different water bodies
- Authors: Boulion V.V.1
-
Affiliations:
- Zoological Institute RAS
- Issue: Vol 514, No 1 (2024)
- Pages: 5-10
- Section: Articles
- URL: https://journal-vniispk.ru/2686-7389/article/view/258260
- DOI: https://doi.org/10.31857/S2686738924010017
- EDN: https://elibrary.ru/LAWNLW
- ID: 258260
Cite item
Full Text
Abstract
On the example of 14 lake-type water bodies distributed over different latitudes of the northern hemisphere, it was shown that the efficiency of phytoplankton production transformation through heterotrophic bacterioplankton and non-predatory zooplankton to predatory zooplankton and planktivorous fish increases in the direction from eutrophic to oligotrophic water bodies. The highest ratios between autotrophic and heterotrophic organism production were found for lakes and reservoirs, where the contribution of allochthonous substances to the total energy flow is relatively high. Bacterioplankton utilizing allochthonous DOM is an additional source of energy for zooplankton, which, in turn, serves as a food object for planktivorous fish. Therefore, to predict the total biological productivity and production of the fish community, it is necessary to take into account the production of not only autotrophic plankton, but also that part of heterotrophic bacterioplankton that specializes in the utilization of DOM entering the water body from outside.
Full Text
Фитопланктон, гетеротрофный планктон (бактерии, нехищный и хищный зоопланктон) и планктоноядные рыбы – ключевой участок пищевой сети в водной экосистеме. Изменение трофического статуса водоема при воздействии внешних факторов влечет за собой перестройку не только биомассы и продукции гетеротрофных и автотрофных организмов, но и соотношений между ними [1–6]. Большинство гидробиологических исследований касаются взаимоотношений фитопланктона и гетеротрофного бактериопланктона, либо фитопланктона и зоопланктона, реже – зависимости продукции (улова) рыб от первичной продукции, но лишь спорадически исследуется вся линейка организменных отношений, от фитопланктона до рыб. По этой причине остается открытым вопрос, как изменяется эффективность трансформации продукции фитопланктона гетеротрофными организмами с изменением трофического статуса водоема и объективно ли отражает этот показатель внутрисистемные процессы?
Для прояснения этого вопроса в статье анализируются материал по продукции фитопланктона (Pphp), гетеротрофного бактериопланктона (Pbcp), нехищного и хищного зоопланктона (Phzo, Ppzo) и планктоноядных рыб (Pplf) для 14 водоемов озерного типа (табл. 1), распределенных по разным широтам северного полушария (от субарктики до экватора). Большая часть материала была взята из литературных источников [7–15]. Недостающие продукционные показатели были реконструированы с помощью масс-балансовой модели [8, 16], базирующейся на закономерных связях между биотическими и абиотическими элементами водной среды. Как показали выполненные нами ранее исследования [8], реконструированные значения продукций ключевых групп гидробионтов хорошо согласуются с эмпирическими данными. В частности, в данной статье реконструкции подверглись продукции бактериопланктона и зоопланктона в экваториальном озере Виктория и продукция зоопланктона и рыб в бессточном озере Иссык-Куль. Необходимые для реконструкции географические, гидрологические и физико-химические показатели указаны в таблице 1. Так как биотические и абиотические факторы через систему соподчиненных связей формируют поток энергии от фотосинтезирующих организмов и редуцентов к консументам разного порядка, такой системный подход в сочетании с балансовым принципом позволяет проследить последовательность трансформации энергии первичной продукции (от бактерий до рыб).
Таблица 1. Географическая широта (Lat, °с.ш.) расположения водоемов, среднегодовая температура воздуха (Tem, °С) и годовая сумма осадков (Pre, мм) на водосборной площади, удельный водосбор (SDA), время пребывания воды в водоеме (Tw, годы), средняя глубина (Dmean, м), средняя за сезон концентрация в воде общего фосфора (TP, мкг/л), цветность (Pt, градусы) и прозрачность (Sec, м) воды, содержание хлорофилла а в планктоне (Chl, мкг/л)
Водоем | Lat | Tem | Pre | Tw | SDA | Dmean | TP | Pt | Sec | Chl |
Богучанское вдхр. Зейское вдхр. Бурейское вдхр. Оз. Ханка Рыбинское вдхр. Онежское озеро Ладожское озеро Оз. Кривое1 Оз. Виктория Оз. Байкал Оз. Нарочь2 Оз. Иссык-Куль Оз. Красное3 Оз. Зеленецкое4 | 58.4 54.5 50.3 45 58 61.5 60.6 66.5 0 53.2 55 42.4 61 69.2 | −3.5 −3.1 −3.5 2 4 3 3.7 0.5 24 −2 6.4 8.5 3.6 −4 | 425 525 690 565 625 630 610 523 1300 562 515 250 615 250 | 0.55 4 0.38 10 0.61 15.6 11.7 9.1 20 377 11 300 1.1 10 | 357 35 94 6.1 33 5.8 14.5 4.2 2.5 18 3.5 2.5 18.4 5.0 | 25 38 14,5 4,5 5,6 30 47 12 40 730 9 278 6.6 8,5 | 25 15 10 25 40 10 20 5.3 45 10 15 3.5 35 3 | 30 75 75 40 50 20 23 25 20 5 15 7 65 40 | 2 1.9 2.1 0.3 1.5 3.4 2.4 3.7 1.8 4.9 3.8 6.5 1.3 3.9 | 5.9 2.5 2.0 6.2 10 1.5 4.6 0.90 14 2.0 1.5 0.48 14 0.42 |
Примечание: 1 Северная Карелия, 2 Беларусь, 3 Карельский перешеек, 4 Кольский п-ов.
Диапазон средних за вегетационный сезон биомасс и годовых величин продукции компонентов трофической сети водоемов приведены в табл. 2. В водах бореальной зоны значения продукций за вегетационный сезон приравнивались к годовым величинам. Обращает на себя внимание большой размах биомасс и продукций разных групп гидробионтов: соотношение максимальных и минимальных биомасс составляет от 10 до 40, продукций – от 30 до 120.
Таблица 2. Минимальные, средние, медианные и максимальные значения биомассы (ккал/м2) и продукции (ккал/м2 год) компонентов планктона и планктоноядных рыб в разнотипных водоемах озерного типа
Параметры | Min | Mean | Median | Max |
Средняя за сезон биомасса фитопланктона Продукция фитопланктона Средняя за сезон биомасса бактериопланктона Продукция бактериопланктона Средняя за сезон биомасса нехищного зоопланктона Продукция нехищного зоопланктона Средняя за сезон биомасса хищного зоопланктона Продукция хищного зоопланктона Средняя за сезон биомасса планктоноядных рыб Продукция планктоноядных рыб | 0.91 35 0.72 37 0.77 7.9 0.20 1.5 1.2 0.38 | 11 717 3.1 233 4.7 82 1.2 18 7,0 3.7 | 7.0 407 3.0 177 4,5 61 1.3 12 6.4 2.5 | 41 4430 7.5 1084 16 447 4.0 86 24 21 |
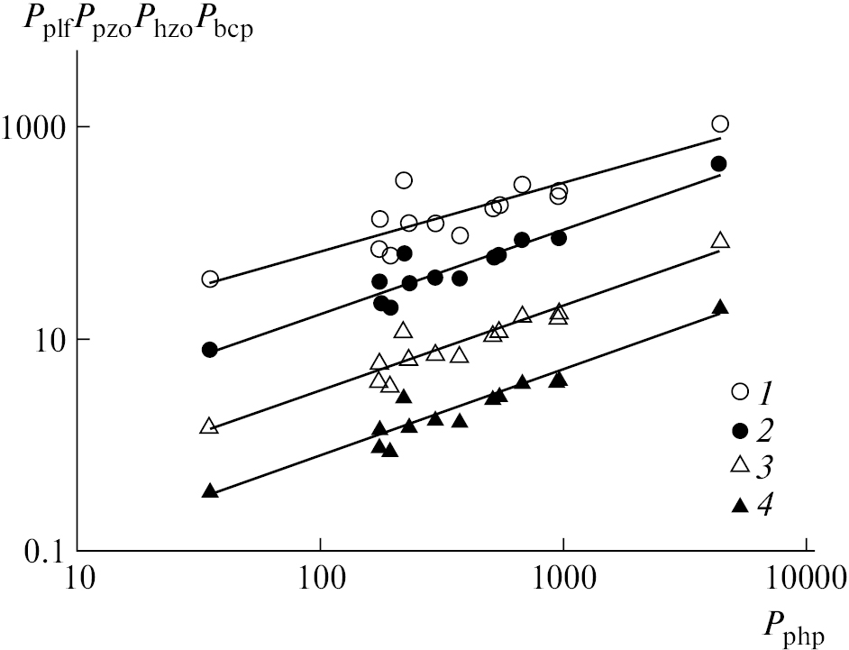
Рис. 1. Продукция бактериопланктона (1), нехищного (2) и хищного (3) зоопланктона, планктоноядных рыб (4) (Pbcp, Phzo, Ppzo, Pplf, ккал/м2 год) в зависимости от продукции фитопланктона (Pphp, ккал/м2 год) в озерах и водохранилищах разных регионов
Регрессионный анализ материалов выявил (рис. 1) следующую зависимость продукции гетеротрофного бактериопланктона от продукции фитопланктона:
log Pbcp = (0.517 ± 0.269) + (0.653 ± 0.103) log Pphp
или, после потенцирования:
Pbcp = 3.29 Pphp0.653 , R2 = 0.77 p < 0.0001. (1)
Анализ зависимости продукции нехищного зоопланктона от продукции фитопланктона показал:
log Phzo = −(0.368 ± 0.181) + (0.800 ± 0.069) log Pphp
или Phzo = 0.43 Pphp0.80, R2 = 0.92 p < 0.0001. (2)
Продукция хищного зоопланктона косвенным образом также зависит от продукции фитопланктона:
log Ppzo = −(1.102 ± 0.180) + (0.806 ± 0.069) log Pphp
или Ppzo = 0.079 Pphp0.81, R2 = 0.92 p < 0.0001. (3)
Продукция планктоноядных рыб через ряд промежуточных трофических звеньев связана с продукцией фитопланктона следующим образом:
log Pplf = −(1.707 ± 0.175) + (0.806 ± 0.067) log Pphp
Pplf = 0.020 Pphp0.80, R2 = 0.91 p < 0.0001. (4)
Рис. 2. Отношение Pbcp/Pphp (1), Phzo/Pphp (2), Ppzo/Pphp (3) и Pplf/Pphp (4) в зависимости от величины Pphp
Из регрессионных уравнений (1–4) были определены соотношения между продукционными показателями (рис. 2) и дана им статистическая оценка:
Pbcp/Pphp = 3.29 Pphp−0.347, R2 = 0.49 p = 0.003, (5)
Phzo/Pphp = 0.43 Pphp−0.20, R² = 0.41 p = 0.01, (6)
Ppzo/Pphp = 0,079 Pphp−0.19, R² = 0.40 p = 0.01, (7)
Pplf/Pphp = 0,020 Pphp−0.20, R² = 0.41 p = 0,005. (8)
Из уравнений (5–8) следует, что со снижением Pphp от 3000 до 30 ккал/м2 год отношение продукции бактерий к продукции фитопланктона (Pbcp/Pphp) увеличивается от 0.2 до 1, отношение Phzo/Pphp – от 0.09 до 0.22, отношение Ppzo/Pphp – от 0.017 до 0.041, отношение Pplf /Pphp от 0.004 до 0.01. Наибольшие соотношения выявлены для олиготрофных озер и Зейского и Бурейского водохранилищ, где вклад аллохтонных веществ в общий энергетический поток относительно высок.
Для 14 водных объектов были рассчитаны также среднеарифметические (со стандартными отклонениями) и медианные значения продукционных соотношений:
Pbcp/Pphp = 0.50 ± 0.35 при медиане 0.37, (9)
Phzo/Pphp = 0.14 ± 0.06 при медиане 0.12, (10)
Ppzo/Pphp = 0.027 ± 0.011 при медиане 0.023, (11)
Pplf/Pphp = 0.0066 ± 0.0027 при медиане 0.0057. (12)
Из (9–12) можно сделать следующие выводы, имеющие общеэкологический интерес. При комбинации (9) и (10) получаем, что отношение Pbcp /Phzo = = 0.50/0.14 = 3.57. Если допустить, что вся продукция бактериопланктона входит в рацион нехищного зоопланктона, и принять его эффективность роста (коэффициент К1) равным 0.16, получаем: 3.57 · 0.16 = = 0.57, т. е. ~57 % рациона нехищного зоопланктона обеспечивается продукцией бактериопланктона и ~43 % рациона – продукцией фитопланктона.
При комбинации (10) и (11) следует Ppzo/Phzo = 0.193. Разделив это число на эффективность роста хищного зоопланктона ~0.35, находим, что рацион хищника составляет ~55 % продукции нехищного зоопланк- тона. Проделав такую же процедуру с уравнениями (10) и (12), получаем Pplf/Phzo = 0.047. Приняв эффективность роста планктоноядных рыб ~0.1, приходим к вполне ожидаемому выводу, что продукция нехищного зоопланктона почти в равных пропорциях входит в рацион хищного зоопланктона и планктоноядных рыб.
По материалам Международной биологической программы [17] при существенном вкладе Советской секции мною были рассчитаны следующие уравнения регрессии:
Pbcp = 2.306 Pphp0.711, R2 = 0.840 n = 11, (13)
Phzo = 0.397 Pphp0.821, R2 = 0.902 n = 11, (14)
Ppzo = 0.088 Pphp0.740, R2 = 0.613 n = 11. (15)
Уравнения (13–15) качественно не отличаются от уравнений (1–3): нижние коэффициенты близки по величине, показатели степени при Pphp < 1. Это означает, что с ростом первичной продукции эффективность ее трансформации в гетеротрофную продукцию снижается. Речь, конечно, идет о видимой эффективности переноса энергии, т. к. мы в данном случае не учитываем участие аллохтонных веществ в общем энергетическом потоке.
Обращает на себя внимание факт сходства уравнения (4), связывающего продукцию планктоноядных рыб с продукцией фитопланктона, с уравнением, полученным для удобряемых рыбоводных прудов [18], в которых выращиваются нехищные виды и где улов рыб равен продукции рыб, т. к. практически вся продукция вылавливается:
Pplf = 0.019 Pphp0.93 ± 0.07, R 2 = 0,91 n = 19. (16)
Сходство обнаруживается только в нижних коэффициентах регрессий, но показатель степени в уравнении (16) в отличие от (4) приближается к 1. Это может быть объяснено тем, что продуктивность рыбоводных прудов характеризует их как эвтрофные и гиперэвтрофные системы при абсолютном доминировании автохтонного органического вещества.
М. Б. Иванова [1], анализируя литературные данные по годовым величинам Pphp, Phzo и Ppzo преимущественно для водоемов СССР (n = 70), приходит к выводу, что связь между этими показателями близка к линейной, т. к. показатель степени в уравнениях регрессий не отличается от 1. По ее расчетам, отношение Phzo/Pphp в среднем равно 0.102 при стандартной ошибке 0.016 и медиане 0.079, отношение Ppzo/Pphp = 0.0155 ± 0.0025 (при медиане 0.010). Из-за большого разброса эмпирических данных коэффициенты вариаций средних превышает 100 %. Несмотря на такую большую погрешность, средние значения Phzo/Pphp и Ppzo/Pphp несущественно отличаются от (10) и (11).
Лакруа с соавторами [5] проанализировали в общей сложности 56 водоемов разной глубины и разного трофического статуса, расположенных в северном полушарии (от 0° до 74°42′ с. ш.). Водоемы были поделены на две группы: мелкие (Dmean < 6 м, Dmax < 10 м) и глубокие. Было отмечено, что отношение годовой продукции общего зоопланктона (Pzpl) к годовой продукции фитопланктона в мелких водоемах увеличивается от 0.07 ± 0.031 до 0.29 ± 0.044 в направлении от эвтрофных озер к ультраолиготрофным, в глубоких озерах снижение было менее выражено из-за отсутствия в этой группе эвтрофных объектов. В итоге было сделано заключение, что эффективность трансформации первичной продукции зоопланктоном следует рассматривать как убывающую функцию трофности водоема.
По [5], эффективность переноса первичной продукции в продукцию нехищного зоопланктона составляет 0.11 ± 0.02, что статисчески не отличается от формулы (10). Соотношение хищного и нехищного зоопланктона (Ppzo/Phzo) в среднем составило 0.174 ± 0.027, что очень близко к моему результату (0.191 ± 0.004). Как и ожидалось, соотношение Ppzo/Phzo не зависит от величины продукции фитопланктона.
Бактерии – важный компонент планктонного сообщества, связывающий растворенное органическое вещество разного генезиса с организмами трофической сети. Дериваты фитопланктона – один из источников РОВ для бактерий. Механизм возникновения дериватов может быть разным: хищничество, отмирание клеток водорослей, вирусный лизис и экскреция. Терригенное РОВ, включая гуминовые соединения, также участвует в метаболизме бактерий и биотическом потоке энергии в трофической сети.
В полигумозных и олиготрофных озерах и водохранилищах бореальной зоны, где дыхание гетеротрофного планктона превышает первичную продукцию, аллохтонное РОВ, трансформированное в бактериальную продукцию, в значительной степени замещает продукцию фотосинтезирующих организмов в питании консументов. Вследствие этого отношения продукции гетеротрофного планктона и планктоноядных рыб к продукции фитопланктона, используемые для оценки эффективности переноса энергии в трофической сети, нередко получаются в разной степени завышенными.
Бактериопланктон, утилизирующий аллохтонное РОВ, – дополнительный источник энергии для зоопланктона, который, в свою очередь, служит пищевым объектом для планктоноядных рыб. Следовательно, для прогнозирования общей биологической продуктивности и продукции рыбного сообщества надо, как настаивал Г. Г. Винберг [19], учитывать продукцию не только автотрофного планктона, но и той части гетеротрофного бактериопланктона, которая специализируется на утилизации РОВ, поступающего в водоем извне. Ю. И. Сорокин [20] ввел для этого случая термин “продукция первопищи”, означающий продукцию фитопланктона в сумме с продукцией бактериопланктона за счет ассимиляции им аллохтонного РОВ.
В направлении от олиготрофных к эвтрофным водам продукция фитопланктона становится избыточной по отношению к продукции бактериопланктона, отношение Pbcp/Pphp часто <1. На гиперэвтрофном участке трофической шкалы возможно бактерицидное воздействие фитопланктона при массовом его развитии. В направлении олиготроф- ных вод продукция бактерий не обеспечивается первичной продукцией, отношение Pbcp/Pphp часто >1. Следовательно, в олиготрофных, как и в более продуктивных гумозных водах возрастает роль аллохтонного РОВ, «следы» которого прослеживаются не только в гетеротрофных бактериях, но и в последующих трофических звеньях – зоопланктоне и планктоноядных рыбах.
КОНФЛИКТ ИНТЕРЕСОВ
Конфликт интересов отсутствует.
About the authors
V. V. Boulion
Zoological Institute RAS
Author for correspondence.
Email: vboulion@mail.ru
Russian Federation, St. Petersburg
References
- Иванова М. Б. Продукция планктонных ракообразных. Л.: ЗИН АН СССР, 1985. 222 с.
- Трифонова И. С., Афанасьева А. Л., Макарцева Е. С., Бардинский Д. С. Соотношение фито- и зоопланктона в разнотипных озерах Карельского перешейка // Известия Самарского научного центра РАН. 2016. Т. 18. № 2 (2). С. 515–519.
- Уманская М. В., Быкова С. В., Горбунов М. Ю., Краснова Е. С., Мухортова О. В., Сабитова Р. З., Тарасова Н. Г., Жариков В. В. Структура сообщества планктона озера Кандры-Куль летом 2010 и 2012 гг. // Известия Самарского научного центра РАН. 2018. Т. 20. № 2. С. 45–54.
- Coveney M., Cronberg G., Enely M., Larsen K., Olofsson L. Phytoplankton, Zooplankton and Bacteria: Standing Crop and Production Relationships in a Eutrophic Lake // Oikos. 1977. V. 29. № 1. P. 5–21.
- Lacroix G., Lescher-Moutoué F., Bertelo A. Biomass and production of plankton in shallow and deep lakes: are there general patterns? // Annales de Limnologia. 1999. V. 35. № 2. P. 111–122.
- Havens K. E., Beaver J. R. Zooplankton to phytoplankton biomass ratios in shallow Florida lakes: an evaluation of seasonality and hypotheses about factors controlling variability // Hydrobiologia. 2013. V. 703. № 1. P. 177–187.
- Бондаренко Н. А., Русанов И. И., Черницына С. М., Шубенкова О. В., Захаренко А. С., Погодаева Т. В., Пименов Н. В., Земская Т. И. Структура и продукционный потенциал летнего фитопланктона озера Байкал в современный период // Водные ресурсы. 2022. Т. 49. № 1. С. 66–76.
- Бульон В. В. Система оценки и прогнозирования биопродуктивности экосистем озерного типа // Водные ресурсы. 2020. Т. 47. № 3. С. 302–311.
- Гидробиологические исследования на реке Тюп и Тюпском заливе озера Иссык-Куль / под ред. Г. Г. Винберга. Л.: ЗИН АН СССР, 1977. 144 с.
- Гидроэкологический мониторинг зоны влияния Бурейского гидроузла / под ред. С. Е. Сиротского. Хабаровск: ИВЭП ДВО РАН, 2007. 273 с.
- Гидроэкологический мониторинг зоны влияния Зейского гидроузла / под ред. С. Е. Сиротского. Хабаровск: ИВЭП ДВО РАН, 2010. 354 с.
- Многолетние изменения биологических сообществ мезотрофного озера в условиях климатических флуктуаций и эвтрофирования / под ред. И. С. Трифоновой. СПб: ЛЕМА. 246 с.
- Nyamweya C. S., Nyaboke H. M., Aura C. M., Momanyi K. N., Mlaponi E., Odoli C. O., Njiru J. M. Lake Victoria’s bounty: A case for riparian countries’ blue economic investment // Frontiers in Environmental Science. 2022. P. 1–6.
- Bootsma H. A., Hecky R. E. A comparative introduction to the biology and limnology of the African Great Lakes // Journal of Great Lakes Research. V. 29. Sup. 2. P. 3–18.
- Darchambeau F., Sarmento H., Descy J.-P. Primary roduction in a tropical large lake: The role of phytoplankton composition // Science of the Total Environment. 2014. V. 473–474. P. 178–188.
- Håkanson L., Boulion V. V. The Lake Foodweb – modelling predation and abiotic/biotic interactions. Leiden: Backhuys Publishers, 2002. 344 p.
- Productivity problems of freshwaters / ed. Z. Kajak, A. Hillbricht-Ilkowsa. Warszawa-Krakow: Polish Scientific Publishers, 1972. 918 c.
- Бульон В. В. Первичная продукция и рыбопродуктивность: моделирование и прогноз // Биология внутренних вод. 2006. № 1. С. 48–56.
- Биологическая продуктивность северных озер. 1. Озера Криво и Круглое / под ред. Г. Г. Винберга. Л.: Наука. 1975. 228 с.
- Сорокин Ю. И. Первичная продукция морей и океанов // Общая экология. Биоценология. Гидробиология. Т. 1. М.: Наука, 1973. С. 7–46.
Supplementary files




