Composition and thermochronology of alkaline granites of Ingur massif: to problem of detection of factors contributing to formation of rare-metal mineralization in alkaline granites of Western Transbaikalia
- Authors: Lykhin D.A.1, Yarmolyuk V.V.1, Vorontsov A.A.2, Magazina L.O.1
-
Affiliations:
- Institute of Geology of Ore Deposits, Petrography, Mineralogy, and Geochemistry, Russian Academy of Sciences
- A.P. Vinogradov Institute of Geochemistry, Siberian Branch of the Russian Academy of Sciences
- Issue: Vol 516, No 2 (2024)
- Pages: 543-557
- Section: PETROLOGY
- Submitted: 12.12.2024
- Published: 15.03.2024
- URL: https://journal-vniispk.ru/2686-7397/article/view/272958
- DOI: https://doi.org/10.31857/S2686739724060066
- ID: 272958
Cite item
Full Text
Abstract
The article considers the question of what factors contributed to the formation of rare metal mineralization in alkaline granites of Western Transbaikalia. It is based on the results of comparison of petro-geochemical characteristics of alkaline granitoids of nearby ore-bearing Ingur and ore-free Sherbakhtinsky massifs. The rocks of these massifs form a common series of compositions with variations from syenites to alkaline granites (in the Sherbakhtinsky massif) and from alkaline granites to pegmatites (in the Ingur massif). The formation of this series of rocks is associated with a deep differentiation of the original magma common to both massifs, accompanied by a sequential decrease in magnesiality and the accumulation of rare elements (Be, Ta, Nb, Th, U, HREE) in residual melts. They reach the highest values in the pegmatites of the Ingur massif, in which rare metal mineralization appears. Its formation is associated with the fact that, according to thermochronological studies, the Ingur massif for 6 million years was located in the temperature range from 900° to 500°. Such a long stay in the region of high temperatures was accompanied not only by deep differentiation of residual melts, but also stimulated fluid activity, which contributed to the redistribution and accumulation of ore elements in pegmatites.
Full Text
Территория Западного Забайкалья является крупной полихронной провинцией щелочногранитоидного магматизма [1–3]. В её пределах совмещены проявления позднепалеозойских, ранне- и позднемезозойских щелочных гранитоидов, формирование которых происходило без больших возрастных перерывов в интервале между 300 и 140 млн лет [3]. Причины столь длительной истории их формирования связаны с тем, что регион в позднем палеозое и мезозое неоднократно подвергался воздействию мантийных плюмов, что определило исключительно высокую продуктивность магматизма в это время и способствовало появлению здесь трёх крупнейших батолитов мира – позднекаменноугольного-раннепермского Ангаро-Витимского, позднепермского-раннетриасового Хангайского и позднетриасового-раннеюрского Хэнтейского [4]. Батолиты стали центрами крупных одновозрастных им зональных магматических ареалов, отвечавших проекциям плюмов на земную поверхность [4]. Внешние зоны ареалов формировались в режиме растяжения и характеризовались бимодальным и щёлочно-гранитоидным магматизмом. Территория Западного Забайкалья оказалась в зоне пересечения внешних зон этих зональных ареалов, что и определило длительный и многоэтапный характер щёлочно-гранитоидного магматизма в её пределах.
Разновозрастные щелочные граниты Западного Забайкалья обладают близкими особенностями состава, для них типичны повышенные содержания несовместимых редких элементов, что позволяет рассматривать их как потенциально рудоносные в отношении редких металлов и РЗЭ. Действительно, среди проявлений щёлочногранитоидного магматизма известен ряд массивов-месторождений с редкометальной минерализацией [5, 6]. Однако они немногочисленны на фоне широкого распространения щелочных гранитоидов в регионе и, скорее, являются исключением, чем правилом. Для образования рудной минерализации в щелочных гранитах, очевидно необходимы особые геологические условия. В этой статье на примере Ингурского массива рассмотрено, какие факторы способствовали появлению в его породах редкометальной минерализации. В основу работы положены характеристики состава пород массива, а также данные по термохронологии его формирования. Для сравнения будут использованы данные по Шербахтинскому массиву щелочных гранитоидов, который, во-первых, расположен рядом с Ингурским массивом и, во-вторых, по данным [3] является типичным представителем щёлочногранитоидного магматизма в Западном Забайкалье.
ГЕОЛОГИЧЕСКАЯ ХАРАКТЕРИСТИКА
Ингурский массив щелочных гранитов (рис. 1) был открыт А.А. Малышевым, а изучением его строения и минерального состава занимались [5, 7, 8]. Массив находится в пределах Витимского плоскогорья в Западном Забайкалье, в среднем течении р. Витим. Его выходы прослеживаются неширокой полосой (5 км) в северо-восточном направлении на расстоянии около 25 км (~100 км2). Контакты массива тектонические и, как правило, проходят по речным долинам. С севера к массиву примыкают граниты баргузинского комплекса. На южном контакте массив перекрыт четвертичными базальтами, а на юго-восточном и юго-западном – конгломератами, гравелитами, песчаниками и горючими сланцами меловой тургинской свиты.
Рис. 1. Схема геологического строения Ингурского массива по [5, 9]. На врезке показано положение района в структурах складчатого обрамления Сибирской платформы. 1 – современные речные отложения: галечники, пески, глины; 2 – четвертичные речные и озерные отложения: галечники, пески, глины; 3 – четвертичные базальты; 4 – раннемеловые отложения, тургинской свиты: конгломераты, гравелиты, песчаники, горючие сланцы; 5–8 – породы Ингурского массива: 5 – щелочные биотит-рибекитовые граниты; 6 – субщелочные биотитовые, аляскитовые и арфведсонитовые граниты, 7 – дайки диабазов, габбро-диоритов; 8 – пегматитовые тела и их номера; 9 – разрывные нарушения; 10 – места отбора проб и их номера; 11–16 – условные к врезке: 11 – массивы щелочных пород и зоны их распространения (Сын – Сыннырская, Уд-Вит – Удино-Витимская, Сж – Сайженская, В-С – Восточно-Саянская; 12 – гранитоиды Ангаро-Витимского батолита; 13 – комплексы позднепалеозойских краевых поясов; 14 – Сибирская платформа; 15 – палеоконтинет; 16 – палеоазиатский океан.
В 5 км к северо-западу от Ингурского массива расположен более крупный (~220 км2) Шербахтинский массив щёлочнополевошпатовых сиенитов и щелочных гранитов. Вмещающими для него являются граниты баргузинского комплекса и гнейсы протерозойской (Pt1?tl) талалинской свиты [9]. U–Pb (SHRIMP-II)-возраст циркона Ингурского плутона оценен в ~272 млн лет [8], возраст циркона (SHRIMP RG и LA-ICP-MS) из пород Шербахтинского массива составляет 260 млн лет [3]. По геологическим данным оба массива отнесены к куналейскому комплексу триасового возраста [9]. Отличительной особенностью пород Ингурского массива является то, что с ними связано Верхнеингурское редкометальное Ta–Nb-рудопроявление [5].
Ингурский массив имеет зональное строение, внешнее обрамление представлено щелочными биотит-рибекитовыми гранитами, тогда как центральная часть (~40 км2) сложена разнозернистыми субщелочными биотитовыми, аляскитовыми и арфведсонитовыми гранитами. Встречаются отдельные дайки щелочных гранитов, гранит-порфиров, сиенит-порфиров, диабазов и габбро-диоритов. Особенностью массива являются шлировые пегматиты, которые встречаются в центральной части, но более тяготеют к внешней, северной зоне массива и к разрывным нарушениям субширотного и северо-восточного простирания. С пегматитами связана Ta–Nb-минерализация. Всего выделено семь шлировых пегматитов [5]. Это крупные зональные тела (60×30 м) с кварцевым линзовидным ядром, окружённым блоковым пегматитом, содержащим гнёзда с редкометальным оруденением. Наиболее крупными и обогащёнными редкометальной минерализацией являются тела № 1, 2, и 6, которые сосредоточены в зоне разлома отделяющего биотит-рибекитовые граниты от субщелочных биотитовых, аляскитовых и арфведсонитовых гранитов. В пегматитах № 1 и 2 также помимо Ta–Nb-присутствует бериллиевая минерализация.
Биотит-рибекитовые граниты массива – это массивные серовато-розовые средне-крупнозернистые породы с гипидиоморфнозернистой структурой. В составе пород полевые шпаты (микроклин с характерной решёткой (30–40%) и альбит-олигоклаз (30–35%)), кварц (20–30%), биотит (до 5%), амфибол (1%). Акцессорные минералы представлены магнетитом, ильменитом, цирконом, сфеном, ортитом, апатитом, монацитом, касситеритом, топазом, гематитом, эпидотом, лейкоксеном.
Центральная часть массива сложена субщелочными биотитовыми, аляскитовыми и арфведсонитовыми гранитами. Это розовато-бурые средне-крупнозернистые породы с гипидиоморфнозернистой структурой. Они сложены микроклин-пертитом (40–45%), кварцем (30–%), альбит-олигоклазом (20–25%), амфиболом (2–3%), биотитом (2–3%). В арфведсонитовых гранитах содержание амфибола доходит (до 5–7%) при примерно тех же соотношениях остальных породообразующих минералов. Акцессорные минералы в гранитах представлены магнетитом, ильменитом, флюоритом, галенитом, сфалеритом, касситеритом, цирконом, торитом, апатитом, ортитом, монацитом, топазом и Ta–Nb-минералом (ампангабеит-самирезитом).
Шлировые пегматиты во внешней, крайне невыдержанной по мощности зоне это среднезернистые породы с гипидиоморфнозернистой структурой, в центральной части это уже крупнозернистые породы с субграфической структурой и гнёздами кварца. Пегматиты состоят в основном из микроклин-пертита (50–60%) с характерной решёткой, кварца (30–40%), альбита (10–20%), амфибола (5%) и биотита (1–2%). Также в пегматитах встречаются флюорит, ильменит, галенит, сфалерит, гематит, магнетит (часто обогащённого титаном вплоть до титаномагнетита), рутил, касситерит, сфен, анатаз, эпидот, хлорит, циркон, малакон, торит, ферриторит, ксенотим, монацит, бастнезит, редкоземельный карбонат (иттропаризит) а также бериллиевые минералы, представленные гельвином и фенакитом (рис. 2). Ta–Nb-минералы в пегматитах имеют метамиктное строение и сложный до конца не выясненный, спорный химический состав. По данным [5, 7] они отвечают самирезиту, который развивается в виде псевдоморфоз по другому Ta–Nb-минералу, возможно, ампангабеиту. В рутиле и ильмените отмечается присутствие Nb2O5 до 3.51 мас. %, ильменит часто обогащён MnO до 12.32 мас. %. Нами также диагностирован цериевый флюоцерит (CeO2 до 31.85 мас. %) (рис. 2 е, л) и ранее не определённый, метамиктный, ториевый минерал (ThO2 41.63 мас.%) с примесью P2O5 до 13.89 мас. % и Y2O3 до 10.42 мас. % (рис. 2 и). Характерными вторичными минералами являются хлорит, гематит, гидроокислы железа и марганца.
Рис. 2. Фотографии щелочных гранитов а–в (Вит-1/15) и пегматитов г–м (ИГХ-2/3, 2/4, 2/6, 4/1), а – со скрещенными николями; остальные – в отражённых электронах, сделанные на аналитическом сканирующем электронном микроскопе JSM-5610LV с рентгеновским энергодисперсионным спектрометром Oxford INCA 450.
а – биотит-рибекитовые граниты с гипидиоморфнозернистой структурой и идиоморфным амфиболом; б – циркон и ильменит с примесью марганца и включениями кварца и пироксена в гранитах; в – циркон с включением апатита и ильменит с примесью марганца и фторкарбонатом в срастании с амфиболом; г – циркон с включением магнетита в биотите; д – срастание кристаллов магнетита и циркона в биотите; е – графическое срастание рутила, цериевого флюоцерита и кварца в биотите; ж – кристаллы циркона, монацита, магнетита в амфиболе; з – кристаллы магнетита, монацита, ильменита и циркона в амфиболе; и – метамиктный кристалл неизвестного минерала тория с примесью фосфора и иттрия в срастании с амфиболом; к – кристаллы ильменита и полностью распавшегося зерна с примесью Th и REE (предположительно вышеуказанный Th-минерал) в срастании с амфиболом; л – распад неизвестного минерала с образованием цериевого флюоцерита со всеми переходными фазами, а так же рутила и циркона; м – кристаллы циркона, монацита и рутила в альбит-полевошпатовом пегматите.
ТЕРМОХРОНОЛОГИЧЕСКИЕ ИССЛЕДОВАНИЯ
Возраст пород Ингурского массива, установленный по циркону из щелочных гранитов U–Pb (SHRIMP-II)-методом, составил ~272 млн лет [8]. Для оценки длительности его остывания был оценен возраст закрытия К–Ar-изотопной системы в амфиболе из щелочных лейкогранитов массива. Изотопные исследования проведены в ИГМ СО РАН по методике, описанной в работе [10]. В спектре амфибола около 85% 39Ar образуют хорошо выраженное средне-высокотемпературное пятиступенчатое плато, соответствующее возрасту 266±7 млн лет (рис. 3, табл. 1). Одна более низкотемпературная и три более высокотемпературные ступени, имеют несколько отличный возраст, но общий интегральный возраст, полученный по всем девяти плато, полностью совпадает – 267.0±3.4 млн лет. Таким образом, полученный нами возраст – 266±7 млн лет соответствует возрасту закрытия 40Ar/39Ar-изотопной системы в амфиболе щелочных лейкогранитов Ингурского массива.
Рис. 3. Результаты 40Ar/39Ar-исследования методом ступенчатого прогрева амфибола из гранитов Ингурского массива.
Таблица 1. Результаты 40Ar/39Ar-датирования
T°C | t (мин) | 40Ar(STP) | 40Ar/39Ar | ±١σ | 38Ar/39Ar | ±١σ | 37Ar/39Ar | ±١σ | 36Ar/39Ar | ±١σ | Ca/K | ∑39Ar (%) | Возраст (млн лет) ±١σ | ±١σ |
Амфибол ВИТ-3/1, навеска 121.65 мг, J = 0.005042±0.000053*; интегр/возраст = 267.0±3.4 млн лет; возраст плато (825–1050°С, 81% выделенного 39Ar) = 266.0±3.5 млн лет | ||||||||||||||
500 | 10 | 19.8*e–9 | 106.40 | 1.01 | 0.0759 | 0.0112 | 0.02 | 0.59 | 0.2657 | 0.0094 | 0.072 | 1.56 | 237.3 | 21.8 |
650 | 10 | 23.1*e–9 | 36.74 | 0.16 | 0.0136 | 0.0023 | 0.20 | 0.23 | 0.0120 | 0.0024 | 0.722 | 6.86 | 279.2 | 6.6 |
750 | 10 | 35.4*e–9 | 33.38 | 0.02 | 0.0157 | 0.0014 | 0.21 | 0.18 | 0.0021 | 0.0006 | 0.751 | 15.78 | 275.8 | 3.6 |
825 | 10 | 61.7*e–9 | 32.24 | 0.03 | 0.0165 | 0.0011 | 0.37 | 0.04 | 0.0030 | 0.0010 | 1.335 | 31.87 | 264.8 | 3.9 |
875 | 10 | 105.4*e–9 | 31.82 | 0.02 | 0.0135 | 0.0002 | 0.48 | 0.04 | 0.0009 | 0.0006 | 1.733 | 59.71 | 266.3 | 3.5 |
900 | 10 | 23.8*e–9 | 32.94 | 0.06 | 0.0115 | 0.0016 | 0.48 | 0.14 | 0.0049 | 0.0018 | 1.727 | 65.79 | 265.9 | 5.4 |
975 | 10 | 106.0*e–9 | 31.87 | 0.03 | 0.0151 | 0.0003 | 0.45 | 0.03 | 0.0010 | 0.0009 | 1.606 | 93.75 | 266.6 | 3.8 |
1050 | 10 | 14.2*e–9 | 32.65 | 0.06 | 0.0162 | 0.0014 | 0.39 | 0.21 | 0.0037 | 0.0019 | 1.415 | 97.41 | 266.3 | 5.4 |
1130 | 10 | 10.4*e–9 | 33.73 | 0.10 | 0.0182 | 0.0004 | 0.64 | 0.17 | 0.0117 | 0.0030 | 2.313 | 100.00 | 256.2 | 7.6 |
Примечание. * J – параметр, характеризующий величину нейтронного потока.
ПЕТРОХИМИЧЕСКАЯ И ГЕОХИМИЧЕСКАЯ ХАРАКТЕРИСТИКА РУДОПРОЯВЛЕНИЯ
Особенности химического состава биотит-рибекитовых гранитов внешнего обрамления Ингурского массива, аляскитовых и арфведсонитовыех гранитов его центральной части, а также пегматиты из первого и четвертого рудных тел отражены в (табл. 2). На диаграмме SiO2–(Na2O+K2O) (рис. 4) граниты попадают в поле умеренно щелочных лейкогранитов: SiO2 варьирует от 73.32 до 77.16 мас. %, а Na2O+K2O колеблется от 8.56 до 9.26 мас. %, при преобладании калия (K2O/Na2O ~1.1), коэффициент агпаитности (Kа ~0.95). По содержанию К2О породы в основном отвечают высококалиевой серии, с ростом величины SiO2 содержание К2О снижается и наиболее кислые пегматиты попадают в поле умереннокалиевых пород.
Таблица 2. Химический состав (мас. %) и содержания элементов-примесей (г/т) в гранитах и пегматитах Ингурского массива
компоненты | ВИТ-3/1 | ВИТ-3/2 | ВИТ-1/15 | ВИТ-2/15 | ИНГ-1/1 | ИНГ-4/1 |
Щелочные биотит рибекитовые. аляскитовые и арфведсонитовые граниты | ||||||
SiO2 | 75.38 | 77.16 | 74.04 | 73.45 | 74.24 | 73.32 |
TiO2 | 0.22 | 0.19 | 0.22 | 0.27 | 0.18 | 0.21 |
Al2O3 | 12.74 | 12.33 | 12.24 | 12.47 | 12.08 | 12.84 |
FeOобщ | 1.84 | 1.14 | 3.21 | 3.51 | 3.42 | 3.02 |
MnO | 0.06 | 0.01 | 0.094 | 0.102 | 0.058 | 0.089 |
MgO | 0.05 | 0.05 | 0.10 | 0.14 | 0.05 | 0.10 |
CaO | 0.20 | 0.19 | 0.27 | 0.33 | 0.29 | 0.42 |
Na2O | 4.13 | 3.64 | 4.25 | 4.28 | 4.16 | 4.44 |
K2O | 5.13 | 4.95 | 4.38 | 4.51 | 4.40 | 4.55 |
P2O5 | 0.03 | 0.02 | 0.03 | 0.03 | 0.02 | 0.02 |
П.п.п. | 0.15 | 0.35 | 0.99 | 0.70 | 0.91 | 0.77 |
Сумма | 99.94 | 100.03 | 99.84 | 99.81 | 99.83 | 99.80 |
Na2O+K2O | 9.26 | 8.59 | 8.63 | 8.79 | 8.56 | 8.99 |
Kа | 0.97 | 0.92 | 0.96 | 0.96 | 0.96 | 0.95 |
K2O/Na2O | 1.24 | 1.36 | 1.03 | 1.05 | 1.06 | 1.02 |
Be | 4.44 | 3.30 | 4.87 | 5.98 | 8.38 | 13 |
Sc | 4.04 | 2.83 | 4.49 | 5.89 | 3.05 | 3.52 |
Ti | 1337 | 1127 | 1319 | 1618 | 1079 | 1259 |
V | 8.26 | 7.48 | 3.11 | 4.28 | 2.68 | 3.33 |
Cr | 78.90 | 71.20 | 17.8 | 16.1 | 21.5 | 8.73 |
Co | 0.64 | 0.83 | 0.99 | 1.77 | 1.52 | 1.11 |
Ni | 9.79 | 8.62 | 4.85 | 6.87 | 9.93 | 5.58 |
Cu | н/о | н/о | 8.54 | 11 | 15.8 | 10.8 |
Zn | 81.50 | 24.80 | 95.2 | 109 | 85.2 | 134 |
Ga | 23.50 | 22.70 | 27.3 | 32.3 | 31.1 | 26.3 |
Rb | 237.00 | 204.00 | 187 | 201 | 264 | 357 |
Sr | 7.19 | 8.90 | 12.4 | 13.1 | 14.9 | 24 |
Y | 58.90 | 37.10 | 22.9 | 35.7 | 49.8 | 60.7 |
Zr | 747.00 | 544.00 | 103 | 105 | 216 | 212 |
Nb | 39.70 | 30.00 | 19.3 | 26.2 | 30 | 46.1 |
Ba | 52.5 | 54.5 | 103 | 100 | 94.6 | 127 |
La | 55.2 | 25.6 | 62.6 | 89.6 | 64.5 | 64.7 |
Ce | 101 | 44.7 | 122 | 208 | 129 | 125 |
Pr | 14.7 | 7.58 | 13.6 | 19.8 | 14.3 | 14 |
Nd | 56.2 | 27.5 | 44 | 65.9 | 46.3 | 47.7 |
Sm | 12 | 6.13 | 8.06 | 12.5 | 8.8 | 8.75 |
Eu | 0.6 | 0.36 | 0.43 | 0.63 | 0.47 | 0.54 |
Gd | 11.2 | 5.89 | 5.71 | 8.8 | 6.93 | 7.09 |
Tb | 1.84 | 1.01 | 0.79 | 1.26 | 1.22 | 1.19 |
Dy | 10.9 | 6.02 | 4.19 | 6.5 | 6.72 | 7.16 |
Ho | 2.24 | 1.37 | 0.72 | 1.25 | 1.4 | 1.630 |
Er | 6.59 | 3.98 | 2.36 | 3.37 | 4.53 | 5.2 |
Tm | 1.08 | 0.72 | 0.37 | 0.5 | 0.68 | 0.900 |
Yb | 7.71 | 4.77 | 3.39 | 4.02 | 4.82 | 6.44 |
Lu | 0.99 | 0.61 | 0.59 | 0.68 | 0.79 | 1.07 |
Hf | 18 | 13.4 | 3.75 | 3.94 | 7.16 | 9.43 |
Ta | 2.98 | 2.1 | 1.6 | 1.65 | 3.08 | 3.71 |
Pb | 8.36 | 3.83 | 8.34 | 13.5 | 15.1 | 37.6 |
Th | 32.7 | 27.5 | 19.2 | 20.2 | 33.3 | 39.5 |
U | 5.23 | 3.75 | 2.2 | 3.64 | 7.02 | 9.19 |
REE | 282.25 | 136.24 | 268.81 | 422.81 | 290.46 | 291.37 |
Примечание. П. п. п. – потери при прокаливании, н/о ‒ не определялось, Ка ‒ коэффициента гпаитности, FeOобщ ‒ железо общее.
Продолжение таблицы 2
ИНГ-2/1 | ИНГ-2/4 | ИНГ-2/5 | ИНГ-2/6 | ИНГ-2/7 | ИНГ-2/8 | ИНГ-2/9 | ИНГ-2/10 |
Пегматиты 4 рудного тела | |||||||
76.37 | 70.96 | 74.31 | 73.91 | 75.68 | 79.07 | 75.26 | 75.49 |
0.06 | 0.26 | 0.19 | 0.17 | 0.06 | 0.14 | 0.06 | 0.07 |
11.09 | 12.83 | 12.08 | 12.56 | 11.69 | 9.59 | 10.85 | 11.16 |
3.66 | 3.74 | 3.53 | 3.24 | 4.12 | 3.41 | 4.46 | 4.59 |
0.028 | 0.026 | 0.026 | 0.055 | 0.024 | 0.027 | 0.031 | 0.028 |
0.05 | 0.10 | 0.08 | 0.09 | 0.04 | 0.11 | 0.07 | 0.06 |
0.04 | 1.19 | 0.39 | 0.42 | 0.03 | 0.20 | 0.09 | 0.04 |
3.72 | 3.99 | 4.09 | 4.33 | 4.73 | 2.77 | 3.14 | 3.86 |
3.57 | 4.33 | 4.18 | 4.31 | 2.60 | 3.25 | 4.31 | 3.50 |
0.02 | 0.02 | 0.02 | 0.02 | 0.02 | 0.02 | 0.02 | 0.02 |
1.17 | 2.11 | 0.79 | 0.66 | 0.81 | 1.08 | 1.45 | 0.92 |
99.80 | 99.58 | 99.71 | 99.79 | 99.82 | 99.69 | 99.76 | 99.76 |
7.29 | 8.32 | 8.27 | 8.64 | 7.33 | 6.02 | 7.45 | 7.36 |
0.90 | 0.88 | 0.93 | 0.94 | 0.91 | 0.84 | 0.91 | 0.91 |
0.96 | 1.09 | 1.02 | 1.00 | 0.55 | 1.17 | 1.37 | 0.91 |
7.61 | 8.04 | 6.15 | 9.3 | 7.81 | 21.7 | н/о | н/о |
8.55 | 2.16 | 1.27 | 1.77 | 7.41 | 2.77 | н/о | н/о |
360 | 1558 | 1139 | 1019 | 360 | 839 | 360 | 420 |
2.64 | 4.17 | 4.21 | 4.04 | 3.05 | 2.78 | н/о | н/о |
17.4 | 7.57 | 13.6 | 9.81 | 11.9 | 14.4 | н/о | н/о |
1.39 | 1.31 | 1.63 | 1.54 | 1.29 | 1.47 | н/о | н/о |
7.07 | 6.95 | 9.77 | 8.45 | 7.57 | 8.19 | н/о | н/о |
12.1 | 12.4 | 16.5 | 37.3 | 13.9 | 13.2 | н/о | н/о |
390 | 577 | 285 | 198 | 354 | 611 | н/о | н/о |
33 | 42.1 | 30.3 | 31.7 | 31.6 | 27.4 | н/о | н/о |
496 | 442 | 439 | 362 | 339 | 430 | н/о | н/о |
6.91 | 35.6 | 28.3 | 34.3 | 6.35 | 14.6 | н/о | н/о |
16.8 | 272 | 85.6 | 76.1 | 18.6 | 200 | н/о | н/о |
83.4 | 233 | 133 | 153 | 83.6 | 148 | н/о | н/о |
28.6 | 64.6 | 41.4 | 34.2 | 35.1 | 88.2 | н/о | н/о |
71.7 | 99.4 | 129 | 135 | 63.4 | 78.2 | н/о | н/о |
7.3 | 136 | 70.7 | 79.8 | 9.69 | 36.8 | н/о | н/о |
13.1 | 285 | 142 | 168 | 16.8 | 80.1 | н/о | н/о |
2.08 | 36.8 | 15.3 | 17.2 | 2.8 | 12.6 | н/о | н/о |
7.49 | 133 | 50.8 | 56.8 | 9.93 | 46.9 | н/о | н/о |
2.08 | 40.7 | 10.3 | 11 | 2.7 | 16.6 | н/о | н/о |
0.16 | 2.51 | 0.54 | 0.67 | 0.17 | 1.09 | н/о | н/о |
1.79 | 39.4 | 7.68 | 9.24 | 2.12 | 17.4 | н/о | н/о |
0.46 | 7.3 | 1.32 | 1.49 | 0.39 | 4.06 | н/о | н/о |
2.78 | 40.3 | 8.62 | 9.03 | 2.75 | 28.1 | н/о | н/о |
0.57 | 7.670 | 2.120 | 2.01 | 0.74 | 6.31 | н/о | н/о |
2.02 | 20.9 | 8.58 | 6.18 | 2.49 | 20.9 | н/о | н/о |
0.42 | 3.12 | 1.23 | 0.96 | 0.44 | 3.28 | н/о | н/о |
3.95 | 21.4 | 8.72 | 6.64 | 3.69 | 21.4 | н/о | н/о |
0.72 | 2.89 | 1.43 | 1.01 | 0.66 | 2.79 | н/о | н/о |
5.86 | 12.7 | 5.89 | 5.56 | 5.89 | 9.6 | н/о | н/о |
2.97 | 5.93 | 3.3 | 2.78 | 3.53 | 9.93 | н/о | н/о |
389 | 688 | 301 | 68.2 | 331 | 582 | н/о | н/о |
19.6 | 107 | 70 | 39.3 | 20.5 | 71.5 | н/о | н/о |
5.15 | 24.5 | 8.57 | 6.61 | 4.02 | 18.7 | н/о | н/о |
44.92 | 776.99 | 329.34 | 370.03 | 55.37 | 298.33 | н/о | н/о |
Продолжение таблицы 2
Продолжение таблицы 2
ИНГ-3/1 | ИНГ-3/2 | ИНГ-3/3 | ИНГ-3/4 |
Пегматиты 1 рудного тела | |||
74.88 | 74.24 | 75.08 | 74.50 |
0.18 | 0.23 | 0.20 | 0.16 |
11.98 | 12.29 | 12.03 | 12.37 |
3.11 | 3.38 | 2.88 | 3.05 |
0.045 | 0.052 | 0.170 | 0.036 |
0.10 | 0.10 | 0.08 | 0.09 |
0.37 | 0.01 | 0.32 | 0.04 |
3.79 | 3.87 | 3.65 | 3.85 |
4.39 | 4.20 | 4.33 | 4.43 |
0.02 | 0.04 | 0.02 | 0.03 |
0.92 | 1.31 | 1.01 | 1.21 |
99.81 | 99.74 | 99.79 | 99.79 |
8.18 | 8.07 | 7.98 | 8.28 |
0.92 | 0.89 | 0.89 | 0.90 |
1.16 | 1.09 | 1.19 | 1.15 |
н/о | 9.95 | 7.46 | 6 |
н/о | 4.17 | 2.93 | 3.3 |
1079 | 1379 | 1199 | 959 |
н/о | 6.53 | 4.65 | 4.45 |
н/о | 13.1 | 13.5 | 13.2 |
н/о | 1.75 | 1.45 | 1.82 |
н/о | 6.24 | 8.48 | 8.35 |
н/о | 11.5 | 13.5 | 13.8 |
н/о | 128 | 125 | 107 |
н/о | 33.3 | 27.6 | 28.2 |
н/о | 359 | 364 | 395 |
н/о | 22 | 28.2 | 20.4 |
н/о | 26.4 | 37 | 20.1 |
н/о | 256 | 212 | 184 |
н/о | 45.2 | 43.8 | 30.3 |
н/о | 207 | 212 | 229 |
н/о | 135 | 76.5 | 76.8 |
н/о | 265 | 157 | 156 |
н/о | 25.9 | 15.3 | 15.4 |
н/о | 82.5 | 50.4 | 50.3 |
н/о | 14.1 | 9.24 | 9.15 |
н/о | 0.78 | 0.57 | 0.48 |
н/о | 9.02 | 6.28 | 5.36 |
н/о | 1.34 | 0.94 | 0.68 |
н/о | 4.73 | 6.67 | 3.14 |
н/о | 0.86 | 1.32 | 0.79 |
н/о | 2.99 | 3.54 | 2.02 |
н/о | 0.48 | 0.66 | 0.43 |
н/о | 4.1 | 4.72 | 2.75 |
н/о | 0.64 | 0.74 | 0.44 |
н/о | 11.7 | 10.4 | 8.78 |
н/о | 3.86 | 4.05 | 2.51 |
н/о | 47.1 | 44.6 | 35.2 |
н/о | 52.5 | 37.1 | 46.3 |
н/о | 8.56 | 8.61 | 5.12 |
н/о | 547.44 | 333.88 | 323.74 |
Окончание таблицы 2
Рис. 4. Составы пород Ингурского массива на петрохимических диаграммах. 1 – щелочные биотит-рибекитовые, аляскитовые и арфведсонитовые граниты; 2 – пегматиты, 3 – составы пород Шербахтинского массива по [3].
Для геохимического спектра гранитов характерно обогащение высокозарядными элементами – Th, U, а также Rb и резкое обеднение Ва, Sr, Ti. Содержание Nb небольшое (до 46 г/т), сумма РЗЭ до 423 г/т. Спектры РЗЭ характеризуются резкой отрицательной Eu-аномалией (Eu/Eu* ~0.19), и с преобладанием лёгких земель над тяжёлыми (La/Yb)n ~7.8 (рис. 5).
Рис. 5. Графики нормированного распределения элементов-примесей по [11] в гранитах и пегматитах Ингурского массива. 1 – граниты, 2 – пегматиты, 3 – щелочные граниты Шербахтинского массива по [3], 4 – раннемезозойские щелочные гранит-порфиры Центральной Монголии по [12].
Состав пегматитов (рис. 4) также отвечает полю умеренно щелочных лейкогранитов и лейкогранитов, содержания SiO2 в них варьирует от 70.96 до 79.07 мас. %, а сумма (Na2O+K2O) колеблется от 6.02 до 8.64 мас. % при преобладании калия (K2O/Na2O ~1.1), коэффициент агпаитности (Kа ~0.9). Пегматиты обогащены высокозарядными элементами – Th, U и Rb и обеднены Ва, Sr, Ti (рис. 5). Содержание Nb достигает 88 г/т, сумма РЗЭ до 777 г/т, спектры РЗЭ в них более разнообразные с чёткой отрицательной Eu-аномалией (Eu/Eu* ~0.21), с преобладанием лёгких земель над тяжёлыми (La/Yb)n ~10, и с варьирующими соотношениями средних и тяжёлых земель ((Gd/Yb)n от 0.4 до 1.2).
На графике (рис. 6) показано распределение ряда несовместимых элементов относительно Nb, являющегося высоко несовместимым элементом, который обычно используется в качестве индекса дифференциации составов. Отмечаются линейные зависимости, отвечающие пропорциональному росту Rb, Be, Th, U, а также средних и тяжёлых земель (Yb, Dy) с ростом содержания Nb. Наиболее высокие содержания этих элементов отмечаются в пегматитах с рудной минерализацией. Наблюдаемые зависимости для гранитов и пегматитов различаются особенностью распределения точек составов. Особенно выразительно эти различия отмечаются для Rb (рис. 6), но кроме того для Zr и Hf. В отличие от гранитов в пегматитах эти элементы слабо изменяются с ростом содержания Nb, что вероятно связано с их фракционированием из пегматитового расплава в составе полевого шпата и циркона. Несмотря на эти различия, в целом фиксируемые зависимости типичны для магматических систем, эволюция которых регулируется кристаллизационной дифференциацией общего исходного расплава.
Рис. 6. Распределение несовместимых элементов относительно Nb в породах Ингурского массива. Условные см. рис. 3. Серым цветом выделено поле составов пород Шербахтинского массива на основе данных [3].
ОБСУЖДЕНИЕ
Приведённые данные позволяют сделать вывод, что формирование пород Ингурского массива было связано с дифференциацией щёлочно-гранитоидного расплава и образованием пегматитов на завершающих стадиях этого процесса. Для пород массива получено два значения возраста ~272 млн лет (U-Pb, SHRIMP-II) [8] и ~266 млн лет (Ar-Ar). С учётом параметров закрытия изотопных систем (~800–900°С, циркон, U/Pb; ~500°С, амфибол) полученные оценки позволяет говорить, что магматические породы массива на протяжении 6 млн лет эволюционировали в диапазоне температур 900°–500°, что должно было способствовать глубокой дифференциации вещества в магматической камере.
Об исходном расплаве, участвовавшем в образовании пород Ингурского массива, можно судить, сопоставляя составы его пород и пород Шербахтинского массива (рис. 4–7). Сравнение спектров распределения рассеянных элементов в щелочных гранитах обоих массивов (рис. 5) свидетельствует об их большом сходстве. Существующие различия незначительные, так щелочные граниты Шербахтинского массива в целом имеют несколько более низкие содержания Th, U, Nb, Ta и тяжёлых РЗЭ, но более высокие Sr, P, Zr Hf. На графике (рис. 6) составы пород Шербахтинского массива попадают на общие тренды с породами Ингурского массива. Подобное сходство указывает на близость составов расплавов, участвовавших в образовании пород обоих массивов, а также на сходство процессов их дифференциации. Этим представлениям вполне соответствует общая для этих массивов геологическая обстановка – массивы размещены в непосредственной близости в пределах Удино-Витимской зоны каледонид, характеризуются близким возрастом формирования, их породы обладают близкими изотопными характеристиками (ε(Nd) = от –1.5 до –2.7) и близким Nd-модельным двухстадийным возрастом ~ 1.3 млрд лет [3, 8], что указывает на общие для них источники магматизма.
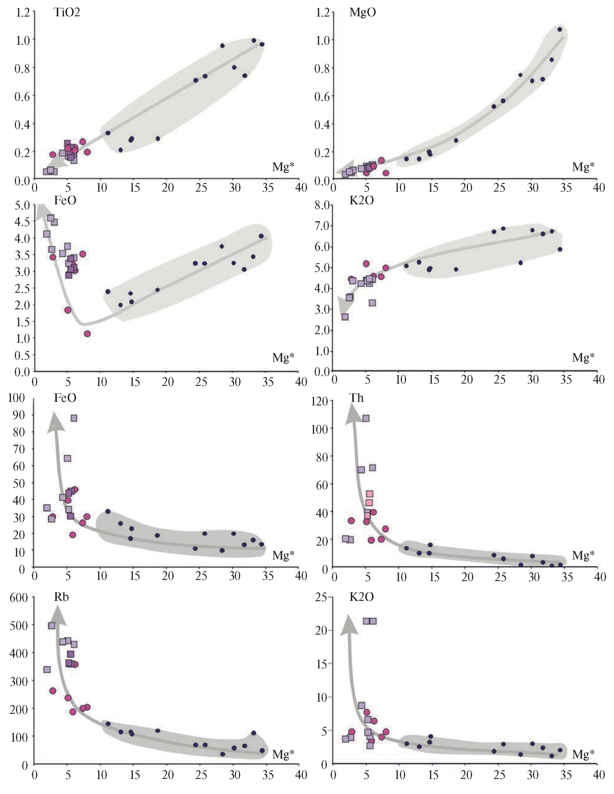
Рис. 7. Распределение петрогенных окислов и несовместимых элементов относительно величины Mg* в породах Ингурского и Шербахтинского массивов. Условные см. рис. 3. Серым цветом выделено поле составов пород Шербахтинского массива по данным [3].
На рис. 7 показано поведение ряда петрогенных окислов и рассеянных элементов в породах обоих массивов относительно величины магнезиальности MgO*, используемой в качестве индекса дифференциации. Их распределение подчиняется общим трендам, при этом магнезиальность пород Шербахтинского массива является более высокой (Mg*>10), чем в породах Ингурского массива (Mg*<1), что указывает на их менее выраженную дифференцированность. Соответственно в первых отмечаются более высокие содержания мафических петрогенных элементов (за исключением FeO) и более низкие содержания несовместимых элементов. Обратная корреляция между FeO и Mg* в породах Ингурского массива характерна для пантеллеритового тренда дифференциации, типичного для глубоко дифференцированных щёлочно-гранитоидных расплавов и обусловленного опережающей кристаллизацией полевых шпатов [13].
В целом совокупность составов Шербахтинского и Ингурского массивов образует общую последовательность, которую можно рассматривать как эволюционный ряд составов, возникший при дифференциации магм сиенитового состава. При этом породы Шербахтинского массива отвечают начальной фазе этого ряда, а породы Ингурского массива его завершению. Недостающие начальные члены подобного эволюционного ряда пород в Ингурском массиве, скорее всего, остались на других уровнях магматической системы. Формирование подобного дифференцированного ряда сопровождалось обогащением остаточных расплавов высоконесовместимыми элементами, наибольших содержаний они достигали в пегматитах. Именно в них появляется редкометальная минерализация.
Наряду с этим отметим, что содержания рудных элементов (Ta, Nb) в конечных дифференциатах щёлочно-гранитоидных расплавов сложно назвать экстремально высоким. На рис. 5 для сравнения приведён состав раннемезозойских пантеллеритов – щелочных гранит-порфиров Центральной Монголии [12], которые по сравнению с породами Ингурского массива обладают более высокими содержаниями большинства несовместимых элементов, но, тем не менее, не содержат проявленной редкометальной минерализацией. Тот факт, что в пегматитах Ингурского массива такая минерализация образуется, на наш взгляд, можно связать с длительным пребыванием пород массива в области высоких температур. Это способствовало их флюидной переработке, которая сопровождалась образованием пегматитов, а также перераспределением рудных элементов в предварительно обогащённых ими щелочных гранитах и пегматитах, что вело к образованию редкометальных руд.
Таким образом, изучение рудоносного Ингурского массива позволяет сделать вывод, что образование рудной минерализации в его породах определялось двумя процессами – глубокой дифференциацией расплавов с накоплением рудных элементов в остаточных их производных, а также длительным термостатированием массива в области высоких температур, создавшим условия для флюидной активности и концентрирования рудных элементов в пегматитах.
Источники финансирования
Аналитические работы выполнены в лаборатории редкометального магматизма ИГЕМ РАН в рамках темы Государственного задания, а геологические исследования проведены в НИР ИГХ СО РАН по теме № 0284-2021-0006.
About the authors
D. A. Lykhin
Institute of Geology of Ore Deposits, Petrography, Mineralogy, and Geochemistry, Russian Academy of Sciences
Author for correspondence.
Email: lykhind@rambler.ru
Russian Federation, Moscow
V. V. Yarmolyuk
Institute of Geology of Ore Deposits, Petrography, Mineralogy, and Geochemistry, Russian Academy of Sciences
Email: lykhind@rambler.ru
Academician of the RAS
Russian Federation, MoscowA. A. Vorontsov
A.P. Vinogradov Institute of Geochemistry, Siberian Branch of the Russian Academy of Sciences
Email: lykhind@rambler.ru
Russian Federation, Irkutsk
L. O. Magazina
Institute of Geology of Ore Deposits, Petrography, Mineralogy, and Geochemistry, Russian Academy of Sciences
Email: lykhind@rambler.ru
Russian Federation, Moscow
References
- Воронцов А. А., Ярмолюк В. В. Северо-Монгольская-Забайкальская полихронная рифтовая система (этапы формирования, магматизм, источники расплавов, геодинамика) // Литосфера. 2004. № 3. С. 17–32. https://www.lithosphere.ru/jour/article/view/354
- Занвилевич А. Н., Литвиновский Б. А., Андреев Г. В. Монголо-Забайкальская щелочногранитоидная провинция. М.: Наука, 1985. 232 с. https://search.rsl.ru/ru/record/01001255739
- Tsygankov A. A., Khubanov V. B., Udoratina O. V., et al Alkaline granitic magmatism of the Western Transbaikalia: Petrogenetic and geodynamic implications from U-Pb isotopic–geochronological data // Lithos. 2021. P. 390–391. 106098. https://doi.org/10.1016/j.lithos.2021.106098.
- Ярмолюк В. В., Козловский А. М., Травин А. В., и др. Длительность формирования и геодинамическая природа гигантских батолитов Центральной Азии: данные геологических и геохронологических исследований Хангайского батолита // Стратиграфия. Геологическая корреляция. 2019. Т. 27. № 1. С. 79–102. https://doi.org/10.31857/0869-592X27179-102
- Булнаев К.Б., Карманов Н.С. Редкометальное оруденение в шлировых пегматитах Ингурского массива щелочных гранитов (Западное Забайкалье) // Геология и разведка. 2005. № 2. С. 24–28. https://repository.geologyscience.ru
- Ярмолюк В.В., Кузьмин М.И. Позднепалеозойский и раннемезозойский редкометальный магматизм Центральной Азии: этапы, области и обстановки формирования // Геология рудных месторождений. 2012. Т. 54. № 5. С. 375–399. https://naukarus.com/pozdnepaleozoyskiy-i-rannemezozoyskiy-redkometalnyy-magmatizm-tsentralnoy-azii-etapy-oblasti-i-obstanovki-formirovaniya
- Горжевская С.А., Луговской Г.П., Сидоренко Г.А. Первая находка Самирезида в Советском Союзе // Докл. АН СССР. 1965. Т. 162. № 5. С. 1148–1151.
- Рампилова М.Н., Рампилов М.О. Избродин И.А. Особенности вещественного состава и возраст щелочных гранитов Ингурского массива, Западное Забайкалье // Геодинамик и тектонофизика. 2022. V. 13. I. 4. ARTICLE 0647. https://doi.org/10.5800/GT-2022-13-4-0647
- Государственная геологическая СССР масштаба 1:200 000. Лист N-49-XXIV. Объяснительная записка. М.: ВСЕГЕИ, 1965.
- Травин А.В., Бовен А., Плотников А.В. и др. датирование пластических деформаций в Иртышской сдвиговой зоне (Восточный Казахстан) // Геохимия. 2001. № 12. С. 1347–1351.
- Sun S.S, McDonough W.F. Chemical and isotopic systematic of oceanic basalts: implications for mantel composition and processes: magmatism in ocean basalts / Eds. A.D. Saunders, M.J. Norry. London: Geolog. Soc. (Spec. Publ.), 1989. V. 42. P. 313–346. https://doi.org/10.1144/GSL.SP.1989.042.01.19
- Андреева И.А., Борисовский С.Е., Ярмолюк В.В. Комендитовые расплавы раннемезозойской бимодальной ассоциации Сант (Центральная Монголия) и механизмы их формирования // Доклады РАН. 2018. Т. 481. № 4. https://www.elibrary.ru/item.asp?id=36516766
- Перетяжко И.С., Савина Е.А., Карманов Н.С. Комендиты и пантеллериты вулкана Немрут (Восточная Турция): условия образования и взимосвязи между трахит-комендитовыми, комендитовыми и пантеллеритовыми расплавами // Петрология. 2015. Т. 23. № 6. С. 624–672. https://www.elibrary.ru/item.asp?id=24187511
Supplementary files









