Оценка летучести хлора в маловодном флюиде системы C–O–(H)–NaCl в кумулусе ультрабазит-базитовых интрузий
- Авторы: Симакин А.Г.1, Шапошникова О.Ю.1, Девятова В.Н.1, Исаенко С.И.2, Еремин Д.Д.3
-
Учреждения:
- Институт экспериментальной минералогии им. Д. С. Коржинского Российской Академии наук
- Институт геологии им. Н. П. Юшкина Коми научного центра Уральского отделения Российской Академии наук
- Московский государственный университет им. М. В. Ломоносова
- Выпуск: Том 515, № 1 (2024)
- Страницы: 86-94
- Раздел: ПЕТРОЛОГИЯ
- Статья получена: 30.09.2024
- Статья одобрена: 30.09.2024
- Статья опубликована: 15.07.2024
- URL: https://journal-vniispk.ru/2686-7397/article/view/265093
- DOI: https://doi.org/10.31857/S2686739724030119
- ID: 265093
Цитировать
Полный текст
Аннотация
При высоких РТ-параметрах кумулатов ультрабазит-базитовых интрузий и низкой летучести кислорода (ниже буфера QFM) платина растворяется во флюиде, содержащем СО, в виде карбонильного комплекса самородного металла. Высокая растворимость платины в виде хлорида в рассолах с NaCl, с которой связывается формирование малосульфидных месторождений ЭПГ, достигается лишь при высокой летучести кислорода (выше буфера NNO). Предполагается, что при низкой летучести кислорода в среде маловодного флюида СО–СО2 (Н2О) самородная платина также может переходить в катионную растворимую форму за счет реакции хлорирования. Приводятся экспериментальные данные о взаимодействии NaCl при Р = 200 МПа, Т = 950°C и fO2 < QFM с магнетитом и хромитом (акцессорными минералами ультрабазит-базитовых интрузий) с образованием хлоридов железа и хрома. Как показывают термодинамические расчеты, равновесие FeCl3 и FeCl2 обеспечивает высокую летучесть хлора (fCl2). Эта летучесть лишь на 3–4 порядка ниже, чем fCl2 в равновесии Pt–PtCl2, и на 2.5–3 порядка выше, чем в водном флюиде 1M HCl при тех же Р–Т–fO2 параметрах.
Ключевые слова
Полный текст
ВВЕДЕНИЕ
Месторождения ЭПГ малосульфидного типа формируются в ходе позднемагматических, ранне-постмагматических процессов в ультрабазит-базитовых интрузиях в результате флюидного переноса. Причем в некоторых случаях установлено, что флюидный перенос не связан с застыванием рудовмещающего интрузива (Кондер), а запаздывает на миллионы, десятки миллионов лет [1]. Для построения физико-химической моделей рудообразования важно определить состав флюида, РТ- и редокс-параметры, которые определяют растворимость ЭПГ. С ростом растворимости увеличивается потенциальный объем переотложенного металла, масштаб оруденения.
Хлору придается особое значение при формировании малосульфидных месторождений ЭПГ [2]. Действительно, растворимость платины и золота велика в хлорсодержащих средах (флюиде, расплаве хлоридов) при высокой летучести кислорода [3, 4]. При высоких РТ-параметрах интрузивного кумулуса и низкой летучести кислорода около QFM/QFM-2 = CCO самородная платина образует стабильные во флюидной фазе карбонилы [5].
Согласно современным экспериментальным данным [6] по растворимости Pt в рассоле при параметрах кумулуса (Р ≈ 200 МПа, Т = 900–950°C) наклон зависимости растворимости от fO2 в би-логарифмических координатах составляет ≈1/2. Экстраполяция данных до низкой летучести кислорода, отвечающей буферу ССО (QFM-2), дает оценку растворимости в рассоле 0.5–1 ppm, что более чем на два порядка ниже растворимости в форме карбонила.
Теоретически можно перевести платину в хлорид и при низкой fO2 за счет достаточно высокой летучести хлора. В этом случае при наличии СО формируется смешанный карбонильно-хлоридный комплекс платины с повышенной летучестью (PtCl2(CO)2). Высокую летучесть этого соединения предложено использовать для травления пленок платины газом с мольным отношением CO/Cl2 = 2/1 [7]. В работе [8] рассчитали состав маловодного (содержании воды не более 10 мол. %) флюида в системе C–O–H–Cl и предсказали высокую долю (примерно 1/2) Cl2 и COCl2 от общего содержания хлора, принятую равной 5 мол. %. При общем давлении, принятом при расчетах равном 300 МПа, такое содержание отвечает фугитивности хлора больше 10 бар.
Рис. 1. Экспериментальные данные по растворимости платины во флюиде при высокой температуре в зависимости от летучести кислорода. Пунктирной окружностью отмечена растворимость в рассоле при низкой летучести кислорода, полученная экстраполяцией (по данным [6]).
На рис. 2 показаны фугитивности хлора в равновесиях Pd–PdCl2 и Pt–PtCl2, рассчитанные с использованием термодинамических данных из [9], при Т = 950°C равновесные фугитивности много меньше 1 бар и составляют 0.1 и 0.001 бар соответственно. С флюидом состава, рассчитанного в [8], Pd и Pt реагируют с образованием хлоридов. Вместе с тем фугитивность хлора могут буферировать минералы кумулуса. В экспериментах с маловодными (номинально безводными) расплавами в качестве буфера летучести хлора используется пара Ag – смесь AgCl и AgI [10]. Чистый хлорид серебра задает слишком высокую летучесть хлора, которая вызывает при реакции с базальтовым расплавом отделение расплава хлоридов кальция, магния и других катионов. Наиболее распространенной формой хлора на низкотемпературной стадии эволюции ультрабазит-базитовых интрузий является NaCl (см. обзор [11]). Можно предположить, что при высокой температуре в присутствии маловодного флюида в результате обменных реакций NaCl с фазами, содержащими переходные металлы переменной валентности (Fe, Cr, Mn), могут формироваться хлориды, которые буферируют летучесть хлора в результате реакций:
(1)
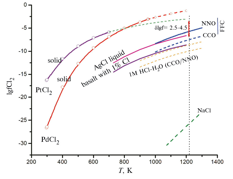
Рис. 2. Летучести хлора равновесные в паре металл–хлорид, рассчитанные с использованием термодинамической базы данных [9]. Данные для PtCl2 и PdCl2 экстраполированы к высоким Т (пунктир). Отдельно показана летучесть хлора, обеспечивающая содержание хлора порядка 1 мас. % в сухом расплаве базальта при 1400 °C [10]. Также показаны летучести хлора, отвечающие равновесиям FeCl3–FeCl2 (FFC) при летучестях кислорода, равных NNO и CCO. Отдельно показаны летучести хлора в 1М HCl водном флюиде (Р = 200 МПа), рассчитанные по реакции 2HCl+1/2O2 = H2O+Cl2 при двух летучестях кислорода (буферы CCO и NNO).
Соотношение хлоридов двухвалентных и трехвалентных металлов связано с летучестью кислорода, величина которого в свою очередь также буферируется минералами кумулуса и флюидом (например, буфером ССО в присутствии СО2 и графита).
Первой целью при экспериментальном изучении влияния хлора на растворимость ЭПГ в маловодном флюиде при низкой летучести кислорода является переход от малоактивного NaCl в исходной системе к хлоридам переходных металлов, которые могут обеспечить высокую летучесть хлора. В данной работе представлены результаты экспериментального изучения реакции такого восстановленного флюида с NaCl и минералами шпинелевого ряда при параметрах кумулуса ультрабазит-базитовых интрузий (Р = 200 МПа и Т = 950°C) и термодинамические оценки fCl2 в этой системе.
МЕТОДЫ
Исходные материалы. Описываемая серия экспериментов является начальной стадией изучения растворимости ЭПГ в хлорсодержащем маловодном флюиде, в ходе ее выполнения для поиска оптимальных условий использовался широкий спектр исходных веществ. В качестве источника СО2 использовался природный магнезит (Южный Урал), любезно представленный нам Минералогическим музеем им. А. Е. Ферсмана РАН (Москва). Состав магнезита определялся на микрозонде и методом ICP-MS (ИПТМ РАН, Черноголовка). В качестве источника СО использовались сидериты: мономинеральный FeCO3 (с 10 мол. % MnCO3), природные сидериты из Минералогического музея им. А. Е. Ферсмана. При разложении сидерита и полном протекании реакции вюстита с СО2 получается смесь СО и СО2 в мольном отношении 1:2.
(2)
Также использовался оксалат магния, при термическом разложении которого получается эквимолярная смесь СО и СО2.
(3)
Исходный оксалат представляет кристаллогидрат MgC2O4 2H2O. Для удаления воды он прокаливался при Т = 275°C в течении 3–4 часов. Остаточное содержание воды по данным измерения методом KFT в источнике флюида составляло 0.4–0.5 мас. %, При использовании чистого оксалата минимальная мольная доля воды в генерируемом флюиде составляла около 0.02–0.03. В качестве начальной формы хлора использовался NaCl. В опытах с сидеритом источником железа служили вюстит и магнетит, продукты реакции генерации флюида. В опытах с чистым оксалатом вводился магнетит (Ковдор) и хромшпинель (массив Рай–Из). В качестве флюидных ловушек использовались: спеченный порошок кварцевого стекла, спеченное кварц-альбитовое стекло, альбитовое стекло и спеченные нити кварцевого стекла (используются в качестве теплоизолятора).
ЭКСПЕРИМЕНТ
Эксперименты проводились на аппарате высокого газового давления (УВГД-10000) в ИЭМ РАН (Черноголовка). Сосуд аппарата изготовлен из нержавеющей стали, рабочая среда – аргон. Температура измерялась и регулировалась с помощью Pt–Rh-термопар, длина безградиентной зоны в печи составляла 40–50 мм. Давление измерялось пьезодатчиком с точностью до 5%. Температура поддерживалась с точностью ±2.5°C, давление контролировалось с точностью ±1%. Закалка осуществлялась за счет отключения нагрева при продолжающемся водяном охлаждении со скоростью 150°C/мин. Эксперименты проводились в основном по двухампульной методике. В качестве материалов внешней и внутренней ампул использовались платина, палладий и золото. В малую открытую ампулу помещались вещества для генерации флюида и NaCl, а во внешнюю заваренную ампулу – флюидные ловушки. Летучесть кислорода задавалась соотношением CO и CO2 вблизи буфера CCO, избыток CO разлагался с образованием углерода и органических веществ. При использовании сидерита fO2 близка к буферу вюстит–магнетит (близко к буферу CCO при T = 950°C). Снаряженные ампулы продувались аргоном и заваривались. Параметры опытов указаны в табл. 1S (в электронном приложении).
Анализ. Содержание воды в исходных веществах измерялось с использованием установки для Карл-Фишер-титрования (KFT) AQUQ 40 с приставкой для нагрева твердых фаз. В соответствии с данными калибровки точность определения 3 отн. %. Химический анализы и снимки поверхности исходных веществ и экспериментальных образцов были выполнены с использованием SEM CamScan MV2300 и Tescan Vega TS5130MM с энергодисперсионным спектрометром (“INCA Energy” 450). Спектрометр оснащен полупроводниковым Si (Li) детектором INCA Penta FET X3. Все фазы анализировались при ускоряющем напряжении 20 кВ, ток поглощенных электронов на образце Co составлял 0.1–0.2 нА. Наименьший диаметр луча составлял 0.2 мкм для точечного фазового анализа; некоторые стекла анализировались с использованием прямоугольной области сканирования шириной до 50–80 мкм. Результаты измерений обрабатывались программным комплексом “INCA Energy” 200.
Рамановская спектроскопия. Рамановские спектры экспериментальных образцов измерялись в двух лабораториях. В ИЭМ РАН измерения проводились на спектрометре RM1000 с CCD-камерой, краевым фильтром с помощью микроскопа Leica с объективом 50×. Спектры возбуждались твердофазным лазером с диодной накачкой и длиной волны 532 нм. Параметры измерений: мощность лазера 22 мВ, ширина спектральной щели 50 мкм, время набора 5 × 10 сек. Измерения в ИГ УРО РАН (Сыктывкар) были выполнены на Рамановском спектрометре высокого разрешения LabRam HR800 (Horiba, “Jobin Yvon”) с использованием внешнего Ar+ лазера (514.5 нм, мощность 1.2 мВ). Спектрометр был сопряжен с оптическим микроскопом “Olympus” BX41 с объективом 50×. Спектры записывались в диапазоне 100–4000 cм-1 с использованием спектрометра с решеткой 600 линий/мм. Размер конфокального отверстия – 300 мкм, щели – 100 мкм. Поперечник анализируемой области составлял около 5 мкм. Каждый спектр накапливался в трех циклах измерений длительностью 10 сек. Измерения проводились при комнатной температуре.
РЕЗУЛЬТАТЫ ЭКСПЕРИМЕНТОВ
В данной работе представлены результаты изучения оксидных матриц, продуктов разложения твердых источников флюида и продуктов реакций между флюидом с NaCl и этими оксидами, а также магнетитом и хромитом. Составы флюидных ловушек позволяют оценить состав флюида методом микро-Рамановской спектроскопии (ловушки из альбитового стекла) и содержания благородных металлов во флюиде: платины, палладия, золота в зависимости от используемых ампул (ловушки из кварцевого и альбит-кварцевого стекла). Эти данные будут опубликованы в отдельной работе.
Результаты микрозондовых анализов. Главными кристаллическими фазами в продуктах опытов являются оксиды железа и магния, продукты разложения сидерита, магнезита, оксалата магния. Новообразованные фазы имеют малые размеры, которые, как правило, не позволяют исследовать состав индивидуальных кристаллов микрозондовым анализом. На рис. 3 анализы фаз из опыта О75 (источник флюида – сидерит и оксалат, подробности в табл. 1S, электронное приложение) представлены на треугольной диаграмме Fe–Na–Cl (ат. доли). На этой диаграмме не разрешаются бесхлорные фазы: Fe3O4, FeO(OH), FeO, FeCO3, NaHCO3, Na2CO3 и окси-хлориды железа. На рис. 3 можно отметить, что часть составов попадает в маложелезистую область с отношением Na/Cl >> 1, что подразумевает наличие солей натрия, образовавшихся в результате обменных реакций магнетита (вюстита) с NaCl (см. ниже реакция (4)). Также можно отметить, отсутствие составов с отношением Cl/Fe > 2–2.2, что может свидетельствовать о преобладании FeCl2 в составе хлоридов. Как упоминалось выше, FeCl3 обладает низкой Ткип и присутствует во флюидной фазе. На аналогичной диаграмме (Fe+Cr)–Na–Cl составов мелкодисперсных фаз продукты опытов с хромшпинелью много точек попадает за коноду NaCl–CrCl2 в сторону высоко-хлорных составов в отличие от опытов с магнетитом. Это может отражать присутствие тугоплавкого CrCl3 в виде кристаллической фазы при РТ-параметрах эксперимента. Ряд точек на диаграмме попали на отрезок NaCl–Cl стороны Na–Cl, что отвечает наличию MgCl2, HCl или хлорорганических соединений.
Рис. 3. Микрозондовые анализы (атомные доли) агрегатов мелкодисперсных фаз, продуктов реакций генерации хлорсодержащего флюида; а) опыт О75 система с железом: на стенках внутренней ампулы, внешней ампулы, кварцевой ловушке и магнетите, б) двух опытов с хромитом: первый опыт с 10% NaCl, второй с 1% NaCl. Точки составов внутри треугольников Fe(Cr)–NaCl–Na отражают наличие натриевых безхлорных фаз (Na2CO3, NaHCO3 и др.). На рис. 3 б можно отметить, что ряд составов выходит за пределы треугольника (Fe+Cr)–CrCl3–NaCl, что отражает наличие хлоридов, отличных от хлоридов натрия и хрома (+ железа), предположительно это хлориды магния.
Данные Рамановской спектроскопии. Карбонат натрия, важный продукт обменной реакции шпинелей с NaCl, обнаружен в виде NaHCO3 лишь в опыте с хромитом и большим содержанием соли. Он совпадает по всем интенсивным пикам k = 1268, k = 1047, k = 686 см−1 со стандартом. Редкая встречаемость NaHCO3 в продуктах опытов, по данным Рамановской спектроскопии, может быть связана с хорошей растворимостью этой фазы во флюиде и осаждением ее при закалке в рассеянной форме, а также формированием солей натрия органических кислот.
Хлориды железа, образующиеся в результате обменных реакций NaCl с магнетитом, удалось идентифицировать методом Рамановской спектроскопии. Как FeCl3, так и в меньшей степени и FeCl2, являются гигроскопичными солями. На рис. 4 представлен спектр частично разложившегося сидерита, со слабовыраженными полосами магнетита и четкими полосами k = 189 и 317 см−1. Связь Fe–Cl в кристаллогидрате дихлорида железа (FeCl2 × 4H2O) характеризуется полосой около 190 см−1 [12]. Безводный FeCl2 характеризуется полосой 152 см−1 [13], которая выделяется в некоторых спектрах при разложении вместе с полосой 187–190 см−1. Безводный хлорид FeCl3 имеет самую сильную линию при 332 см−1. В водных растворах FeCl3 самая сильная линия при 315 см−1 приписывается колебаниям Fe–Cl в комплексе FeCl2+ [14]. Кристаллогидраты FeCl3 имеют структурную формулу [FeCl2(H2O)4][FeCl4] × nH2O (n = 0…3), т. е. содержат структурную единицу FeCl2+ и также идентифицируются по линии около 318 см−1. FeCl3 является чрезвычайно гигроскопичной фазой, гидратация которой могла быть вызвана как водой из флюида, так и из атмосферы после опыта.
Рис. 4. Микро-Рамановский спектр продуктов реакции магнетита и NaCl в эксперименте О89. Также присутствует линия неразложившегося сидерита, источника флюида. Линии вюстита и магнетита сливаются в сплошную полосу.
В восстановленном маловодном флюиде в экспериментах образовывались слабо- упорядоченный углерод (отношение площадей D/G пиков в Рамановском спектре около 0.5) и битумоподобное вещество с высокой люминесценцией (см. спектры в электронном приложении).
ОБСУЖДЕНИЕ РЕЗУЛЬТАТОВ
Химические реакции, протекающие в эксперименте. Результаты экспериментов показали, что при реакции NaCl в среде маловодного флюида с минералами шпинелевого ряда образуются хлориды переходных металлов. Эти реакции можно записать для магнетитового и магнохромитового миналов:
(4)
(5)
Реакции (4, 5) описывают образование дихлоридов. Образование трихлоридов можно описать окислением дихлоридов или реакцией оксидных фаз с СО2. Например:
(6)
Сода, продукт реакций (4–6) в форме гидрокарбоната, обнаружена методом микро-Рамановской спектроскопии только в одном опыте. Наличие солей натрия, отличных от NaCl, вытекает из валового анализа мелкодисперсных продуктов опытов, близких по составу к отрезку Na–NaCl на треугольной диаграмме Na–(Fe+Cr)–Cl (рис. 3). Можно предположить, что в присутствии малых концентраций воды во флюиде образуются соли органических кислот, например, муравьиной:
(7)
Для полного термодинамического расчета реакций (4–6), нужно уточнить, какие соединения натрия формируются в результате обменных реакций.
Как обсуждалось выше, равновесие ди- и трихлоридов FeCl2–FeCl3 и CrCl2–CrCl3 буферируют летучесть хлора в результате реакций:
(8)
Важно учитывать фазовое состояние хлоридов при РТ-условиях экспериментов. FeCl3 – легкоплавкая соль с температурой кипения 307°C, она присутствует как компонент флюида с переменной фугитивностью, FeCl2 участвует в равновесии (8) в виде расплава. Равновесную летучесть FeCl3 можно выразить как функцию летучести кислорода в присутствии магнетита. На рис. 2 нанесена летучесть хлора как функция температуры при двух летучестях кислорода. Летучести хлора в железосодержащей системе достаточно высоки. При fO2 = QFM-2 летучесть хлора (fCl2) отвечает летучести, обеспечивающей содержание хлора в базальтовом расплаве на уровне порядка 1 мас. %. При более высокой летучести кислорода она отвечает буферу Ag–AgCl, в магматических условиях такая fCl2 вызывает образование несмесимых расплавов хлоридов магния и железа и силикатной жидкости. Эти данные предварительные, прежде всего потому, что расплав FeCl2 содержит другие хлориды.
CrCl3 – тугоплавкое соединение с Тпл = 1152°C, а CrCl2 плавится в условиях экспериментов, но не кипит (Ткип = 1120°C), поэтому для пары чистых хлоридов хрома летучесть хлора фиксирована (рис. 2) и приближается к летучести Pt–PtCl2. Расчетная летучесть кислорода в равновесии с MgCr2O4 близка к QFM. Как и в случае хлоридов железа, эти расчеты носят предварительный характер, поскольку не учитывают, прежде всего, состав расплава хлоридов. В изучаемой системе также возможна обменная реакция FeCl2+CrCl3 = = FeCl3+CrCl2, которая, вероятно, смещена вправо в сторону образования высоколетучих хлоридов. Следует отметить, что CrCl3 идентифицирован на Рамановских спектрах продуктов экспериментов с хромитом (см. электронное приложение), а CrCl2 нет. Точный расчет летучести хлора в равновесии с хлоридами – сложная задача, требующая дополнительных экспериментальных данных.
Наличие даже небольшого количества воды во флюиде приводит к тому, что преобладающей формой хлора становится HCl, образующийся из молекулярного хлора и воды. Принципиальные эффекты добавки небольших количеств воды можно описать упрощенной системой из трех реакций:
(9)
Эта система включает 7 соединений, три уравнения равновесия дополняются тремя балансами компонентов флюида (C, H, O). Поскольку нас интересует содержание элементарного хлора, будем использовать его как параметр, задаваемый равновесиями хлоридов железа. Константы равновесия рассчитаны с использованием базы данных [9]. Коэффициенты фугитивности компонентов рассчитаны для PT-условий эксперимента с использованием [15]. Исходный бесхлорный флюид характеризуется содержаниями СО, СО2 и Н2О, контролируемых буфером ССО. В результате расчета равновесного состояния получены зависимости мольной доли воды и летучести кислорода как функции летучести хлора (рис. 5) при трех исходных содержаниях воды.
Рис. 5. Рассчитанные, согласно реакциям (9), в маловодном флюиде С–O–H–Cl (отношения Н/(О+Н)≈ХН2О указаны на графиках): а) летучести кислорода, пунктиром нанесена линия отвечающая буферу FeCl2–FeCl3 в присутствии магнетита при различных fO2; б) мольные доли Н2О и HCl в зависимости от lg(XCl2).
Термодинамические расчеты показали, что рост фугитивности хлора в модельном флюиде сопровождается ростом летучести кислорода (рис. 5 а). Содержание воды в равновесном состоянии резко падает с ростом fCl2 при исходных содержаниях воды примерно менее 10 мол. %, а основная часть хлора в системе при этом присутствует в виде HCl (рис. 5 б). Параметры буфера FeCl2–FeCl3 в координатах fCl2-fO2 пересекаются с параметрами флюида СО2–СО–Н2О–Cl при начальном содержании воды примерно менее 10 мол. % (рис. 5 а) Таким образом, расчеты показывают, что буфер FeCl2–FeCl3 может задавать летучесть хлора как в безводном, так и в маловодном флюиде состава СО–СО2–Cl–H2O). Рассчитанное понижение фугитивности воды за счет образования HCl в наших экспериментах с NaCl отражается в отсутствии спекания альбитового стекла, используемого в качестве ловушки флюида [5]. В исходном стекле, содержащем порядка 0.5 мас. % воды в растворенном и сорбированном на поверхности виде, вязкость альбитового расплава достаточно низка при Т = 950°C и P = 200 МПа для формирования в опытах без хлора сплошной массы с захваченными пузырями флюида.
Реакция (9а) позволяет выразить летучесть хлора и в чисто водном флюиде, содержащем HCl. На рис. 2 нанесены расчетные значения fCl2 для чисто водного флюида, отвечающего 1М раствору соляной кислоты, которые на несколько порядков ниже, чем в маловодном флюиде. Фугитивность хлора растет пропорционально fО21/2, что близко к наклону зависимости растворимости Pt в рассоле от летучести кислорода (рис. 1). В двухфазном флюиде за счет гидролиза NaCl образуется кислота HCl [16] и хлор при ее окислении. Фугитивность хлора в равновесии (9а) обратно пропорциональна фугитивности воды, которая понижена в рассоле за счет влияния растворенной соли [17]. Таким образом, PtCl2 в экспериментах [6] также может образовываться по механизму хлорирования.
Согласно нашим экспериментальным данным, при параметрах кумулуса ультрабазит-базитовых интрузий можно ожидать активное образование хлоридов железа и хрома. Первичные флюидные включения в кварце [11], который является акцессорным минералом в пегматитах безоливиновых пород (норитов, габброноритов), в анартозитах и в кварце из гранофировых включений из хлоридов содержат главным образом NaCl (кроме хлоридов Ba, K, Ca). Лишь в редких случаях во вторичных флюидных включениях (залеченных трещинах) в оливине платиноносного ультрабазит-базитового интрузива Стилуотер, США обнаружены хлориды железа (FeCl2–FeCl3) и оксихлориды железа и марганца [18]. Редкость таких находок может свидетельствовать о сложности формирования флюидных включений в среде высокотемпературного маловодного флюида.
Наши расчеты согласуются с результатами [8], которые предсказали, что при мольной доле воды XH2O < ≈0.1 HCl практически замещает воду во флюиде, в составе которого также отсутствуют другие водородсодержащие соединения CH3Cl, CH4. Задав высокое суммарное содержание хлора 10 ат. % в исходной системе C–O–H–Cl, авторы получили чрезмерное высокое содержание Cl2, которое, как демонстрируют наши экспериментальные данные и расчеты, буферируется реакциями с оксидными минералами на более низком уровне. В результате этих реакций при низкой летучести кислорода значения fCl2 ограничены на максимально возможном для магматических систем уровне, выше которого происходит расслоение магмы с образованием расплава хлоридов магния и железа. Этот уровень fCl2 примерно на 3–4 порядка ниже уровня устойчивости PtCl2, что делает его слишком низким для полного превращения платины в хлорид, но достаточно высоким для образования PtCl2 во флюиде в равновесии с самородным металлом.
БЛАГОДАРНОСТИ
Авторы благодарны академика РАН Л. Я. Арановичу за конструктивную критику, позволившую существенно улучшить начальный вариант статьи. Авторы признательны Г. В. Бондаренко за измерение Рамановских спектров некоторых экспериментальных образцов в ИЭМ РАН.
ИСТОЧНИК ФИНАНСИРОВАНИЯ
Работа выполнена при поддержке гранта РНФ № 23-27-00252.
КОНФЛИКТ ИНТЕРЕСОВ
Авторы данной работы заявляют, что у них нет конфликта интересов.
Об авторах
А. Г. Симакин
Институт экспериментальной минералогии им. Д. С. Коржинского Российской Академии наук
Автор, ответственный за переписку.
Email: simakin@iem.ac.ru
Россия, Черноголовка
О. Ю. Шапошникова
Институт экспериментальной минералогии им. Д. С. Коржинского Российской Академии наук
Email: simakin@iem.ac.ru
Россия, Черноголовка
В. Н. Девятова
Институт экспериментальной минералогии им. Д. С. Коржинского Российской Академии наук
Email: simakin@iem.ac.ru
Россия, Черноголовка
С. И. Исаенко
Институт геологии им. Н. П. Юшкина Коми научного центра Уральского отделения Российской Академии наук
Email: simakin@iem.ac.ru
Россия, Сыктывкар
Д. Д. Еремин
Московский государственный университет им. М. В. Ломоносова
Email: simakin@iem.ac.ru
Россия, Москва
Список литературы
- Мочалов А. Г., Якубович О. В., Стюарт Ф. М., Бортников Н. С. Новые свидетельства полицикличности платинометалльных россыпеобразующих формаций щелочно-ультраосновного массива Кондер: результаты 190Pt-4He-датирования // Доклады Российской Академии Наук. Науки о Земле. 2021. Т. 498(1). С. 23–30. https://doi.org/10.31857/S2686739721050108
- Boudreau A. E., Mathez E. A., McCallum I. S. Halogen geochemistry of the Stillwater and Bushveld complexes: evidence for transport of the platinum-group elements by Cl-rich fluids // Journal of Petrology. 1986. V. 27 (4). P. 967–986. https://doi.org/10.1093/petrology/27.4.967
- Orlova G. P., Ryabchikov I. D., Distler V. V., Gladyshev G. D. Platinum migration in fluids during the formation of magmatic sulfides // International Geology Review. 1987. V. 29 (3). P. 360–362. https://doi.org/10.1080/00206818709466152
- Shmulovich K. I., Bukhtiyarov P. G., Persikov E. S. Gold dissolution in dry salt melts in the presence of SiO2 as a function of P(O2) // Geochem. Int. 2018. V. 56. P. 240–245. https://doi.org/10.1134/S0016702918030084
- Simakin A., Salova T., Borisova A. Y., Pokrovski G. S., Shaposhnikova O., Tyutyunnik O., Bondarenko G., Nekrasov A., Isaenko S. I. Experimental study of Pt solubility in the CO-CO2 fluid at low fO2 and subsolidus conditions of the ultramafic-mafic intrusions // Minerals. 2021. V. 11. P. 225. https://doi.org/10.3390/min11020225
- Sullivan N. A., Zajacz Z. J., Brenan M., Tsay A. The solubility of platinum in magmatic brines: Insights into the mobility of PGE in ore-forming environments // Geochimica et Cosmochimica Acta. 2022. V. 316. P. 253–272.
- Kim J. H., Woo S. I. Chemical dry etching of platinum using Cl2/CO gas mixture // Chemistry of Materials. 1998. V. 10 (11). P. 3576–3582. https://doi.org/10.1021/cm980337o
- Mathez E. A., Dietrich V. J., Holloway J. R., Boudreau A. E. Carbon distribution in the Stillwater complex and evolution of vapor during crystallization of Stillwater and Bushveld magmas // Journal of Petrology. 1989. V. 30 (1). P. 153–173. https://doi.org/10.1093/petrology/30.1.153
- Barin I. Thermochemical data of pure substances. Weinheim. New York: VCH, 1995. P. 1885. https://doi.org/10.1002/978352761982
- Thomas R. W., Wood B. J. The chemical behavior of chlorine in silicate melts // Geochimica et Cosmochimica Acta. 2021. V. 294. P. 28–42. https://doi.org/10.1016/j.gca.2020.11.018
- Boudreau A. E. Melt and Fluid Inclusion Evidence. In hydromagmatic processes and platinum-group element deposits in layered intrusions // Cambridge: Cambridge University Press. 2019. P. 101–113.
- Alcaraz, L., Sotillo B., Marco J. F., Alguacil F. J., Fernández P., López F. A. Obtention and characterization of ferrous chloride FeCl2·4H2O from water pickling liquors // Materials. 2021. V. 14. P. 4840. https://doi.org/10.3390/ma14174840
- Meneses F. Qi R., Healey A. J., You Yi, Robertson I. O., Scholten S. C., Keerthi A., Harrison G., Hollenberg L. C.L., Radha B., Tetienne J.-P. Stray magnetic field imaging of thin exfoliated iron halides flakes // [cond-mat.mtrl-sci]. 2023. https://doi.org/10.48550/arXiv.2307.10561
- Scholten L., Schmidt C., Lecumberri-Sanchez P., Newville M., Lanzirotti A., Sirbescu M. C., Steele-MacInnis M. Solubility and speciation of iron in hydrothermal fluids // Geochimica et Cosmochimica Acta. 2019. V. 252. P. 126–143. https://doi.org/10.1016/j.gca.2019.03.001
- Churakov S. V., Gottschalk M. Perturbation theory based equation of state for polar molecular fluids: II. Fluid mixtures // Geochimica et Cosmochimica Acta. 2003. V. 67(13). P. 2415–2425. https://doi.org/10.1016/S0016-7037(02)01348-0
- Hanf N. W., Sole M. J. High-temperature hydrolysis of sodium chloride // Transactions of the Faraday Society. 1970. V. 66. P. 3065–3074. https://doi.org/10.1039/TF9706603065
- Aranovich L. Ya., Newton R. C. H2O activity in concentrated KCl and KCl–NaCl solutions at high temperatures and pressures measured by the brucite-periclase equilibrium // Contributions to Mineralogy and Petrology. 1997. V. 127. P. 261–271. https://doi.org/10.1007/s004100050279
- Hanley J. J., Mungall J. E., Pettke T., Spooner E. T. C., Bray C. J. Fluid and halide melt inclusions of magmatic origin in the ultramafic and lower banded series, Stillwater Complex, Montana, USA // Journal of Petrology. 2008. V. 49 (6). P. 1133–1160. https://doi.org/10.1093/petrology/egn020
Дополнительные файлы







