Возраст Зашихинского редкометального месторождения (Восточный Саян): результаты U‒Pb (ID TIMS)-геохронологических исследований метамиктизированного циркона
- Авторы: Лыхин Д.А.1, Иванова А.А.2, Алымова Н.В.3, Сальников Е.Б.2, Котов А.Б.2, Никифоров А.В.1, Воронцов А.А.3, Плоткина Ю.В.2, Галанкина О.Л.2, Толмачева Е.В.2
-
Учреждения:
- Институт геологии рудных месторождений, петрографии, минералогии и геохимии Российской Академии наук
- Институт геологии и геохронологии докембрия Российской Академии наук
- Институт геохимии им. А. П. Виноградова Сибирского отделения Российской Академии наук
- Выпуск: Том 518, № 1 (2024)
- Страницы: 33-44
- Раздел: ГЕОЛОГИЯ РУДНЫХ МЕСТОРОЖДЕНИЙ
- Статья получена: 20.01.2025
- Статья одобрена: 20.01.2025
- Статья опубликована: 15.09.2024
- URL: https://journal-vniispk.ru/2686-7397/article/view/277462
- DOI: https://doi.org/10.31857/S2686739724090043
- ID: 277462
Цитировать
Полный текст
Аннотация
Рассматривается вопрос о возрасте редкометальных гранитов Зашихинского месторождения. Для получения U–Pb (ID TIMS)-геохронологических данных использована модифицированная для метамиктизированного циркона методика “химической абразии” с предварительным высокотемпературным отжигом. Оценки возраста щелочных лейкогранитов и альбититов совпадают и соответствуют возрасту формирования редкометальных гранитов Зашихинского месторождения 267±1 млн лет. В пределах Восточного Саяна магматические породы с близким возрастом пока не известны. Ближайшей областью магматической активности этого времени являлся крупный зонально построенный Хангайский магматический ареал, возникший под воздействием мантийного плюма и характеризующися широким развитием в периферийной его части щелочных и бимодальных, в том числе редкометальных магматических ассоциаций. Зашихинское месторождение удалено от края ареала более чем на 350 км. Тем не менее, на основе геохронологическх и геохимических данных сделано предположение о том, что месторождение было связано с активностью Хангайского плюма.
Полный текст
Восточно-Саянская редкометальная металлогеническая зона (ВСМЗ) является одной из наиболее значимых в редкометальном ресурсном потенциале России. В её пределах локализован ряд разновозрастных крупных месторождений Nb–Ta, Be, РЗЭ и, кроме того, имеются большие перспективы для обнаружения новых месторождений и рудопроявлений. Одним из крупных объектов с ярко выраженной Nb–Ta-геохимической специализацией на территории России и ВСМЗ является Зашихинское месторождение [1–3]. Оно характеризуется самыми высокими содержаниями тантала в России [4]. Кроме того, руды месторождения обогащены редкоземельными элементами иттриевой группы, наиболее дефицитными и востребованными в современных технологиях. Зашихинское месторождение расположено в 150 км южнее г. Нижнеудинск, на территории Нижнеудинского района Иркутской области (рис. 1). Оно приурочено к апикальной части Хайламинского массива редкометальных щелочных гранитов. Имеющиеся данные о возрасте Зашихинского месторождения имеют противоречивый характер. Для пород Хайламинского массива известны оценки возраста 252 млн лет (U–Pb-метод [1]), 261±4 млн лет (Rb–Sr-возраст по породе в целом [5]), 228–250 млн лет (циркон, Pb–Pb-метод [6]).
Рис. 1. Схема размещения Зашихинского месторождения в верховьях р. Хайламы, Восточный Саян по данным [8]. На врезке показано положение района в структурах юго-западного складчатого обрамления Сибирской платформы. 1 — алыгжерская свита: гнейсы биотитовые, гранат-биотитовые, амфиболовые, двупироксеновые, плагиогнейсы и кристаллосланцы в переслаивании, прослои и линзы белых мраморов графитизированных, кварцитов слюдистых; 2 — дербинская свита: мраморы графитистые, сланцы амфиболит-биотит-плагиоклазовые в переслаивании с плагиогнейсами, мраморами, кварцитами, прослои кварцитов, кальцифиров; 3 — алхадырская свита: сланцы, гнейсы биотитовые с прослоями мраморов доломитовых, гранат-двуслюдяные, гранат мусковитовые с дистенном, силлиманитом, амфиболиты, кварциты, кальцифиры, в основании – мраморы; 4 — нерасчлененные образования: сланцы и микрогнейсы биотитовые, амфиболовые, биотит-кварц-плагиоклазовые, гранат-слюдистые, альбит-кварц биотитовы, кварциты; 5 — хадаминский (китойский) комплекс мигматит-гранитовый: мигматит-граниты, гнейсоплагиограниты, гнейсотоналиты, гнейсограниты, жилы пегматитов; 6 — саянский комплекс гранодиорит-гранитовый первая фаза гранодиориты, плагиограниты, диориты; 7 — дербинский комплекс диорит-гранитовый: гранит биотитовые, амфибол-биотитовые, гнейсо-граниты, пегматитовые граниты, плагиограниты, диориты; дайки и жилы пегматитов; 8 — урдаокинский комплекс метапередотит-метагаббро: метагабброиды, ортоамфиболиты, габбро-амфиболиты, метагаббродолериты, метагаббродиориты, метадиориты, метапироксениты, метапередотиты, метагаббро-метапередотиты расслоенных мелких тел; 9 — огнитский комплекс сиенит-граносиенит-гранитовый: граносиениты, граниты, граниты эгирин-рибекитовые, нордмаркиты, сиениты, кварцевые сиениты, габбро, габбродиориты, диориты, дайки риолитов, гранит-порфиров, сиенит-порфиров, граносиенит-порфиров, пегматитовых гранитов, долеритовых порфиритов, долеритов; 10 — хайламинский комплекс щелочных гранитов и апогранитов: граниты лейкократовые, биотит-рибекитовые, биотитовые, рибекит-эгириновые, арфедсонитовые, апограниты альбит-микроклиновые с литиевыми слюдами, альбититы колумбитоносные, эруптивные брекчии топазовые, грейзены мусковит-протолитионитовые; 11 — разломы: а — большой Саянский разлом, б — прочие; 12 — реки и ручьи; 13 — Зашихинское месторождение; 14–21 — условные к врезке: 14 — чехол Сибирского кратона; 15 — кратонные блоки, 16‒18 — комплексы пород неопротерозойских террейнов: 16 — переработанные в позднем палеозое, 17 — вулканические, 18 — карбонатно-терригенные; 19–21 — складчатые структуры: 19 — раннепалеозойские, 20 — среднепалеозойские, 21 — позднепалеозойские; 22 — положение Зашихинского месторождения.
Поэтому возникает необходимость в получении достоверной информации о возрасте Зашихинского месторождения и дальнейшей его корреляции с известными редкометальными комплексами ВСМЗ (хайламинским, улуг-танзекским, арысканским, огнитским). Следует отметить, что U–Pb-геохронологические исследования циркона из щелочных редкометальных гранитов затруднены в связи с высокой степенью его метамиктности. Результаты наших предыдущих исследований продемонстрировали высокую эффективность применения специального методического подхода для датирования метамиктизированного циркона [7], который был успешно апробирован на ряде объектов щелочного редкометального магматизма Восточного Саяна.
ГЕОЛОГИЧЕСКАЯ ХАРАКТЕРИСТИКА
Хайламинский массив редкометальных щелочных гранитов одноимённого комплекса (ЕlγT₁hl) [6], выделенного при проведении поисково-оценочных и тематических работах в 1975 г., расположен в верховье р. Хайлама в северо-восточном “крыле” Главного Саянского разлома (рис. 1). Контакт гранитов Хайламинского массива с вмещающими породами саянского, хойтокинского и огнитского комплексов резкий, секущий [8]. С гранитами этого массива связано Зашихинское редкометальное месторождение. Массив площадью 1.3 км2 имеет эллипсовидную, вытянутую в северо-западном направлении форму, с крутым (60–70°) погружением контактов в СВ-направлении. Он обнажается на склоне горы и вскрывается на глубину около 300 м, что позволяет наблюдать его отчётливо выраженную вертикальную зональность. Массив сложен щелочными гранитами (эгириновые, эгирин-рибекитовые и арфведсонитовые), апогранитами, альбититами (рис. 2). Апикальная зона шириною до 50–100 м в северо-восточной части массива сложена альбититами и кварцевыми альбититами. К югу и юго-западу (вниз по склону) альбититы сменяются зоной кварц-микроклин-альбитовых гранитоидов с характерным горошковидным кварцем и литиевыми слюдами. На более низких гипсометрических уровнях отмечается зона амфибол-рибекитовых гранитов, которая далее вниз по разрезу массива сменяется выходами эгирин-рибекитовых гранитов с характерным “игольчатым” рибекитом и биотитовыми гранитами. Границы между разновидностями щелочных пород месторождения явно выраженные, имеют постепенные переходы.
Рис. 2. Схема геологического строения Зашихинского месторождения по данным [2] с дополнениями авторов. 1 — четвертичные отложения; 2–5 — хайламинский комплекс: 2 — рудные альбититы; 3 — лейкократовые граниты с горошковидным кварцем; 4 — протолитионит-рибекит-арфведсонитовые граниты с эгирином; 5 — щелочные рибекитовые граниты, гранит-порфиры; 6 — среднепалеозойский огнитский комплекс: граниты биотитовые, сиениты, граносиениты; 7 — нижнепалеозойский хойто-окинский комплекс: диориты, гранодиориты амфибол-биотитовые; граносиениты; 8 – среднепротерозойский саянский комплекс: граниты крупнозернистые, порфировидные; 9–10 — раннепротерозойские отложения: 9 — мезократовые биотит-амфиболовые кристаллические сланцы; 10 — метасоматические кварциты; 11 — шовная зона Гланого Саянского глубинного разлома; 12 — разломы; 13 — места отбора проб.
В строении Хайламинского массива предшественниками выделялись четыре метасоматические зоны [1, 2] или три разновидности гранитов [3], однако это не находило принципиальных отличий в публикуемых картах массива или описаниях пород. Границы между разновидностями щелочных пород месторождения достаточно отчётливые, с постепенными переходами.
Для U–Pb-геохронологических исследований были использованы пробы лейкогранита с горошковидным кварцем и альбититов Хайламинского массива.
МЕТОДИКА ИССЛЕДОВАНИЙ
Выделение цирконов из пород массива производилось в ИГЕМ РАН и ИГГД РАН с использованием тяжёлых жидкостей. Исследование морфологии и внутреннего строения кристаллов циркона проводилось в ИГГД РАН на сканирующем электронном микроскопе TESCAN VEGA3. Примесный состав циркона и минеральных включений в нём определялся в ИГГД РАН на сканирующем электронном микроскопе с ЭДС “JEOL”-JSM-6510LA и электронно-зондовом микроанализаторе “JEOL”-JXA-8230 с четырьмя волнодисперсионными спектрометрами.
Для проведения U–Pb-геохронологических исследований циркон был подвергнут “химической абразии”. Отобранные микронавески (до 20 кристаллов) циркона из размерной фракции >100 мкм подвергались высокотемпературному отжигу в муфельной печи “SNOL E5CC” в керамических тиглях при 850°С в течение 48 ч [9] и последующей кислотной обработке смесью 35% HF + 15% HNO3 в пропорции 5:1 при температуре 180°C или 220°C в течение 2–4 ч (модификация для метамиктизированного циркона по [7]. После предварительной обработки циркон был проанализирован по стандартной методике [10]. Для изотопных исследований использован изотопный индикатор 202Pb–235U. Изотопные анализы выполнены на многоколлекторном масс-спектрометре TRITON TI в статическом и динамическом (при помощи счётчика ионов) режимах. Точность определения U/Pb-отношений, а также содержаний U и Pb составила 0.5%. Холостое загрязнение не превышало 15 пг Pb и 1 пг U. Обработка экспериментальных данных проведена с использованием программ “PbDAT” и “ISOPLOT” [11, 12]. При расчёте возрастов использованы значения констант распада урана по [13]. Поправки на обычный свинец введены в соответствии с эволюционной моделью Стейси–Крамерса [14].
ГЕОХРОНОЛОГИЧЕСКИЕ ИССЛЕДОВНИЯ
Циркон из лейкогранитов с горошковидным кварцем (проба За-221) представлен идиоморфными кристаллами размером до 500 мкм, облик которых определяется комбинацией дипирамиды {111} и призмы {100} (рис. 3, I–IV). Грани кристаллов гладкие или частично корродированные. Зёрна непрозрачные, полупрозрачные, коричневого цвета, в целом обладают низким двупреломлением. Результаты катодолюминесцентного изучения показали, что циркон характеризуется низкой интенсивностью люминесценции, фрагментарная зональность проявляется в периферических зонах кристаллов. Оптические исследования выявили полупрозрачные внешние зоны (10–50 мкм) и “губчатую”, частично метамиктизированную центральную зону, граница между которыми чёткая и согласная (рис. 3, V–XX). Циркон обогащён минеральными включениями, представленными кварцем, альбитом, колумбитом, торитом, торианитом, монацитом, ксенотимом и другими минералами U, Th, РЗЭ, которые концентрируются преимущественно в центральной части зерен (рис. 3, V–VII), составляя порядка 50% их объёма. Кроме того, наблюдаются полости (реликты газовых включений), в ряде случаев частично заполненные кварцем и субмикроскопическими фрагментами других минералов, кристаллизация которых происходила от периферии к центру полости. Циркон содержит крупные (до 30–40 мкм) флюидные включения, а также расплавные (рис. 3, VIII), частично раскристаллизованные, включения, локализованные как в центральных, так и внешних частях кристаллов. В периферической части кристаллов количество и размер расплавных включений существенно уменьшается.
Рис. 3. Микрофотографии кристаллов циркона из гранитов с горошковидным кварцем (проба За-221), выполненные в режимах вторичных электронов (I–IV), обратноотраженных электронов (V–VII, XIII–XVI) и катодолюминесценции (IX–XII, XVII–XX), а также в проходящем свете (VIII), РВ — расплавные включения. XIII–XX — кристаллы циркона после отжига при 850°C и кислотной обработки при 220°C в течение 2 ч.
Таким образом, находки расплавных включений свидетельствуют о магматической природе циркона, а присутствие в центральных частях многочисленных твердофазных включений и, главное, газово-жидких и расплавных — о быстром подъёме магмы, сопровождающемся отделением флюида с выделением газовой фазы при резком снижении давления и температуры. Периферическая часть кристаллов циркона формируется после завершения подъёма магмы в условиях стабильного режима кристаллизации.
Содержание гафния возрастает от 2–4 мас. % HfO2 в центральных частях до 5–7 мас. % HfO2 во внешних зонах кристаллов циркона. Содержание тория до 0.04 мас. % ThO2 в центральных частях и до 0.16 мас. % в периферических зонах; урана – 0.02–0.15 и 0.03–0.31 мас. % UO2, соответственно; иттрия — 0.13–0.31 и 0.06–0.51 мас. % Y2O3, иттербия — 0.09–0.27 и 0.02–0.70 мас. % Yb2O3. Рассчитанная доза авторадиационого облучения этого циркона составляет 1×1017–3×1018 α-расп/г.
В результате “химической абразии” циркон частично фрагментировался, нарушенные зоны кристаллов и минеральные включения растворились. Растворение происходило, главным образом, по зонам роста кристаллов, преимущественно в центральной части (рис. 3, XII–XVI). В кристаллах циркона после “химической абразии” наблюдается повышение интенсивности катодолюминесцентного свечения (рис. 3, XVII–XX) и контрастности изображения внутреннего строения.
Предварительно обработанный циркон характеризуется низким содержанием примесного “обыкновенного” свинца и незначительной (1.1–4.0%) дискордантностью U/Pb-отношений (табл. 1, рис. 4). Точки изотопного состава циркона 1-4 образуют дискордию, верхнее пересечение которой с конкордией соответствует 269±3 млн лет (СКВО = 0.68), нижнее пересечение близко к нулю.
Таблица 1. Результаты U-Pb геохронологических исследований циркона из гранита и альбитита Хайламинского массива
Номер п/п | Размерная фракция (мкм) и характеристика циркона | U/Pb | Изотопные отношения | Rho | Возраст, млн лет | ||||||
206Pb/204Pb | 207Pb/206Pba | 208Pb/206Pba | 207Pb/235U | 206Pb/238U | 207Pb/235U | 206Pb/238U | 207Pb/206Pb | ||||
Гранит с горошковидным кварцем (проба За-221) | |||||||||||
1 | >0.2, 10 з., ВО, кисл. обр. = 2.0 (220°С) | 21.82 | 3365 | 0.0516±1 | 0.2148±1 | 0.2967±3 | 0.0417±1 | 0.92 | 264±1 | 263±1 | 268±1 |
2 | >0.2, 10 з., ВО, кисл. обр. = 3.0 (220°С) | 20.68 | 838 | 0.0517±1 | 0.2697±1 | 0.2947±6 | 0.0413±1 | 0.63 | 262±1 | 261±1 | 272±4 |
3 | >0.2, 7 фрагм, ВО, кисл. обр. = 2.0 (220°С) | 21.99 | 2843 | 0.0517±1 | 0.2185±1 | 0.2961±3 | 0.0415±1 | 0.86 | 263±1 | 262±1 | 272±2 |
4 | >0.2, 1 з., ВО, кисл. обр. = 2.0 (220°С) | 20.66 | 1070 | 0.0516±1 | 0.2745±1 | 0.2960±6 | 0.0416±1 | 0.68 | 263±1 | 263±1 | 266±4 |
Альбитит (проба 57/22) | |||||||||||
5 | >0.2, 15 з., ВО, кисл. обр. = 4.0 (180°С) | 8.42 | 759 | 0.0516±1 | 2.1097±2 | 0.3010±9 | 0.0423±1 | 0.85 | 267±1 | 267±1 | 268±3 |
6 | >0.2, 10 з., ВО, кисл. обр. = 4.0 (220°С) | 4.71 | 569 | 0.0520±2 | 4.6969±2 | 0.3010±12 | 0.0420±1 | 0.55 | 267±1 | 265±1 | 276±8 |
7 | >0.2, 20 з., ВО, кисл. обр. = 2.0 (220°С) | 5.85 | 2931 | 0.0516±1 | 3.6708±1 | 0.2972±3 | 0.0418±1 | 0.88 | 264±1 | 264±1 | 268±2 |
Примечание: а — изотопные отношения, скорректированные на бланк и обычный свинец; Rho — коэффициент корреляции ошибок отношений 207Pb/235U — 206Pb/238U; * — навеска циркона не определялась; ВО — высокотемпературный отжиг циркона; кисл. обр. = 3.0 — кислотная обработка циркона с заданной экспозицией (часы). Величины ошибок (2σ) соответствуют последним значащим цифрам после запятой. | |||||||||||
Рис. 4. Микрофотографии кристаллов циркона из альбитита (проба ЗШХ-57/22), выполненные в режимах вторичных электронов (I–IV, XIII–XVI), обратноотражённых электронов (V–VIII) и катодолюминесценции (IX–XII). XIII–XVI — кристаллы циркона кристаллов футляровидной формы после отжига при 850°C и кислотной обработки при 220°C в течение 4 ч.
Циркон из альбититов (проба ЗШХ-57/22) представлен идиоморфными кристаллами октаэдрического габитуса размером до 500 мкм, иногда наблюдаются грани призмы {100} (рис. 4, I–IV). Зёрна циркона непрозрачные, коричневого цвета. Грани преимущественно гладкие. Характерно наличие полупрозрачной внешней зоны и “губчатой”, интенсивно метамиктизированной внутренней зоны с чёткой согласной границей без следов растворения (рис. 4, V, IX–XII). Во внешней части отдельных кристаллов встречаются “губчатые” зоны (рис. 4, VI, VIII). Внутренняя зона отличается, как правило, более высокой интенсивностью катодолюминесценции (рис. 4, IX‒XII). Многочисленные минеральные включения по всему объёму кристаллов представлены альбитом, торитом, торианитом, монацитом, ксенотимом и другими минералами U, Th, РЗЭ, при этом крупные включения альбита локализованы преимущественно во внешней части кристаллов (рис. 4, V–VIII). В цирконе содержится большое количество флюидных включений, особенно крупные (до 30–40 мкм) встречаются во внешних зонах. Наблюдаются многочисленные полости — реликты газовых включений. Расплавные включения содержатся в центральной зоне и в меньшем количестве во внешней зоне.
Содержание тория составляет 0.2–0.24 мас. % ThO2 в центральных частях кристаллов и 0.02–0.75 мас. % ThO2 в периферических зонах; урана — 0.02–0.05 и до 0.1 мас. % UO2 соответственно; иттрия — 0.7–0.8 и 0.2–1.6 мас. % Y2O3, иттербия — 0.3–1.0 и 0.2–1.9 мас. % Yb2O3. Рассчитанная доза авторадиационого облучения этого циркона составляет порядка 1×1017–2×1018 α-расп/г. Содержание гафния составляет 2–9 мас. % (достигает 12–13 мас. %) HfO2 во внешних зонах кристаллов при средних значениях 3–6 мас. % HfO2 во внутренних зонах. То есть внешние зоны в целом более обогащены “примесными” элементами.
В результате кислотной обработки кристаллы циркона существенно фрагментировались, значительно интенсивнее циркона из гранитов с горошковидным кварцем. Вероятно, это связано с присутствием большего количества U‒Th-минеральных включений в центральной зоне кристаллов и, как следствие, большей метамиктизацией соответствующих участков циркона. При длительности экспозиции 4 ч и температуре 220°C часть кристаллов приобрела футляровидную форму (с толщиной стенок 5–10 мкм) при практически полном растворении внутренней метамиктизированной части (рис. 4, XIII–XVI). Большая часть кристаллов циркона фрагментировалась до микронного размера.
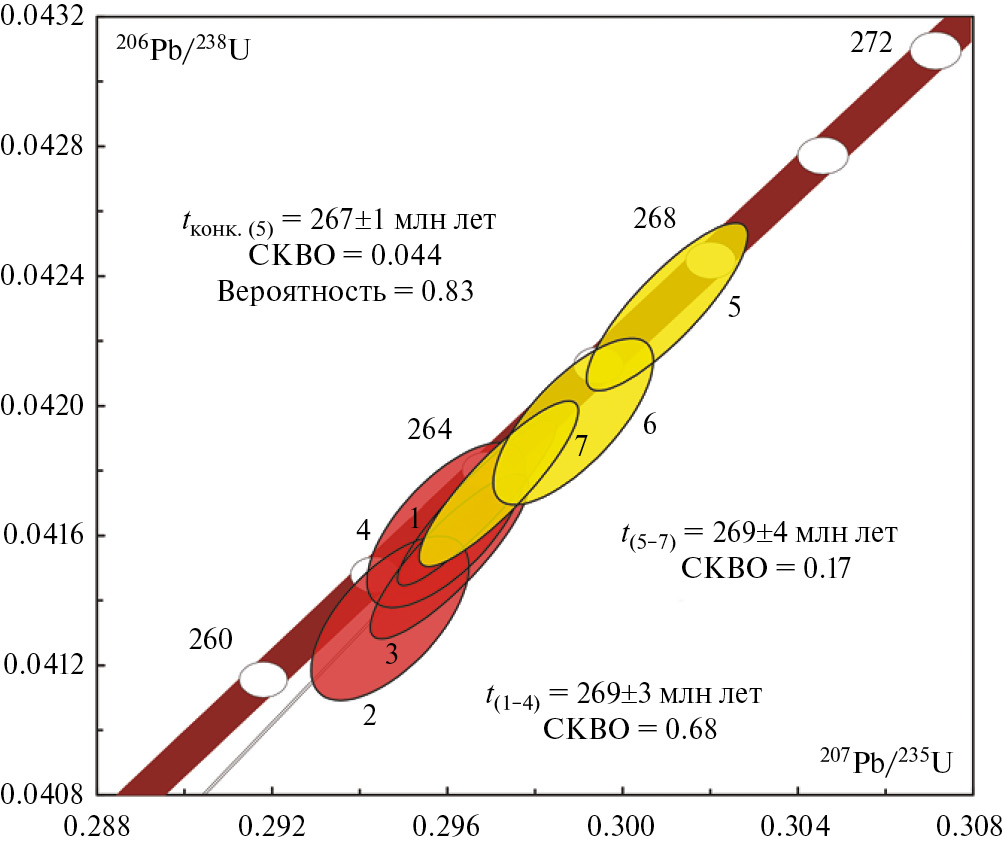
U–Pb-геохронологические исследования выполнены для трёх микронавесок (10–20 кристаллов) предварительно обработанного циркона, который характеризуется низким содержанием примесного “обыкновенного” свинца и незначительной (0.3–4.0 %) дискордантностью U/Pb-отношений (табл. 1, рис. 5). Точки изотопного состава циркона образуют дискордию, верхнее пересечение которой с конкордией соответствует 269±4 млн лет (СКВО = 0.17), нижнее пересечение близко к нулю. Конкордантная оценка возраста циркона (№ 5) составляет 267±1 млн лет (СКВО = 0.044, вероятность = 0.83).
Рис. 5. Диаграмма с конкордией для циркона из гранита с горошковидным кварцем (проба За-221 красным) и циркона из альбитита (проба ЗШХ-57/22 желтым). Номера точек соответствуют порядковым номерам в таблице 1.
Морфологические особенности и внутреннее строение кристаллов циркона позволяют предполагать, что формирование пород Хайламинского массива происходило при резкой смене условий – быстрая кристаллизация в условиях интенсивной дегазации сменилась более спокойным периодом остывания на позднем магматическом этапе. Чёткость и согласованность границ внешней и внутренней зон кристаллов циркона свидетельствует о последовательной кристаллизации без существенных перерывов. Полученную оценку возраста (267±1 млн лет) можно считать достоверным определением возраста кристаллизации редкометальных гранитов Хайламинского массива и соответственно Зашихинского месторождения.
ОБСУЖДЕНИЕ
Полученные оценки возраста лейкогранитов с горошковидным кварцем и альбититов полностью совпадают (269±3 и 267±1 млн лет), отражая возраст становления гранитов Хайламинского массива (и связанного с ним Зашихинского месторождения) и одноимённого магматического комплекса. Применение методики “химической абразии” с предварительным высокотемпературным отжигом для цирконов с высокой степенью метамиктизации и обилием включений минералов U, Th, РЗЭ в очередной раз подтвердило эффективность предложенного ранее [7] методического подхода для оценки возраста щелочных редкометальных гранитоидов и связанных с ними месторождений. Полученные для Хайламинского массива значения возраста хорошо согласуются с ранее опубликованными Ю.А. Костицыным [5] оценками возраста Rb–Sr-методом 261±4 млн лет и резко отличаются от возраста пород других редкометальных комплексов Восточного Саяна (арысканского, огнитского, улуг-танзекского), что исключает принадлежность месторождения к одному из них. Следует отметить, что в пределах Восточного Саяна магматические породы с близким возрастом в настоящее время не известны. В связи с этим возникает вопрос о природе магматизма, инициировавшего процесс формирования Зашихинского месторождения.
Необходимо напомнить, что магматизм в позднем палеозое юго-западного обрамления Сибирской платформы контролировался Баргузинским плюмом. С его активностью связывается образование крупной Баргузинской магматической провинции, периферийная часть которой характеризовалась проявлениями редкометального магматизма [15]. Участие последнего в формировании Восточно-Саянской полихронной редкометальной зоны сопровождалось образованием между 305 и 285 млн лет назад ряда редкометальных месторождений и рудопроявлений [16]. Однако активность Баргузинского плюма завершилась около 275–280 млн лет назад [15, 17] что делает маловероятным его участие в образовании Хайламинского массива.
К рубежу 270 млн лет прекратил свою активность и Таримский плюм, который, несмотря на то, что располагался далеко от края Сибирской платформы, тем не менее, контролировал магматическую активность на территориях, приближённых к ней и включавших, например, структуры Обь-Зайсанской складчатой системы и Большого Алтая [18].
Единственным центром магматической активности в интервале 270–240 млн лет назад в юго-западном обрамлении Сибирской платформы является Хангайский магматический ареал, контролируемый одноимённым плюмом [15]. Его периферия выделяется преобладанием щелочных и бимодальных, в том числе редкометальных комплексов [19], которые широко распространены на территории центральной и северной Монголии, а также в прилегающих районах Забайкалья. Зашихинское месторождение удалено от границ Хангайского магматического ареала примерно на 350 км, и в промежутке между ними пока не зафиксированы магматические породы близкого к ним возраста. Тем не менее, можно предположить, что месторождение было связано с активностью Хангайского плюма. В основу такого заключения положены, прежде всего, геохронологические и геохимические данные для пород месторождения, сближающие их с породами внешней зоны Хангайского ареала. Кроме того, следует отметить приуроченность Восточно-Саянской металлогенической зоны, контролирующей Зашихинское месторождение, к крупной литосферной границе, разделившей докембрийские структуры Тувино-Монгольского массива и каледониды Алтае-Саянской складчатой области [16]. Эта граница на протяжении палеозоя служила своеобразным проводником для мантийных магм при внутриплитных (плюмовых) воздействиях на литосферу региона. Благодаря этой её особенности в пределах металлогенической зоны возникли разновозрастные редкометальные месторождения [16, 20], связанные с активностью Тувинского (ранний-средний ордовик), Алтае-Саянского (ранний девон) и Баргузинского (ранняя пермь) мантийных плюмов [15], несмотря на то, что центры их активности располагались вне границ зоны. Эта особенность Восточно-Саянского литосферного раздела позволяет предположить, что Хангайский плюм вполне мог использовать его для транспорта мантийных магм в основании литосферы, обеспечивших образование Зашихинского месторождения.
БЛАГОДАРНОСТИ
ЗАО “Техноинвест Альянсу” за возможность посетить Зашихинское месторождение.
ИСТОЧНИКИ ФИНАНСИРОВАНИЯ
Аналитические работы выполнены в лаборатории редкометального магматизма ИГЕМ РАН в рамках темы Государственного задания, геохронологические исследования выполнены в лаборатории изотопной геологии ИГГД РАН при финансовой поддержке государственной темы НИР FMUW-2022-0003, а геологические исследования выполнены в НИР ИГХ СО РАН по теме № 0284-2021-0006.
Об авторах
Д. А. Лыхин
Институт геологии рудных месторождений, петрографии, минералогии и геохимии Российской Академии наук
Автор, ответственный за переписку.
Email: lykhind@rambler.ru
Россия, Москва
А. А. Иванова
Институт геологии и геохронологии докембрия Российской Академии наук
Email: lykhind@rambler.ru
Россия, Санкт-Петербург
Н. В. Алымова
Институт геохимии им. А. П. Виноградова Сибирского отделения Российской Академии наук
Email: lykhind@rambler.ru
Россия, Иркутск
Е. Б. Сальников
Институт геологии и геохронологии докембрия Российской Академии наук
Email: lykhind@rambler.ru
Россия, Санкт-Петербург
А. Б. Котов
Институт геологии и геохронологии докембрия Российской Академии наук
Email: lykhind@rambler.ru
член-корреспондент РАН
Россия, Санкт-ПетербургА. В. Никифоров
Институт геологии рудных месторождений, петрографии, минералогии и геохимии Российской Академии наук
Email: lykhind@rambler.ru
Россия, Москва
А. А. Воронцов
Институт геохимии им. А. П. Виноградова Сибирского отделения Российской Академии наук
Email: lykhind@rambler.ru
Россия, Иркутск
Ю. В. Плоткина
Институт геологии и геохронологии докембрия Российской Академии наук
Email: lykhind@rambler.ru
Россия, Санкт-Петербург
О. Л. Галанкина
Институт геологии и геохронологии докембрия Российской Академии наук
Email: lykhind@rambler.ru
Россия, Санкт-Петербург
Е. В. Толмачева
Институт геологии и геохронологии докембрия Российской Академии наук
Email: lykhind@rambler.ru
Россия, Санкт-Петербург
Список литературы
- Архангельская В. В., Шурига Т. Н. Геологическое строение, зональность и оруденение Зашихинского тантал-ниобиевого месторождения // Отечественная геология. 1997. № 5. С. 7–10.
- Архангельская В. В., Рябцев В. В., Шурига Т. Н. Геологическое строение и минералогия месторождений тантала России. М.: ВИМС, 2012. 191 с. https://elibrary.ru/item.asp?id=19486646
- Владыкин Н. В., Алымова Н. В., Перфильев В. В. Геохимические особенности редкометальных гранитов Зашихинского массива, Восточный Саян // Петрология. 2016. Т. 24. № 5. С. 554–568. https://doi.org/10.7868/S086959031605006X
- Машковцев Г. А., Быховский Л. З., Рогожин А. А. и др. Перспективы рационального освоения комплексных ниобий-тантал-редкометальных месторождений России // Разведка и охрана недр. 2011. № 6. С. 9–13. https://elibrary.ru/item.asp?id=16497663
- Костицын Ю. А., Алтухов Е. Н. Хайламинский и Арысканский массивы щелочных гранитов В. Саян: время и условия формирования по данным Rb-Sr изотопных и геохимических исследований // Геохимия. 2004. № 3. С. 243–253. https://repository.geologyscience.ru/handle/123456789/37473?show=full
- Перфильев В. В., Галимова Т. Ф. и др. Легенда Восточно-Саянской серии листов Госгеолкарты-200. Т. 1. 2. 1998. https://efgi.ru/object/17177259
- Иванова А. А., Сальникова Е. Б., Котов А. Б. и др. U–Pb (ID-TIMS) датирование высокоурановых метамиктизированных цирконов: новые возможности известных подходов // Петрология. 2021. Т. 29. № 6. С. 656–667.
- Галимова Т. Ф., Пашкова А. Г., Поваринцева С. А. и др. Государственная геологическая карта Российской Федерации. Масштаб 1:1 000 000 (третье поколение). Серия Ангаро-Енисейская. Лист N-47 — Нижнеудинск. Объяснительная записка. СПб.: Картографическая фабрика ВСЕГЕИ. 2012. 652 с. + 14 вкл. https://rfgf.ru/catalog/docview.php?did=02902fed25aedb85cdaf6d30413c991a
- Mattinson J. M. Zircon U-Pb chemical abrasion (“CA-TIMS”) method: Combined annealing and multistep partial dissolution analysis for improved precision and accuracy of zircon ages // Chem. Geol. 2005. 220. P. 47–66. https://doi.org/10.1016/j.chemgeo.2005.03.011 https://doi.org/10.31857/S0869590321060042
- Krogh T. E. A low-contamination method for hydrothermal decomposition of zircon and extraction of U and Pb for isotopic age determination // Geochim. et Cosmochim. Acta. 1973. V. 37. P. 485–494. https://doi.org/10.1016/0016-7037(73)90213-5
- Ludwig K. R. PbDat for MS-DOS, version 1.21 // U.S. Geol. Survey Open-File Rept. 88–542. 1991. 35 p. https://doi.org/10.4236/ojg.2018.85027
- Ludwig K. R. Isoplot 3.70. A Geochronological Toolkit for Microsoft Excel // Berkeley Geochronology Center Spec. Publ. 2003. V. 4. https://www.scirp.org/reference/ReferencesPapers?ReferenceID=2534248
- Steiger R. H., Jager E. Subcomission of Geochronology: convension of the use of decay constants in geo- and cosmochronology // Earth Planet. Sci. Lett. 1976. V. 36. № 2. P. 359–362. https://doi.org/10.1016/0012-821X(77)90060-7
- Stacey J. S., Kramers I. D. Approximation of terrestrial lead isotope evolution by a two-stage model // Earth Planet. Sci. Lett. 1975. V. 26. № 2. P. 207–221. https://doi.org/10.1016/0012-821X(75)90088-6
- Yarmolyuk V. V., Kuzmin M. I., Ernst R. E. Intraplate geodynamics and magmatism in the evolution of the Central Asian Orogenic Belt // Journal of Asian Earth Sciences. 2014. V. 93. P. 158–179. https://doi.org/10.1016/j.jseaes.2014.07.004
- Ярмолюк В. В., Лыхин Д. А., Шурига Т. Н. и др. Возраст, состав пород, руд и геологическое положение бериллиевого месторождения Снежное: к обоснованию позднепалеозойской Восточно-Саянской редкометальной зоны (Россия) // ГРМ. 2011. Т. 53. № 5. С. 438–449. https://elibrary.ru/item.asp?id=17056908
- Цыганков А. А. Позднепалеозойские граниты Западного Забайкалья: последовательность формирования, источники магм, геодинамика // Геология и геофизика. 2014. Т. 55. № 2. С. 197–227. https://www.sibran.ru/upload/iblock/272/2722e3095e29ea771c96aa4a6aa6e975.pdf
- Хромых С. В., Котлер П. Д., Изох А. Э. Позднепалеозойский базитовый магматизм Восточного Казахстана: этапы, масштабы и геодинамические обстановки / В сборнике: Динамика и взаимодействие геосфер Земли. Материалы Всероссийской конференции с международным участием, посвященной 100-летию подготовки в Томском государственном университете специалистов в области наук о Земле в 3-х т. Томск. 2021. С. 276‒278. https://elibrary.ru/cswcas
- Ярмолюк В. В., Козловский А. М., Саватенков В. М. и др. Состав, источники и геодинамическая природа гигантских батолитов Центральной Азии: по данным геохимических и изотопных Nd исследований гранитоидов Хангайского зонального магматического ареала // Петрология. 2016. Т. 24. № 5. С. 468–498. https://doi.org/10.7868/S0869590316050071
- Добрецов Н.Л. Раннепалеозойская тектоника и геодинамика Центральной Азии: роль раннепалеозойских мантиных плюмов // Геология и геофизика. 2011. Т. 52. № 12. С. 1957–1973. https://www.sibran.ru/upload/iblock/134/1345d2a330b07e4f64194ac2505f8c52.pdf
Дополнительные файлы







