Extreme wind waves on the northeastern Shelf of the Black Sea
- Autores: Divinsky B.V.1, Saprykina Y.V.1
-
Afiliações:
- P.P. Shirshov Institute of Oceanology, Russian Academy of Sciences
- Edição: Volume 517, Nº 1 (2024)
- Páginas: 143-152
- Seção: OCEANOLOGY
- ##submission.dateSubmitted##: 13.12.2024
- ##submission.dateAccepted##: 13.12.2024
- ##submission.datePublished##: 15.05.2024
- URL: https://journal-vniispk.ru/2686-7397/article/view/273085
- DOI: https://doi.org/10.31857/S2686739724070159
- ID: 273085
Citar
Texto integral
Resumo
The research objective is an investigation of extreme storm waves in the coastal zone from Volna Village (Kerch Strait area) to Adler on the north-eastern Shelf of the Black Sea over a climatic time span. The primary research method is numerical modelling using the MIKE 21 SW spectral wave model. As a result of calculations, hourly fields of spatial distributions of key wave parameters were obtained for the Black Sea area from January 1979 to December 2023, i.e., for the past 45 years. The analysis was conducted considering the separation of the wave field into two components: wind waves and swell. The research revealed that over the last 45 years, the north-eastern coast of the Black Sea experienced the impact of 41 storms with significant wave heights exceeding 5 meters. Two November storms in 2007 and 2023 were truly extreme, with significant sea wave heights reaching 9 meters and power exceeding 500 kW/m. Average heights of storm waves along the coast varied between 4-6 meters, and average power was around 150 kW/m. The highest waves developed in the areas of Anapa, Utrish, and Idokopas. Average values of heights and powers of wind waves showed a general tendency to decrease when moving from the northwest coast to the southeast, while swell, on the contrary, increased. Several relatively homogeneous sections in terms of the development of wind waves and swell were identified in the coastal zone. In the structure of average storm waves between Volna and Anapa, wind waves absolutely dominate. Between Cape Myskhako and Idokopas, the contribution of wind waves to the total wave energy exceeds swell by 2–2.5 times. Between Arkhipo-Osipovka and Tuapse, the energy of wind waves slightly surpasses the energy of swell. Further, south of Tuapse, the contribution of swell becomes predominant. In terms of the ratio of the contribution of wind waves and swell along the coast, two distinct regions stand out: near Anapa, the overall wave climate is determined by wind waves, while in Adler, it is determined by swell.
Palavras-chave
Texto integral
ВВЕДЕНИЕ
Поверхностное ветровое волнение – один из определяющих факторов безопасности морского транспорта, освоения шельфовой зоны, развития прибрежных динамических процессов. Морское волнение непосредственно влияет на инфраструктуру, экологию и рекреационный потенциал побережья. Наибольший интерес (как теоретический, так и чисто практический) представляет изучение экстремального волнения, разрушительного в силу своей природы.
На Чёрном море под влиянием глубоких циклонов могут развиваться крайне опасные штормы со значительными высотами волн, в глубоководной части превышающими 12 м [1–6]. В наибольшей степени последствия прохождения экстремальных штормов испытывает прибрежная зона. По информации из открытых источников, в результате ноябрьского шторма 2023 г. в северо-восточной части Чёрного моря береговой инфраструктуре причинён крайне значительный ущерб, связанный с повреждением железнодорожных путей, разрушением набережных, причалов, эллингов, жилых домов, пляжных кафе. В Адлерском районе пострадали 8 из 13 пляжей, Анапе – 30, Геленджике – 69. Восстановление пляжной инфраструктуры Сочи обойдется в более чем 200, Севастополя – порядка 700 млн руб. Предварительная сумма общего ущерба, нанесённого только регионам Крыма в результате разгула стихии, составляет почти 40 млрд рублей.
Задачи планирования хозяйственной деятельности и предупреждения последствий опасных явлений природы нуждаются в информации об основных параметрах штормового волнения в прибрежной зоне, основанных на климатических данных. В условиях практически полного отсутствия действующих мониторинговых станций (в пределах юрисдикции России, имеем в виду), измеряющих характеристики морских волн, единственным методом исследований выступает математическое моделирование. Современные волновые модели хорошо себя зарекомендовали в приложении к любым акваториям Мирового океана в широком диапазоне пространственно-временно́й изменчивости.
Определим задачи настоящего исследования:
- выявить наиболее сильные штормы, развившиеся на северо-восточном побережье Чёрного моря за последние 45 лет, с 1979 по 2023 гг.;
- получить статистические характеристики основных параметров ветрового волнения (значительных высот волн и мощностей волнения) в выбранных точках прибрежной зоны черноморского побережья России (материковой части);
- проанализировать пространственные особенности распределений этих характеристик.
Отметим, что в структуре общего поверхностного волнения можно выделить, как правило, две основные компоненты, а именно чисто ветровое волнение, развитие которого приурочено к локальному полю приводного ветра, и зыбь, распространяющиеся вне зон генерации или же с фазовой скоростью, превышающей скорость ветра. При этом в условиях открытого океана волны зыби могут распространяться на многие сотни и даже тысячи километров. В замкнутом Чёрном море зыбь может быть только местной.
Статистические характеристики параметров чисто ветрового волнения и зыби различаются. По сравнению с волнами зыби ветровые волны обладают (как правило и для условий Чёрного моря) бо́льшими высотами и меньшими периодами. В связи с этим гидродинамические последствия воздействия ветровых волн и зыби на пляжи и сооружения в прибрежной зоне могут быть различными. К примеру, низкочастотные волны зыби могут генерировать опасные явления на защищённых акваториях (низкочастотные колебания). Недавние исследования показали [7], что ветровые волны и зыбь по-разному влияют на перераспределение и транспорт донных осадков, определяя или эрозию, или аккумуляцию донного материала.
В связи с этим, анализ штормовой активности на северо-восточном побережье Чёрного моря проведён с учётом разделения волнового поля на две компоненты (ветровое волнение и зыбь). Основной метод исследований – численное моделирование.
МАТЕРИАЛЫ И МЕТОДЫ
Расчёты климатических характеристик поверхностного волнения проведены с помощью современной спектральной волновой модели Датского Гидравлического института MIKE 21 SW [8]. Подробное описание модели, детали верификации, а также вопросы настройки модели для автоматического разделения компонент морского волнения изложены в работах [9, 10].
Выделим некоторые моменты:
- в модели MIKE 21 SW реализованы основные физические механизмы, связанные с зарождением, трансформацией и затуханием ветрового волнения;
- неравномерная расчётная сетка, состоящая из 10 тыс. расчётных элементов, покрывает акваторию Чёрного и Азовского морей;
- исходные поля ветра представляют собой выборку из массива данных ERA5, распространяемых Европейским центром среднесрочных прогнозов (http://apps.ecmwf.int). Географически расчётная область ограничена координатами 27–42° в. д. и 40.5–47.5° с. ш. с пространственным разрешением в 0.25°, дискретность по времени – 3 часа.
- 50 спектральных частот распределены в диапазоне волновых периодов от 1.6 до 17.3 с и подчиняются соотношению fn = f0Cn (f0 = 0.055 Гц, С = 1.05, n = 1,2,…50); разрешение модели по направлениям составляет 11.25°;
- разделение общего волнения на компоненты (чисто ветровые волны и зыбь) выполнено с использованием критерия, учитывающего “возраст” волн.
Корректность используемой модели подтверждена также на основании экспериментальных данных, полученных во время прохождения сильнейшего шторма в ноябре 2023 г. Параметры волн регистрировались донной станцией ADCP RDI WH 600 кГц (Teledyne RD Instruments), расположенной на глубине 23 м на траверсе Голубой бухты г. Геленджика (рис. 1 а) и входящей в состав гидрофизического полигона ИО РАН [11]. На рис. 1 b, c, d отображены временны́е ряды, соответственно, значительных высот волн, периодов пика спектра, средних направлений распространения волн за ноябрь 2023 г. Синие точки – экспериментальные данные, красные линии – результаты моделирования.
Рис. 1. Положение станции ADCP (a), значительные высоты волн (b), периоды пика спектра (с), средние направления волнения (d) за ноябрь 2023 г.
Как следует из рис. 1, используемая модель хорошо воспроизводит основные параметры поверхностного волнения (высоты волн, периоды, направления). К сожалению, 26 ноября, во время экстремального шторма, станция ADCP вышла из строя. Последняя величина значительных высот волн, записанная прибором, составила 4.5 м. Необходимо отметить, что сами по себе данные ADCP вряд ли можно назвать эталонными. В штормовых условиях в толще воды перемещается огромное количество водорослей, плавника, просто мусора (пластик и пр.), служащие рассеивателями акустических сигналов. Тем не менее, качественное и количественное (в целом) соответствие модельных данных натурным позволяет утверждать, что спектральная волновая модель, охватывающая всё море, вполне пригодна для исследований ветрового волнения в прибрежной зоне.
Результатом проведённых расчётов стал массив пространственных полей основных параметров общего (смешанного) волнения, а также его компонент за климатический отрезок времени в 45 лет, с января 1979 г. по декабрь 2023 г. Временна́я дискретность полей – 1 час.
Основными анализируемыми параметрами в нашем случае будут максимальные значительные высоты волн в штормах, а также максимальные мощности волнения. Заметим, что мощность служит весьма показательной характеристикой, поскольку является функцией двух основных интегральных параметров волнения, а именно высоты и периода. Мощность является энергетической характеристикой штормов и оценивается выражением [12]:
,
где hs – значительная высота волн, te – т.н. “энергетический” период волн, ρ – плотность воды, g – ускорение свободного падения. “Энергетический” период – это период монохроматической волны с мощностью, эквивалентной мощности данного нерегулярного волнения. te принимается равным 0.9tp (tp – период пика спектра). Мощность волнения выражается в киловаттах на метр волнового фронта.
На первом этапе анализируется общая волновая активность на северо-восточном шельфе за период 1979–2023 гг. и выделяются штормы, в которых величины значительных высот волн смешанного волнения превышают 5 м. Пороговое значение в 5 м принято по нескольким соображениям: (1) высоты волн такого размера характеризуют сильное волнение; (2) количество выбранных штормов должно обеспечивать статистическую значимость результатов.
Далее выбираются расчётные точки (всего 21 точка), расположенные вдоль побережья, в которых для каждого шторма находятся максимальные высоты значительных волн смешанного волнения и его компонент (чисто ветрового волнения и зыби), а также соответствующие максимальные мощности. Положение расчётных точек указано на рис. 2.
Рис. 2. Положение расчётных точек вдоль северо-восточного побережья Черного моря.
Расстояние по прямой между крайними пунктами (п. Волна и г. Адлер) составляет порядка 320 км. Глубина воды в каждой точке – 23 м.
РЕЗУЛЬТАТЫ И ОБСУЖДЕНИЕ
По результатам численного моделирования за последние 45 лет (с 1979 по 2023 гг.) выявлен 41 шторм с превышением значительной высоты волн в них отметки в 5 м. Параметры пяти наиболее сильных штормов приведены в табл. 1.
Таблица 1. Основные характеристики наиболее сильных штормов за период с 1979 по 2023 гг.
N | Год | Месяц | Максимальные значения | |
E, кВт/м | hs, м | |||
1 | 2007 | 11 | 518 | 9.0 |
2 | 2023 | 11 | 510 | 9.1 |
3 | 1988 | 3 | 372 | 8.0 |
4 | 1992 | 11 | 351 | 7.9 |
5 | 2000 | 1 | 346 | 7.9 |
Шестой по своей силе шторм наблюдался в январе 2007 г. и уже существенно уступал по своим характеристикам: E = 242 кВт/м, hs = 6.9 м.
Как следует из табл. 1, два шторма, 2007 и 2023 гг., по своим характеристикам значительно превосходят другие штормы. При этом по мощности доминирует шторм 2007 г., максимальной значительной высоте волн – событие 2023 г. Вполне вероятно, что развитие штормового волнения в этих двух штормах соответствует максимально возможному “идеальному” сочетанию условий волнообразования: длины разгонов, времени действия, пространственной устойчивости и скорости воздушных потоков.
Направления волнения по всей прибрежной полосе, естественно, несколько различны, общим при этом является сектор волнения на глубокой воде. Генеральное направление всех штормов – от юго-западного до западного.
Отметим, что, как показали исследования различных авторов [9, 13–15], Чёрное море не относится к самым бурным акватория. Среднегодовая мощность поверхностного волнения на Чёрном море составляет порядка 3–4 кВт/м. Для сравнения: западное побережье Шотландии испытывает воздействие штормового волнения со среднегодовыми показателями в ~40 кВт/м [16].
Три шторма из пяти сильнейших (табл. 1) приходились на ноябрь. На рис. 3 приведены гистограмма количества штормов по месяцам (а) и время формирования каждого шторма (b).
Как следует из рис. 3 а, зима – самый бурный сезон (ожидаемо, естественно), ноябрь – самый бурный месяц в году. Также обращает на себя внимание то обстоятельство, что в мае, июле, августе и октябре за последние 45 лет экстремальные штормы не развивались. За рассматриваемый климатический отрезок времени промежуток с 2000 по 2008 гг. является самым штормовым (рис. 3 b), на него приходится почти треть всех зарегистрированных штормов.
Рис. 3. Распределение количества штормов (с hs>5 м) по месяцам.
Типичная картина трансформации полей штормового волнения на Чёрном море приведена на рис. 4, где отображены карты распределений значительных высот волн общего (смешанного) волнения, а также его компонент за период прохождения шторма 26–27 ноября 2023 г.
Рис. 4. Поля значительных высот волн на Чёрном море 26-27.11.2023 г.
Как видно из рис. 4, 26 ноября вся центральная часть моря находится под влиянием развивающихся ветровых волн с высотами порядка 10 м. В ночь с 26 на 27 ноября основной удар стихии приходится на северо-восточное побережье между Анапой и южнее Геленджика. В это же время в восточной части Чёрного моря формируется сильная зыбь с высотами до 6 м. К утру 27 ноября, с ослаблением циклона, уменьшаются высоты ветровых волн, но по-прежнему ощутима зыбь в районе Туапсе–Адлер.
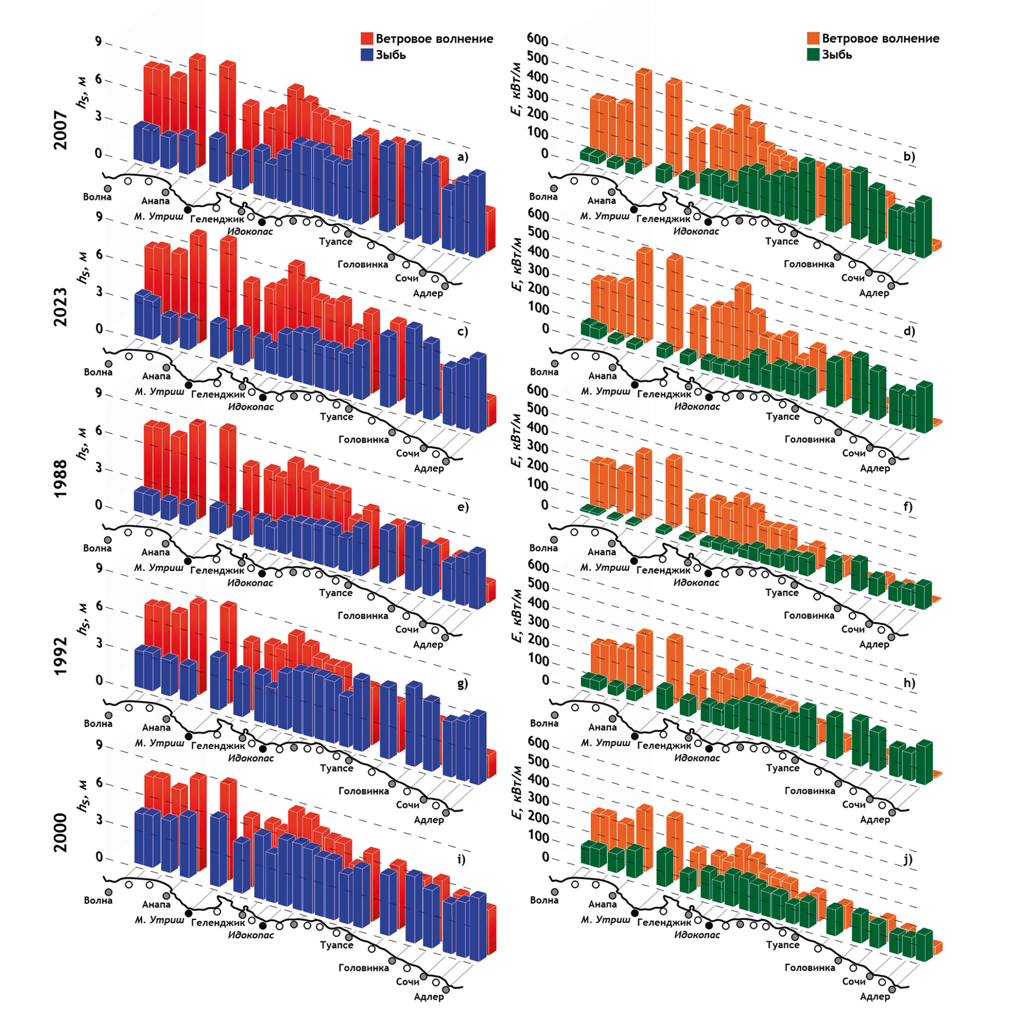
На рис. 5 в иллюстративной форме представлены максимальные значения значительных высот волн и мощностей компонент волнения в расчётных точках побережья для пяти сильнейших штормов из табл. 1: (a, b) – ноябрь 2007 г., (c, d) – ноябрь 2023 г., (e, f) – март 1988 г., (g, h) – ноябрь 1992 г., (i, j) – январь 2000 г.
Рис. 5. Максимальные значения значительных высот волн (левая колонка) и мощностей (правая) чисто ветрового волнения и зыби в пяти сильнейших штормах.
Рис. 5 наглядно демонстрирует основные пространственные особенности распределений максимальных характеристик штормов. На северо-восточном побережье наибольшее воздействие ветровых волн испытывают районы выдвинутых в море мысов Утриш и Идокопас, а также Анапы, расположенной северо-восточнее Утриша. По мере продвижения на юго-восток высоты и мощности ветровых волн падают, одновременно возрастает роль зыби. Как правило, наиболее мощная зыбь приходится на п. Головинка несколько южнее Туапсе. Если для всех пяти экстремальных штормов картина распределения максимальных hs и E ветрового волнения, в принципе, одинакова, то распределения характеристик зыби несколько различаются. Причина этого, скорее всего, в смене внешних атмосферных условий, приводящих к формированию нового волнового поля и затуханию старой зыби.
Ноябрьский шторм 2007 г. (рис. 5 a, b) характеризуется как экстремальным развитием ветровых волн, так и зыби. В марте 1988 г., в третьем по силе общего (смешанного) волнения шторме (рис. 5 e, f), наблюдалась небольшая (относительно, конечно) зыбь. В январе 2000 г. (пятый шторм, рис. 5 i, j) на м. Утриш пришёлся удар стихии с наибольшими показателями как ветровых волн, так и зыби.
Тем не менее, данные рис. 5 позволяют выявить основные тенденции трансформации компонент смешанного волнения на всём протяжении береговой зоны: при движении с СЗ (п. Волна) на ЮВ (г. Адлер) высоты и мощности ветровых волн уменьшаются, зыби – наоборот, возрастают.
На рис 6 и 7 представлены, соответственно, некоторые статистические характеристики максимальных значительных высот волн и мощностей в экстремальных штормах за период с 1979 по 2023 гг. для общего (смешанного) волнения и его компонент (чисто ветровых волн и зыби). Напомним, статистики получены после обработки данных по 41 шторму. Для смешанного волнения приведены средние и максимальные значения, для ветровых волн и зыби – средние, минимальные, максимальные, а также 25 и 75% квартили распределений.
Как следует из рис. 6, 7, во время прохождения экстремальных штормов ЮЗ–З-направлений наибольшее волнение развивается в районах Анапы, Утриша и Идокопаса. В этих местах значительные высоты смешанного волнения могут достигать отметок в 9 м, мощности – более 500 кВт/м. Для сравнения: в урагане Wilma, пронесшемся над Мексиканским заливом в 2005 г., максимальная мощность волнения составила 814 кВт/м [17]. Средние высоты смешанного волнения для всего побережья колеблются в пределах 4–6 м (рис. 6 а), средние мощности – порядка 150 кВт/м (рис. 7 а). Наиболее опасные ветровые волны также формируются в окрестностях Анапы, Утриша и Идокопаса, зыби – на участке от Туапсе до Головинки, а также в районе Адлера (рис. 6 b, 7 b). В Головинке волны зыби могут достигать 7.5 м, Адлере – 6.5 м.
Рис. 6. Статистические характеристики максимальных значительных высот волн в экстремальных штормах за период с 1979 по 2023 гг. (а) – общее (смешанное) волнение, (b) – компоненты волнения.
Рис. 7. Статистические характеристики максимальных мощностей в экстремальных штормах за период с 1979 по 2023 гг. (а) – общее (смешанное) волнение, (b) – компоненты волнения.
Сравнительно небольшие размахи между 25 и 75% квартилями говорят о том, что половины выборок довольно близко группируются вокруг среднего значения.
Средние значения высот и мощностей ветровых волн имеют общую тенденцию уменьшаться при движении с северо-западной части побережья на юго-восточную, зыби – увеличиваться. Весьма показателен в этом отношении рис. 8, на котором приведены отношения средних мощностей ветровых волн Ew и зыби Es вдоль северо-восточного побережья Чёрного моря.
Рис. 8. Отношение средних мощностей ветровых волн и зыби вдоль побережья.
Как следует из рис. 8, вдоль рассматриваемого побережья обнаруживаются несколько сравнительно однородных участка. В структуре штормового волнения в среднем (это важно) между п. Волна и Анапой абсолютно доминирует ветровое волнение. Между мысами Мысхако и Идокопас вклад ветровых волн в общую энергию волнения в 2–2.5 раза превышает вклад зыби. Между Архипо-Осиповкой и Туапсе энергия чисто ветрового волнения лишь немногим превышает энергию зыби. Южнее Туапсе вклад зыби становится преобладающим. В масштабах всего побережья выделяются два района: в окрестностях Анапы волновой климат практически полностью определяется ветровым волнением, Адлера – зыбью.
ЗАКЛЮЧЕНИЕ
Целью настоящей работы явились исследования экстремального штормового волнения на северо-восточном шельфе Чёрного моря за климатический отрезок времени. Основной метод исследований – численное моделирование. Объект исследований – прибрежная зона от п. Волна (район Керченского пролива) до Адлера.
Расчёты климатических характеристик поверхностного волнения проведены с помощью современной спектральной волновой модели MIKE 21 SW. В результате расчётов получены ежечасные поля пространственных распределений основных волновых параметров по всей акватории Чёрного моря за период с января 1979 по декабрь 2023 гг., т.е. за последние 45 лет. Анализ проведён с учётом разделения волнового поля на две компоненты: чисто ветровое волнение и зыбь.
Основные результаты:
- За последние 45 лет северо-восточное побережье Чёрного моря испытало воздействие 41 шторма со значительными высотами волн, превышающими 5 м.
- Два ноябрьских шторма 2007 и 2023 гг. значительно превосходят своими характеристиками остальные штормы. Значительные высоты смешанного волнения достигали отметок в 9 м, мощности – более 500 кВт/м. Возможно, указанные величины являются предельными для степени развития штормового волнения в прибрежной зоне.
- Самым бурным месяцем в году является ноябрь. В мае, июле, августе и октябре за последние 45 лет экстремальные штормы не зафиксированы. Период с 2000 по 2008 гг. является самым штормовым, на него приходится почти треть всех зарегистрированных штормов.
- Средние высоты смешанного штормового волнения для всего побережья колеблются в пределах 4–6 м, средние мощности – порядка 150 кВт/м.
- Наибольшее волнение (в пределах рассматриваемой прибрежной полосы) развивается в районах Анапы, Утриша и Идокопаса.
- Средние значения высот и мощностей чисто ветровых волн имеют общую тенденцию уменьшаться при движении с северо-западной части побережья на юго-восточную, зыби – наоборот, увеличиваться.
- В прибрежной зоне обнаруживаются несколько сравнительно однородных участка по степени развития в них чисто ветровых волн и зыби. В структуре среднего штормового волнения между п. Волна и Анапой абсолютно доминирует ветровое волнение. Между мысами Мысхако и Идокопас вклад ветровых волн в общую энергию волнения в 2–2.5 раза превышает вклад зыби. Между Архипо-Осиповкой и Туапсе энергия чисто ветрового волнения незначительно превышает энергию зыби. Далее, южнее Туапсе вклад зыби становится преобладающим.
- По соотношению вклада ветровых волн и зыби в пределах всего побережья явно выделяются два района: в окрестностях Анапы общий волновой климат практически полностью определяется ветровым волнением, Адлера – зыбью.
ИСТОЧНИК ФИНАНСИРОВАНИЯ
Исследования выполнены за счёт средств Российского научного фонда, проект № 24-27-00082.
Sobre autores
B. Divinsky
P.P. Shirshov Institute of Oceanology, Russian Academy of Sciences
Autor responsável pela correspondência
Email: divin@ocean.ru
Rússia, Moscow
Y. Saprykina
P.P. Shirshov Institute of Oceanology, Russian Academy of Sciences
Email: divin@ocean.ru
Rússia, Moscow
Bibliografia
- Ефимов В. В., Комаровская О. И. Атлас экстремального ветрового волнения Черного моря. Севастополь: ЭКОСИ-Гидрофизика, 2009. 59 c.
- Polonsky A. B., Fomin V. V., Garmashov A. V. Characteristics of wind waves of the Black Sea // Reports of the National Academy of Sciences of Ukraine. 2011. 8. P. 108–112. ISSN 1025-6415.
- Нестеров Е. С. Экстремальные волны в океанах и морях. М.; Обнинск: ИГ–СОЦИН, 2015. 64 с. ISBN 978-5-91070-065-3.
- Rusu E. Reliability and Applications of the Numerical Wave Predictions in the Black Sea // Frontiers in Marine Science. 2016. V. 3. Article 95. doi: 10.3389/fmars.2016.00095.
- Van Vledder G., Akpınar A. Spectral partitioning and swells in the Black Sea / In P. Lynett (Ed.), Proceedings of the 35th International Conference on Coastal Engineering: Antalya, Turkey. 2016. V. 35. P. 199–212.
- Divinsky B. V., Fomin V. V., Kosyan R. D., Ratner Yu. D. Extreme wind waves in the Black Sea // Oceanologia. 2019. https://doi.org/10.1016/j.oceano.2019.06.003
- Divinsky B. V., Kosyan R. D. Influence of the climatic variations in the wind waves parameters on the alongshore sediment transport // Oceanologia. 2020. V. 62. № 2. P. 1902019.199. DOI: 10.1016/ j.oceano.2019.11.002
- DHI Water & Environment. 2007. MIKE 21, Spectral Wave Module.
- Divinsky B., Kosyan R. Spatiotemporal variability of the Black Sea wave climate in the last 37 years // Cont. Shelf Res. 2017. 136. P. 1–19. http://dx.doi.org/10.1016/j.csr.2017.01.008
- Divinsky B., Kosyan R. Parameters of wind seas and swell in the Black Sea based on numerical modeling // Oceanologia. 2018. 60. P. 277–287. https://doi.org/10.1016/j.oceano.2017.11.006
- Зацепин А. Г., Островский А. Г., Кременецкий В. В. и др. Подспутниковый полигон для изучения гидрофизических процессов в шельфово-склоновой зоне Черного моря // Известия РАН. Физика атмосферы и океана. 2014. Т. 50. № 1. С. 16–29. doi: 10.7868/S0002351513060163.
- Boyle G. Renewable energy: power for a sustainable future. Second ed. Oxford University Press, 2004. 452 p. ISBN 0-19926178-4.
- Akpinar A., Ihsan Kömürcü M. Assessment of wave energy resource of the Black Sea based on 15-year numerical hindcast data // Applied Energy. 2013. 101. P. 502–512.
- Aydogan B., Ayat B., Yüksel Y. Black Sea wave energy atlas from 13 years hindcasted wave data // Renewable Energy. 2013. 57. P. 436–447.
- Rusu L. Assessment of the Wave Energy in the Black Sea Based on a 15-Year Hindcast with Data Assimilation // Energies. 2015. 8. Р. 10370–10388; doi: 10.3390/en80910370.
- Wave energy in the UK: Status review and future perspectives // Renewable and Sustainable Energy Reviews. Elsevier, 2021. doi: 10.1016/j.rser.2021.110932.
- Ulloa M., Silva R., Mariño-Tapia I. Partitioning the Extreme Wave Spectrum of Hurricane Wilma to Improve the Design of Wave Energy Converters // Sustainability. 2023. 15. 7414. https://doi.org/10.3390/su15097414
Arquivos suplementares










