О современных изменениях “острова тепла” Москвы
- Авторы: Локощенко М.А.1,2, Енукова Е.А.3, Алексеева Л.И.1
-
Учреждения:
- Географический факультет МГУ им. М.В. Ломоносова
- Институт физики атмосферы им. А.М. Обухова Российской академии наук
- Государственный университет “Дубна”
- Выпуск: Том 511, № 2 (2023)
- Страницы: 243-253
- Раздел: ГЕОГРАФИЯ
- Статья получена: 14.10.2023
- Статья опубликована: 01.08.2023
- URL: https://journal-vniispk.ru/2686-7397/article/view/135875
- DOI: https://doi.org/10.31857/S2686739723600728
- EDN: https://elibrary.ru/WGLFVM
- ID: 135875
Цитировать
Полный текст
Аннотация
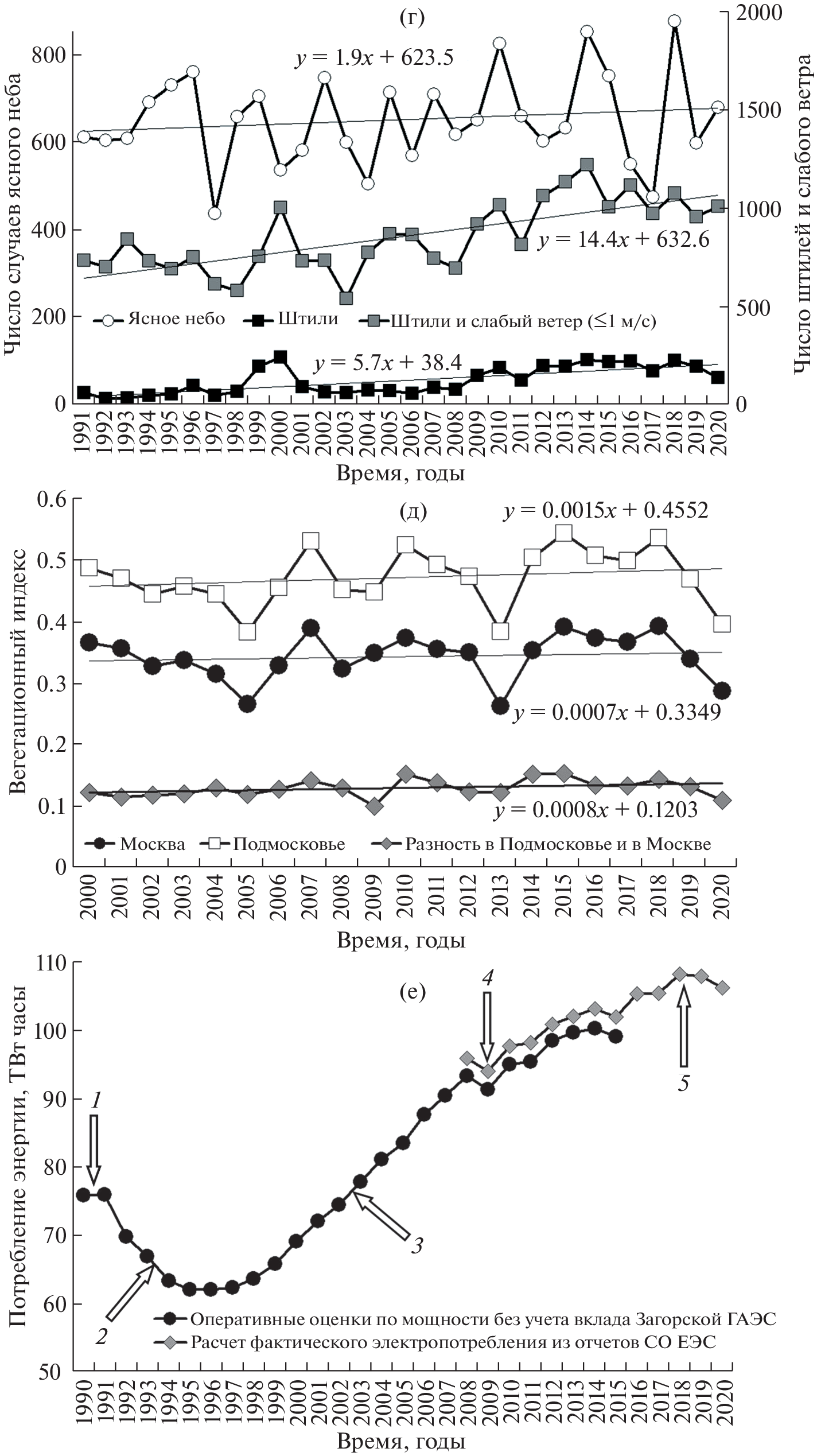
По данным метеорологической сети за период 1991–2020 гг., а также радиометрических измерений температуры поверхности ТП Московского региона спутниками Terra и Aqua за период 2000–2020 гг. исследованы суточный ход и многолетние изменения “острова тепла” Москвы в поле как температуры воздуха Т на высоте 2 м, так и ТП. Для анализа ТП отобраны 1379 спутниковых снимков за 21 год при ясной и малооблачной погоде, при которой возможен анализ “острова тепла”. Среднегодовые значения ТП получены с использованием их нормирования по отдельным сезонам. Суточный ход “острова тепла” Москвы в воздухе выражен слабо, особенно при сравнении с сельской местностью не только центра города, но и всей его площади: достоверно лишь ослабление этого явления осенью и в предзимье (с октября по декабрь). По данным спутников “поверхностный остров тепла” отмечен максимумом в июне–июле при наибольшем развитии вегетации, минимумом осенью при опадении листвы и промежуточными значениями зимой и весной. Быстрый рост Т происходил в 1991–2020 гг. как в Москве, так и в сельской местности приблизительно с одинаковой скоростью. Вследствие этого в интенсивности “острова тепла” как в воздухе, так и на поверхности в целом за последние 20–30 лет не произошло статистически значимых направленных изменений. Вероятными причинами общей стабилизации “острова тепла” Москвы служат как природные, так и социально-экономические факторы: приблизительное постоянство повторяемости ясной погоды (способствующей усилению этого явления) и фитомассы в регионе (определяющей затраты тепла на транспирацию), замедление и прекращение роста населения и энергопотребления города, а также его деиндустриализация. Дополнительными причинами являются постепенное переселение жителей на новые окраины Москвы, а также карантинные ограничения из-за пандемии коронавируса в 2020 г.
Об авторах
М. А. Локощенко
Географический факультет МГУ им. М.В. Ломоносова; Институт физики атмосферы им. А.М. Обухова Российской академии наук
Автор, ответственный за переписку.
Email: loko@geogr.msu.su
Россия, Москва; Россия, Москва
Е. А. Енукова
Государственный университет “Дубна”
Email: loko@geogr.msu.su
Россия, Московская, Дубна
Л. И. Алексеева
Географический факультет МГУ им. М.В. Ломоносова
Email: loko@geogr.msu.su
Россия, Москва
Список литературы
- Барталев С.А. и др. Спутниковое картографирование растительного покрова России. М.: ИКИ РАН, 2016. С. 208.
- Ландсберг Г.Е. Климат города. Л.: Гидрометеоиздат, 1983. С. 248.
- Локощенко М.А., Енукова Е.А. Остров тепла в Московском регионе по спутниковым данным. // Метеорология и гидрология. 2020. № 7. С. 53–64.
- Локощенко М.А., Алексеева Л.И. О годовом ходе “острова тепла” Москвы и влиянии на него карантинных мероприятий при пандемии коронавируса в 2020 г. // Известия РАН серия ФАО. 2022, Т. 58. № 2. С. 194–204.
- Макоклюев Б.И. Анализ и планирование энергопотребления. М.: Энергоатомиздат, 2008, С. 296.
- Эколого-климатические характеристики атмосферы Москвы в 2018 г. по данным Метеорологической обсерватории МГУ имени М.В. Ломоносова / Под ред. М. А. Локощенко. М.: МАКС Пресс, 2019. 277 с. ISBN: 978-5-317-06312-2.
- Andrade C., Fonseca A., Santos J.A. Climate Change Trends for the Urban Heat Island Intensities in Two Major Portuguese Cities. // Sustainability. 2023. 15. 3970.
- Durowoju O.S., Samuel K.J., Anibaba B.W. Temporal analysis of Urban Heat Island in Ibadan metropolis // Osun Geographical Review. 2021. 4. P. 170–180.
- EOS Data Products Handbook. Ed. by Parkinson C.L. & Greenstone R. // NASA Goddard Space Flight Center Greenbelt. Maryland, USA. 2000. 2. 253 P.
- Kataoka K., Matsumoto F., Ichinose T., Taniguchi M. Urban warming trends in several large Asian cities over the last 100 years // Science of the Total Environment. 2009. 407. P. 3112–3119.
- László E., Bottyán Z., Szegedi S. Long-term changes of meteorological conditions of urban heat island development in the region of Debrecen, Hungary // Theoretical and Applied Climatology. 2015.
- Levermore G.J., Parkinson J.B., Laycock P.J., Lindley S. The Urban Heat Island in Manchester 1996–2011 // Building Services Engineering Research and Technology. 2014. 36 (3).
- Lokoshchenko M.A. Urban heat island and urban dry island in Moscow and their centennial changes // J. Appl. Meteorol. and Climatology. 2017. 56 (10). P. 2729–2745.
- Lokoshchenko M.A., Alekseeva L.I. Influence of Meteorological Parameters on the Urban Heat Island in Moscow // Atmosphere. 2023. 14. 3. 507.
- Oke T.R., Mills G., Christen A., Voogt J.A. Urban Climates. Cambridge, UK: University Press, 2017. 525 P.
- Qunfang Huang, Lin Li, Yuqi Lu, Yanjuan Yang and Mingcai Li. The roles of meteorological parameters in Shanghai’s nocturnal urban heat island from 1979 to 2013 // Theoretical and Applied Climatology. 2020. 141. P. 285–297.
- Ünal Y.S., Sonuç C.Y., Incecik S., Topcu H.S., Diren-Üstün D.H., Temizöz H.P. Investigating urban heat island intensity in Istanbul // Theoretical and Applied Climatology. 2020. 139. P. 175–190.
Дополнительные файлы







