Частотно-зависимая вариабельность времени прохождения пульсовой волны. Пилотное исследование
- Авторы: Гриневич А.А.1, Чемерис Н.К.1
-
Учреждения:
- Институт биофизики клетки Российской академии наук – обособленное подразделение Федерального государственного бюджетного учреждения науки “Федеральный исследовательский центр “Пущинский научный центр биологических исследований Российской академии наук"
- Выпуск: Том 516, № 1 (2024)
- Страницы: 55-58
- Раздел: Статьи
- URL: https://journal-vniispk.ru/2686-7389/article/view/263917
- DOI: https://doi.org/10.31857/S2686738924030098
- EDN: https://elibrary.ru/VTQFDC
- ID: 263917
Цитировать
Полный текст
Аннотация
Динамика пульсовой волны (ПВ), связанная с вариабельностью времени прохождения ПВ (ВВППВ), определяет вариабельность периферического пульса, используемого как суррогат вариабельности сердечного ритма (ВСР). Цель работы – анализ частотно-зависимой динамики ВВППВ и выявление возможной частотно-фазовой модуляции колебаний скорости ПВ на пути следования от сердца к мягким тканям дистальных участков верхних конечностей. В работе использованы записи RR-интервалов и синхронные с ними записи фотоплетизмограмм 12-ти условно здоровых испытуемых из открытой базы данных PhysioNet. При помощи преобразования Гильберта–Хуанга выявлены 3 спектральных компонента ВВППВ и ВСР. Показано, что амплитуды колебаний ВВППВ были в разы (до 8.4 раза) меньше амплитуд ВСР, а пики спектральных компонент ВВППВ были сдвинуты в сторону более высоких частот, чем у ВСР. Выявлены функциональные связи между ВВППВ и ВСР, которые могут определять фазовую модуляцию периодических изменений скорости распространения ПВ.
Полный текст
Вариабельность сердечного ритма (ВСР) широко используется как маркер участия симпатической и парасимпатической нервной системы в регуляции частоты сердечных сокращений [1]. В последние несколько лет в качестве суррогата ВСР используется вариабельность частоты периферического пульса (ВЧП, pulse rate variability (PRV)), которая формируется прохождением пульсовой волны по дистальным участкам сосудистого русла мягких тканей и вызывает их периодическое пульсовое кровенаполнение [2–4]. Предполагается, что подход на основе измерения ВЧП позволяет достаточно полно описать динамику ВСР. Однако взаимосвязь между ВЧП и ВСР еще не до конца изучена и понятна, так как на исходную вариабельность пульсовой волны по мере ее продвижения по сосудистому руслу от сердца до микрососудов дистальных участков мягких тканей могут влиять различные нейрогуморальные и структурные факторы, играющие ключевую роль в регуляции кровотока [5–6]. Важно уметь различать эти факторы по характерным динамическим свойствам, например, по временному масштабу. Исходя из динамики процессов, регулирующих ВСР, в первом приближении факторы можно разделить по времени на: быстрые – нейрогенные, средние – гуморальные и медленные – структурные. При этом первые два фактора преимущественно занимают отрезок времени от единиц секунд до сотен минут [1].
Ранее было продемонстрировано, что в отличие от традиционно используемого метода Фурье-анализа временных рядов кардиоинтервалов, извлеченных из ЭКГ, метод Гильберта–Хуанга (Г–Х) позволяет разложить колебания кардиоинтервалов на эмпирические моды, центральные частоты которых попадают в традиционно выделяемые частотные интервалы, что открывает новые возможности для анализа кардиоритма [7]. Использование метода Г–Х позволило выявить в динамике пульсового кровенаполнения мягких тканей подушечек указательных пальцев рук эмпирические моды, модулирующие кардиоритм в диапазоне частот от 1 до 0.01 Гц и менее, что свидетельствует о возможности количественно оценивать динамическую вариабельность времени прохождения пульсовой волны (ВВППВ) на разных частотно-временных масштабах [8].
Целью данной работы были проведение пилотного исследования для анализа частотно-зависимой динамики вариабельности времени прохождения пульсовой волны и выявления возможной частотно-фазовой модуляции колебаний ее скорости на пути следования от сердца к мягким тканям дистальных участков верхних конечностей на ограниченной группе условно здоровых испытуемых.
В исследовании использованы ряды записей RR-интервалов между последовательными сердечными сокращениями и синхронные с ними записи фотоплетизмограмм (ФПГ) с циклическим кровенаполнением мягких тканей указательного пальца левой руки 12-ти условно здоровых испытуемых (8 мужчин и 4 женщины) из открытой базы ранее зарегистрированных физиологических сигналов PhysioNet [9–10]. По данным используемой базы данных Pulse Transit Time PPG Dataset (version 1.1.0) [9] испытуемые имели следующие антропометрические показатели (среднее ± стандартная ошибка): возраст 30.0 ± 2.7 года; рост 174.0 ± 2.8 см; вес 73.8 ± 5.2 кг; систолическое артериальное давление (АД) 122.2 ± 4.6 и диастолическое АД 76.8 ± 1.7 мм рт. ст. Ряды RR-интервалов были рассчитаны как интервалы времени между последовательными R-зубцами электрокардиограмм (ЭКГ) и характеризовали динамику центрального пульса. Ряды РР-интервалов были рассчитаны из записей ФПГ как последовательность интервалов между преданакротическими P-зубцами ФПГ [11] и характеризовали динамику периферического пульса. Время прохождения пульсовой волны (ВППВ) определяли как временную задержку между пиками P- и R-зубцов, а последовательность этих времен была использована для расчета динамики ВВППВ.
Для анализа частотных спектров ВСР и ВВППВ использовали комбинацию методов Г–Х [12–13] и вейвлет-анализа, при этом спектральный метод вейвлет-анализа использовался для построения и визуализации амплитудно-частотных спектров эмпирических мод, полученных методом Г–Х. Для сглаживания и аппроксимации спектров эмпирических мод использовалась функция Вейбулла. Частотно зависимые коэффициенты передачи сигналов от ВСР к ВЧП вычислялись как отношения спектров ВВППВ к спектрам ВСР соответствующих мод и далее аппроксимировались 4-х-параметрическими сигмоидальными функциями.
Предварительные обработка и анализ сигналов, а также статистическая обработка результатов были проведены в среде Matlab R2016a (MathWorks, Natick, Massachusetts, USA). Различия считались статистически значимыми при p < 0.05.
РЕЗУЛЬТАТЫ И ИХ ОБСУЖДЕНИЕ
Для проверки возможного влияния регуляторных процессов на усредненный по времени периферический пульс мы проанализировали и сравнили центральные и периферические кардиоритмограммы. Было обнаружено, что усредненные по времени и по группе испытуемых периоды центрального и периферического пульсов не различались между собой и были равны 0.83 ± 0.03 с (p > 0.8). Также не различались их девиации и коэффициенты вариации (данные представлены как среднее ± стандартная ошибка). Последние находились в диапазоне 5–10%. Полученные данные подтверждают результаты многочисленных ранее проведенных исследований о том, что усредненный по времени периферический сердечный ритм определяется центральным механизмом и не зависит от возможных локальных динамических изменений параметров сосудистого русла. Усредненное за 7-минутный интервал ВППВ составило в среднем по группе 0.160 ± 0.003 с, а средний коэффициент вариации был около 5% (данные представлены как среднее ± стандартная ошибка).
Усредненные показатели не позволяют оценить динамические изменения сердечного ритма и пульсовой волны, формирующей периферический ритм. Оценка динамических свойств пульсовой волны может показать, влияют ли процессы, регулирующие тонус сосудов, на временную задержку между периферическим и центральным пульсом, а следовательно, и на скорость распространения пульсовой волны. Также, используя спектры ВСР, можно оценить связь между ВВППВ и ВСР.
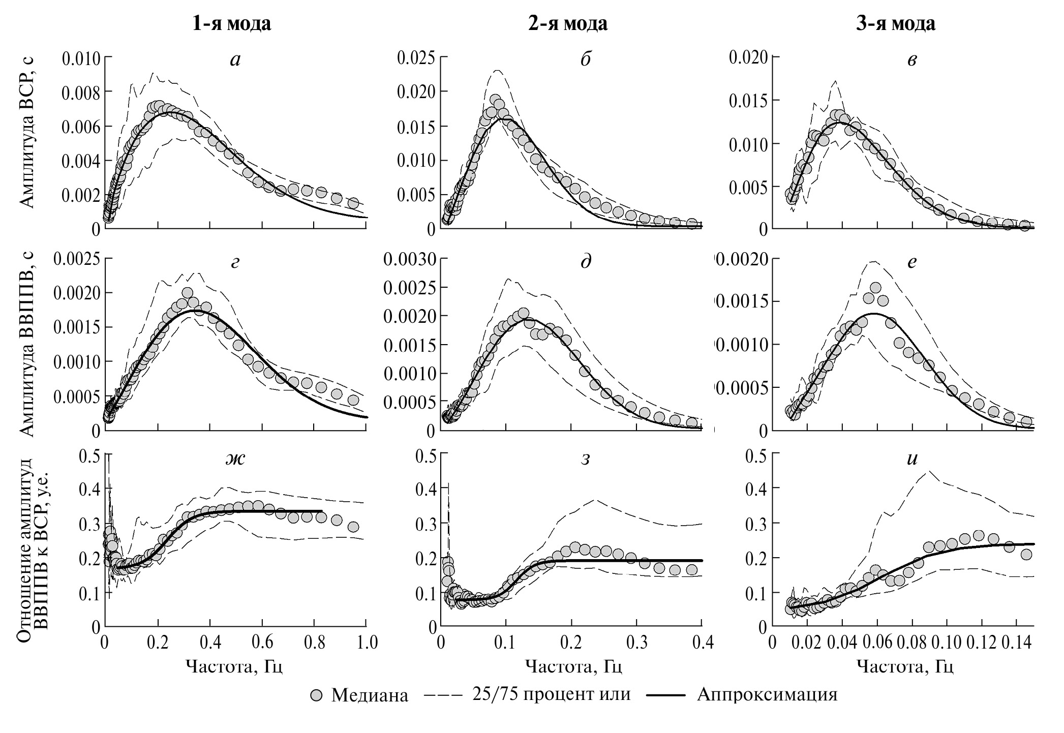
Результаты спектрального анализа показаны на рис. 1. Было обнаружено и проанализировано 3 первые эмпирические моды для ВСР (рис. 1а–1в) и для ВВППВ (рис. 1г–1е). Усредненные по группе амплитуды колебаний 1, 2, и 3 мод были 7.3 ± 1.1 мс, 18.5 ± 1.5 мс и 12.6 ± 1.1 мс для ВСР и 2.0 ± 0.1 мс, 2.2 ± 0.4 мс и 1.7 ± 0.3 мс для ВВППВ соответственно (данные представлены как среднее ± стандартная ошибка). Видно, что для ВВППВ значения амплитуд в разы меньше, чем для ВСР. При этом для всех мод положение максимумов спектров ВВППВ было значимо сдвинуто в сторону более высоких частот по сравнению со спектрами ВСР.
Рис. 1. Спектры эмпирических мод для ВСР (а, б, в) и ВВППВ (г, д, е) и их отношения (ж, з, и). Точки – медианы; пунктирные кривые – 25 и 75 процентили; жирные сплошные кривые – аппроксимации функциями Вейбулла (а–е) и 4-х-параметрическими сигмоидальными функциями (ж–и).
Несмотря на количественные различия, наблюдается качественное сходство между спектрами ВВППВ и ВСР как по количеству мод, так и по характеру их спектральных кривых (рис. 1). Это может свидетельствовать о наличии функциональной взаимосвязи между ними. Для оценки такой взаимосвязи мы вычислили отношение амплитуд спектров ВВППВ к ВСР и получили частотные зависимости этих отношений (рис. 1ж–1и). Эти зависимости хорошо аппроксимировались сигмоидальными функциями с коэффициентом детерминации R 2 > 0.95. Из рисунка видно, что для 1, 2 и 3 мод точки перегиба сигмоидальных зависимостей сдвигаются в область низких частот: 0.24 Гц, 0.12 Гц и 0.06 Гц соответственно, а значения пьедестала снижаются: 0.17, 0.08 и 0.04 соответственно. Полученные функциональные связи между ВВППВ и ВСР могут отражать суммарный результат всех воздействий, дающих вклад в динамическое нелинейное изменение фазы колебаний скорости распространения пульсовой волны.
В результате выполнения пилотного исследования обнаружена новая закономерность динамики прохождения пульсовой волны от сердца к мягким тканям дистальных участков конечностей условно здоровых испытуемых. Она проявляется как частотно-зависимый феномен периодических изменений фазы колебаний скорости распространения пульсовой волны, который, возможно, отражает суммарный вклад всех эпизодических воздействий на скорость распространения пульсовой волны от сердца к мягким тканям. Важно подчеркнуть, что эпизодические изменения скорости распространения пульсовой волны не могут значительно повлиять на ее усредненную скорость. Частотно-зависимый феномен фазовой модуляции периодических изменений времени прохождения пульсовой волны является не альтернативным методом оценки состояния ССС, но принципиально новым дополнением к нейрогуморальным механизмам регуляции динамики кровоснабжения органов и тканей в норме и при заболеваниях. Исследование участия этого комплекса механизмов в формировании и течении патологий различной этиологии может быть полезным при их профилактике и лечении.
БЛАГОДАРНОСТИ
Авторы благодарят академика В. Н. Шабалина за конструктивное обсуждение вариантов рукописи.
ФИНАНСИРОВАНИЕ
Финансирование работы проводилось в рамках выполнения работ по госзаданиям ИБК РАН.
СОБЛЮДЕНИЕ ЭТИЧЕСКИХ СТАНДАРТОВ
В данной работе не проводились исследования человека и животных. Проводился анализ данных из открытой базы данных Pulse Transit Time PPG Dataset (version 1.1.0) [9]. По данным используемой базы данных все исследования проводились в соответствии с принципами биомедицинской этики, изложенными в Хельсинской декларации 1964 г. и последующих поправках к ней, и все участники дали письменное информированное согласие.
КОНФЛИКТ ИНТЕРЕСОВ
Авторы данной работы заявляют, что у них нет конфликта интересов.
Об авторах
А. А. Гриневич
Институт биофизики клетки Российской академии наук – обособленное подразделение Федерального государственного бюджетного учреждения науки “Федеральный исследовательский центр “Пущинский научный центр биологических исследований Российской академии наук"
Автор, ответственный за переписку.
Email: grin_aa@mail.ru
Россия, Пущино
Н. К. Чемерис
Институт биофизики клетки Российской академии наук – обособленное подразделение Федерального государственного бюджетного учреждения науки “Федеральный исследовательский центр “Пущинский научный центр биологических исследований Российской академии наук"
Email: nikolai.chemeris@mail.ru
Россия, Пущино
Список литературы
- Heart Rate Variability. Standards of Measurement, Physiological Interpretation, and Clinical Use. Task Force of the European Society of Cardiology and the North American Society of Pacing and Electrophysiology // Circulation. 1996. V. 93. P. 1043–1065.
- Mattace-Raso F.U.S., Hofman A., Verwoert G.C., et al. Determinants of Pulse Wave Velocity in Healthy People and in the Presence of Cardiovascular Risk Factors: “Establishing Normal and Reference Values” // Eur. Heart J. 2010. V. 31. P. 2338–2350.
- Mejía-Mejía E., May J.M., Torres R., et al. Pulse Rate Variability in Cardiovascular Health: A Review on its Applications and Relationship with Heart Rate Variability // Physiol. Meas. 2020. V. 41. P. 07TR01.
- Котовская Ю.В., Рогоза А.Н., Орлова Я.А. и др. Амбулаторное мониторирование пульсовых волн: статус проблемы и перспективы. Позиция российских экспертов // Кардиоваскулярная терапия и профилактика. 2018. Т. 17. С. 95–109.
- Leloup A.J.A., Van Hove C.E., De Moudt S., et al. Vascular Smooth Muscle Cell Contraction and Relaxation in the Isolated Aorta: A Critical Regulator of Large Artery Compliance // Physiol. Rep. 2019. V. 7(4). P. e13934.
- Yuda E., Shibata M., Ogata Y., et al. Pulse Rate Variability: A New Biomarker, not a Surrogate for Heart Rate Variability // J. Physiol. Anthropol. 2020. V. 39. P. 21.
- Гриневич А.А., Чемерис Н.К. Спектральный анализ вариабельности сердечного ритма на основе метода Гильберта–Хуанга // Доклады Российской академии наук. Науки о жизни. 2023. Т. 511. С. 395–398.
- Гриневич А.А., Гарамян Б.Г., Чемерис Н.К. Локализация механизмов амплитудно-частотной модуляции пульсового кровенаполнения микрососудистого русла мягких тканей. Пилотное исследование // Доклады Российской академии наук. Науки о жизни. 2022. Т. 504. С. 223–228.
- Mehrgardt P., Khushi M., Poon S., et al. Pulse Transit Time PPG Dataset (version 1.1.0). 2022. PhysioNet.
- Goldberger A., Amaral L., Glass L., et al. PhysioBank, PhysioToolkit, and PhysioNet: Components of a new research resource for complex physiologic signals // Circulation [Online]. 2000. V. 101(23). P. e215–e220.
- Park J., Seok H.S., Kim S.-S., et al. Photoplethysmogram Analysis and Applications: An Integrative Review // Front. Physiol. 2022. V. 12. P. 808451.
- Huang N.E., Zheng S., Steven R.L., et al. The Empirical Mode Decomposition and the Hilbert Spectrum for Nonlinear and Non-stationary Time Series Analysis // Proceedings of the Royal Society of London. Series A: Mathematical, Physical and Engineering Sciences. 1998. V. 454. P. 903–995.
- Тычков А.Ю. Применение модифицированного преобразования Гильберта–Хуанга для решения задач цифровой обработки медицинских сигналов // Известия высших учебных заведений. Поволжский регион. Технические науки. 2018. Т. 3. С. 70–82.
Дополнительные файлы



