N6-(5-фенилпентан-1-ил)аденин – новый неконкурентный рецепторспецифичный антицитокинин
- Авторы: Зенченко А.А.1, Савельева Е.М.2, Дреничев М.С.1, Романов Г.А.2, Ословский В.Е.1
-
Учреждения:
- Институт молекулярной биологии им. В.А. Энгельгардта Российской Академии наук
- Институт физиологии растений им. К.А. Тимирязева Российской Академии наук
- Выпуск: Том 514, № 1 (2024)
- Страницы: 107-110
- Раздел: Статьи
- URL: https://journal-vniispk.ru/2686-7389/article/view/258956
- DOI: https://doi.org/10.31857/S2686738924010207
- EDN: https://elibrary.ru/KGJSNF
- ID: 258956
Цитировать
Полный текст
Аннотация
Впервые был получен N6-(5-фенилпентан-1-ил)аденин – синтетическое производное аденина с рецепторспецифичным антицитокининовым действием. Данное соединение проявляет выраженный антицитокининовый эффект, снижая цитокинин-индуцированную экспрессию репортерного гена GUS, при взаимодействии с цитокининовым рецептором CRE1/AHK4 модельного растения Arabidopsis thaliana. Гораздо слабее данный эффект проявляется с родственным рецептором AHK2 и не проявляет вовсе с рецептором AHK3. Мы показали, что N6-(5-фенилпентан-1-ил)аденин не связывается с лиганд-связывающими сайтами рецепторов цитокининов арабидопсиса, что не позволяет отнести его к истинным цитокининовым антагонистам. Несмотря на пока неизученный механизм действия, данное соединение может найти своё применение в качестве компонента растительного регулятора роста. Как и истинные антицитокинины, оно усиливает рост корней проростков арабидопсиса, по-видимому, подавляя действие эндогенных цитокининов на «корневой» рецептор CRE1/AHK4.
Ключевые слова
Полный текст
Цитокинины – группа классических фитогормонов. Цитокининовая сигнальная система обнаружена практически у всех видов растений, в том числе у эволюционно древних [1]. Показано, что цитокинины влияют на множество процессов на протяжении всех этапов онтогенеза растений [2, 3]. Возможность управления этой системой открывает широкие перспективы для развития сельского хозяйства. Цитокинины положительно влияют на скорость роста побега, стимулируют развитие хлоропластов, задерживают старение листьев, повышают устойчивость растений к повреждающим факторам внешней среды [4]. Однако основной сложностью на пути масштабного использования цитокининов в растениеводстве является их негативное действие на рост корня [5].
Локальные манипуляции с цитокининовым сигналингом, не связанные с генетическими модификациями растений, возможны за счёт использования растительных стимуляторов и регуляторов роста. В состав таких препаратов могут быть включены рецепторспецифичные антицитокинины, способные действовать орган- и тканеспецифично.
Рецепторы – ключевые белки, определяющие силу и направленность сигналинга гормонов, в том числе цитокининов. В растении рецепторы существуют в виде семейства белков, члены которого обладают разной лигандной специфичностью и разной преимущественной локализацией в органах и тканях [6]. Селективное подавление работы «корневых» цитокининовых рецепторов (CRE1/AHK4 у арабидопсиса [7]) с помощью антицитокининов способно стимулировать рост корней [8], потенциально не влияя на стимулирующую активность цитокининов в наземных частях растений.
В немногочисленных публикациях, сообщающих об обнаружении соединений с антицитокининовым эффектом, были описаны либо основания-антагонисты [8, 9], либо соединения более сложного строения, не имеющие высокого сродства к лиганд-связывающему сайту цитокининовых рецепторов [10–12]. В данной работе нами получен N6-(5-фенилпентан-1-ил)аденин – новое N6-замещенное производное аденина с антицитокининовым действием по отношению к рецептору CRE1/АНК4. Данное соединение является структурным аналогом природного цитокинина N6-бензиладенина (БА) и характеризуется наличием гидрофобного заместителя, содержащего длинный пятичленный алифатический линкер, соединяющий фенильный остаток с аминогруппой в N6-положении аденина. Однако в отличие от уже известных антицитокининов-оснований полученное соединение не является истинным цитокининовым антагонистом.
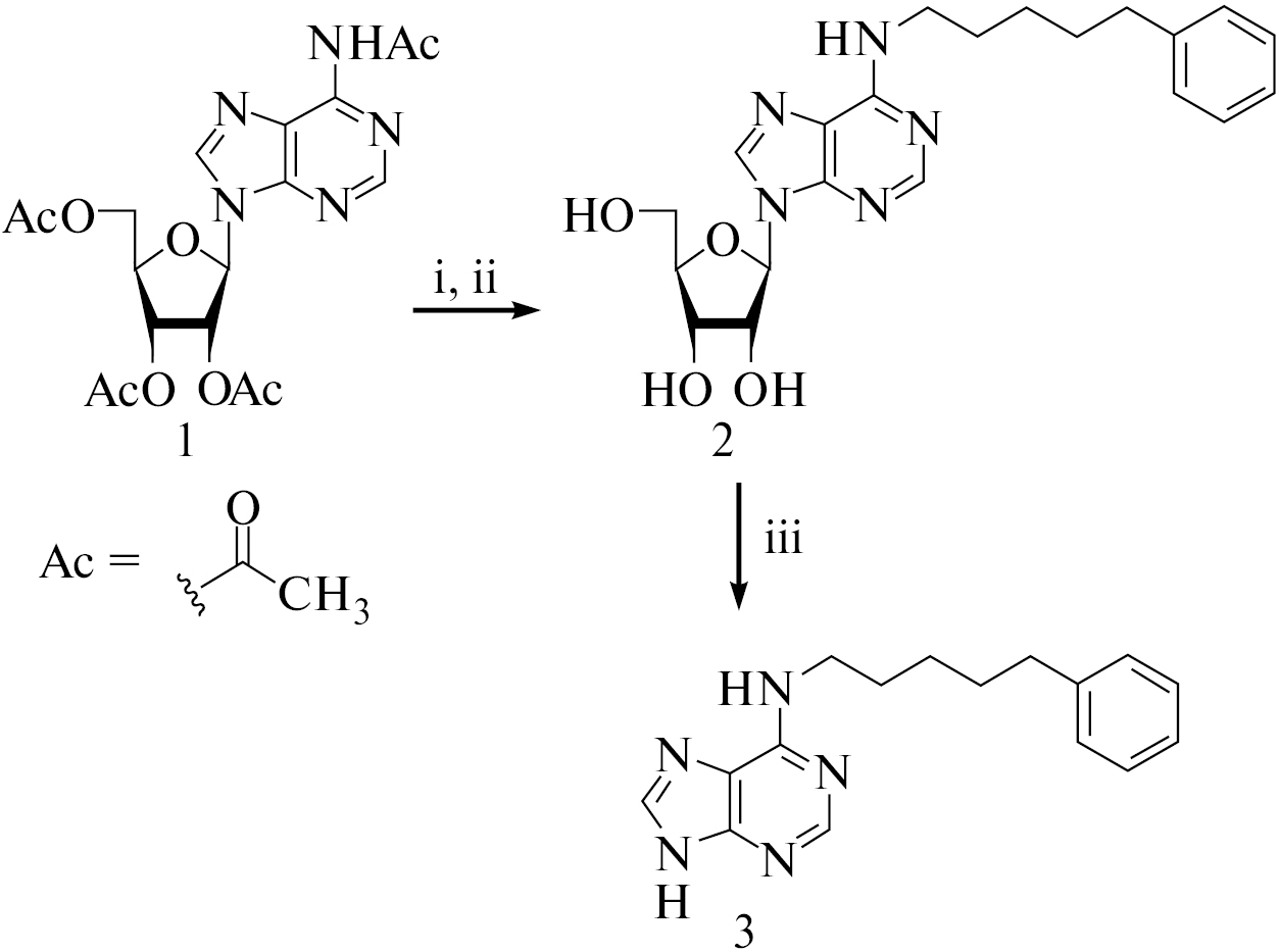
N6-(5-фенилпентан-1-ил)аденин был получен с использованием метода региоселективного алкилирования N6-ацетил-2′,3′,5′-три-O-ацетиладенозина (1) в условиях реакции Мицунобу с последующим деблокированием в основных условиях с получением нуклеозидного производного N6-(5-фенилпентан-1-ил)аденозина (2), который далее подвергали кислотному гидролизу N-гликозидной связи с получением целевого N6-(5-фенилпентан-1-ил)аденина (3) (рис. 1). Структура полученного соединения была подтверждена данными ЯМР-спектрометрии и масс-спектрометрии высокого разрешения (HRMS).
Рис. 1. Синтез N6-(5-фенилпентан‑1-ил)аденина. Реагенты и условия: i. R-OH, Ph3P, DIAD, THF, 20 °C, 48 ч; ii. 5М PrNH2/MeOH, 20 °C, 24 ч; iii. HCl, 100 °C, 3 ч.
Цитокининовая и антицитокининовая активность полученного N6-(5-фенилпентан-1-ил)аденина 3 была исследована в тест-системе на основе проростков Arabidopsis thaliana. Тестирование проводили с использованием двойных инсерционных мутантов по рецепторам цитокининов, у которых в каждом мутантном клоне активен только один из трех рецепторов (AHK2, AHK3 или CRE1/AHK4). Все используемые растения трансформированы геном GUS, который поставлен под контроль промотора гена первичного ответа на цитокинины ARR5.
Цитокининовую активность соединения 3 определяли в физиологической концентрации 10–6 М по уровню GUS-активности, отражающей интенсивность экспрессии конструкции Parr5: GUS [13], и рассчитывали в процентах от активности природного цитокинина БА в той же концентрации. Из всех полученных значений предварительно вычитали уровень GUS-активности, индуцированной эндогенными цитокининами. В результате было показано, что данное соединение не проявляет выраженной фитогормональной активности ни для одного из рецепторов цитокининов арабидопсиса.
Для проверки наличия и силы антицитокининовой активности испытывали способность соединения 3 подавлять физиологическое действие БА. При проведении биотеста на проростках мутантного арабидопсиса, экспрессирующих единственный рецептор CRE1/AHK4, было показано, что 3 достоверно ингибирует действие БА при их совместном добавлении к проросткам. При этом антицитокининовый эффект 3 зависит от его соотношения с цитокинином. При концентрации, превышающей концентрацию БА в 500 раз, N6-(5-фенилпентан-1-ил)аденин подавляет активацию рецептора CRE1/AHK4 цитокинином на ∼92 %, тогда как при более низких соотношениях эффект выражен слабее или отсутствует (рис. 2). На проростках, экспрессирующих единственный рецептор AHK2, антицитокининовый эффект 3 был зафиксирован при разнице концентраций в 500 раз и составил менее 30 %. При разнице концентраций в 100 раз и менее подавление действия БА для рецептора АНК2 не наблюдается. В отношении рецептора AHK3 N6-(5-фенилпентан-1-ил)аденин не проявляет антицитокининового эффекта.
Рис. 2. Действие различных концентраций соединения 3 на интенсивность экспрессии конструкции Parr5: GUS, активируемой БА (0.1 µМ), при взаимо- действии с рецептором CRE1/AHK4. Контроль – действие БА 0.1 µМ на тот же рецептор.
Способность N6-(5-фенилпентан-1-ил)аденина 3 непосредственно взаимодействовать с лиганд- связывающими сайтами цитокининовых рецепторов арабидопсиса было проверено радиолигандным методом с использованием растительных мембран из транзиентно трансформированных растений Nicotiana benthamiana [14]. Было показано, что исследуемое соединение не обладает сколько-нибудь значимой афинностью к сайтам связывания цитокининов указанных белков и, соответственно, не может считаться истинным цитокининовым антагонистом.
Мы проверили действие N6-(5-фенилпентан-1-ил)аденина 3 на корнеобразование растений арабидопсиса Colambia-0 в условиях in vitro. Растения были введены в стерильную культуру на стадии семян и проращивались в воде до возраста 4 дней. После этого они были перемещены на вертикальные чашки Петри с агаризованной средой MS (½ по макросолям). Добавление в среду соединения 3 в концентрации 10 µМ достоверно приводило (на 5-й день проращивания) к увеличению средней длины главных корней на 9 % по сравнению со средой без добавок.
Таким образом, N6-(5-фенилпентан-1-ил)аденин является, по всей видимости, антицитокинином, специфично взаимодействующим пока неизвестным способом с рецептором CRE1/AHK4; это взаимодействие напоминает аллостерическую регуляцию активности ферментов. В перспективе, обнаруженное соединение может быть использовано в качестве регулятора роста растений в сельском хозяйстве.
ИСТОЧНИК ФИНАНСИРОВАНИЯ
Работа выполнена при финансовой поддержке гранта РНФ № 23-24-00527. Выражаем благодарность Министерству науки и высшего образования Российской Федерации (темы № 0103-2019-0004 и № 122042700043-9).
СОБЛЮДЕНИЕ ЭТИЧЕСКИХ СТАНДАРТОВ
Работа не содержит каких-либо исследований с участием людей и животных.
КОНФЛИКТ ИНТЕРЕСОВ
Авторы не имеют конфликта интересов.
Об авторах
А. А. Зенченко
Институт молекулярной биологии им. В.А. Энгельгардта Российской Академии наук
Автор, ответственный за переписку.
Email: kolomatchenkoa@yandex.ru
Россия, Москва
Е. М. Савельева
Институт физиологии растений им. К.А. Тимирязева Российской Академии наук
Email: kolomatchenkoa@yandex.ru
Россия, Москва
М. С. Дреничев
Институт молекулярной биологии им. В.А. Энгельгардта Российской Академии наук
Email: kolomatchenkoa@yandex.ru
Россия, Москва
Г. А. Романов
Институт физиологии растений им. К.А. Тимирязева Российской Академии наук
Email: kolomatchenkoa@yandex.ru
Россия, Москва
В. Е. Ословский
Институт молекулярной биологии им. В.А. Энгельгардта Российской Академии наук
Email: kolomatchenkoa@yandex.ru
Россия, Москва
Список литературы
- Spíchal L. Cytokinins – recent news and views of evolutionally old molecules // Funct. Plant Biol. 2012. Vol. 39. P. 267–84.
- Werner T., Schmülling T. Cytokinin action in plant development // Curr. Opin. Plant Biol. 2009. Vol. 12. P. 527–538.
- Gruhn N., Heyl A. Updates on the model and the evolution of cytokinin signaling // Curr. Opin. Plant Biol. 2013. Vol. 16. P. 569–574.
- Kieber J. J., Schaller G. E. Cytokinins // Arabidopsis Book, 2014. Vol. 12. P. e0168.
- Schaller G. E., Bishopp A., Kieber J. J. The yin-yang of hormones: cytokinin and auxin interactions in plant development // Plant Cell. 2015. Vol. 27. P. 44.
- Higuchi M., Pischke M. S., Mähönen A. P., et al. In planta functions of the Arabidopsis cytokinin receptor family // Proc. Natl. Acad. Sci. USA. 2004. Vol. 101. P. 8821–8826.
- Riefler M., Novak O., Strnad M., et al. Arabidopsis cytokinin receptor mutants reveal functions in shoot growth, leaf senescence, seed size, germination, root development, and cytokinin metabolism // Plant Cell. 2006. Vol. 18. P. 40.
- Spíchal L., Werner T., Popa I., et al. The purine derivative PI-55 blocks cytokinin action via receptor inhibition // FEBS J. 2009. Vol. 276. P. 244–53.
- Nisler J., Zatloukal M., Popa I., et al. Cytokinin receptor antagonists derived from 6-benzylaminopurine // Phytochem. 2010. Vol. 71 (7). P. 823–30.
- Arata Y., Nagasawa-Iida A., Uneme H., et al. The phenylquinazoline compound S-4893 is a non-competitive cytokinin antagonist that targets Arabidopsis cytokinin receptor CRE1 and promotes root growth in Arabidopsis and rice // Plant Cell Physiol. 2010. Vol. 51 (12). P. 2047–2059.
- Krivosheev D. M., Kolyachkina S. V., Mikhailov S. N., et al. N6(Benzyloxymethyl)adenosine is a novel anticytokinin, an antagonist of cytokinin receptor CRE1/AHK4 of Arabidopsis // Doklady Biochem.Biophys. 2012. Vol. 444. P. 178–181.
- Savelieva E. M., Zenchenko A. A., Drenichev M. S., et al. In planta, in vitro and in silico studies of chiral N6-benzyladenine derivatives: discovery of receptor-specific S-enantiomers with cytokinin or anticytokinin activities // Int. J. Mol. Sci. 2022. Vol. 23 (19). P. 11334.
- Zvereva S. D., Romanov G. A. Reporter genes for plant genetic engineering: characteristics and detection // Russ. J. Plant Physiol. 2000. Vol. 47. P. 424–432.
- Savelieva E. M., Lomin S. N., Romanov G. A. A modified method for quantification of cytokinin-receptor binding using isolated plant microsomes enriched with cognate transmembrane receptors // Russ. J. Plant Physiol. 2022. Vol. 69. P. 6.
Дополнительные файлы




