ОЦЕНКА ТЕМПЕРАТУРНЫХ НАПРЯЖЕНИЙ В ЛИТОСФЕРЕ РАННЕЙ ЛУНЫ
- Авторы: Воропаев С.А.1, Кривенко А.П.1
-
Учреждения:
- Институт геохимии и аналитической химии им. В.И. Вернадского Российской академии наук
- Выпуск: Том 508, № 1 (2023)
- Страницы: 53-58
- Раздел: ТЕХНИЧЕСКИЕ НАУКИ
- URL: https://journal-vniispk.ru/2686-7400/article/view/135919
- DOI: https://doi.org/10.31857/S2686740022060153
- EDN: https://elibrary.ru/UOBXRU
- ID: 135919
Цитировать
Полный текст
Аннотация
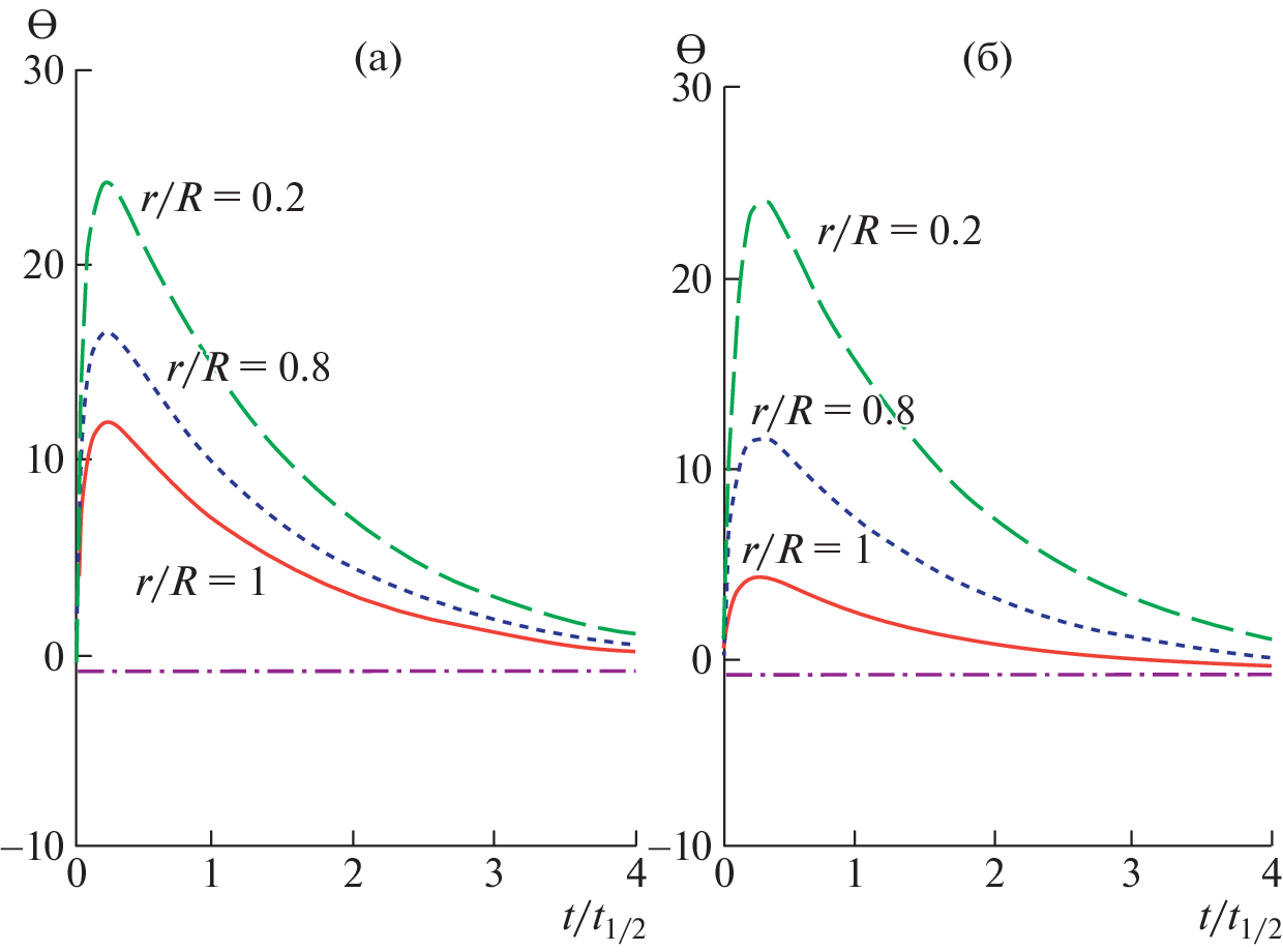
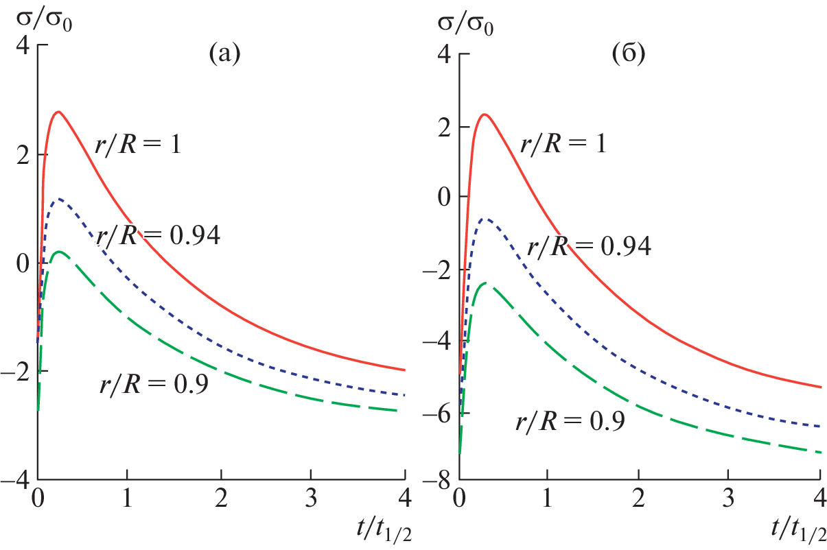
На ранних этапах развития Луны ее растущая литосфера испытала сложные изменяющиеся во времени температурные и гравитационные напряжения. Несмотря на последующее интенсивное ударное преобразование поверхности, в ходе гравиметрической съемки космической миссии GRAIL было обнаружено наличие реликтовых глубинных разломов. Анализ линейных гравитационных аномалий показывает расширение внешнего жесткого слоя планеты на определенном раннем этапе эволюции Луны из-за превышения температурных напряжений над гравитационным сжатием. Получение зависимости временного интервала расширения литосферы от ряда безразмерных параметров теплопроводности позволит уточнить существующие модели тепловой и геохимической эволюции ранней Луны.
Ключевые слова
Об авторах
С. А. Воропаев
Институт геохимии и аналитической химииим. В.И. Вернадского Российской академии наук
Автор, ответственный за переписку.
Email: voropaev@geokhi.ru
Россия, Москва
А. П. Кривенко
Институт геохимии и аналитической химииим. В.И. Вернадского Российской академии наук
Автор, ответственный за переписку.
Email: krivenko@geokhi.ru
Россия, Москва
Список литературы
- Zuber M.T. et al. Gravity field of the Moon from the Gravity Recovery and Interior Laboratory (GRAIL) mission // Science. 2013. V. 339. P. 668–671. https://doi.org/10.1126/science.1231507
- Zuber M.T., Smith D.E., Lemoine F.G., Neumann G.A. The shape and internal structure of the Moon from the Clementine mission // Science. 1994. V. 266. P. 1839–1843. https://doi.org/10.1126/science.266.5192.1839
- Andrews-Hanna J.C. et al. Ancient Igneous Intrusions and Early Expansion of the Moon Revealed by GRAIL Gravity Gradiometry // Science. 2012. V. 339. P. 675–678. https://doi.org/10.1126/science.1231753
- Shearer C.K. et al. Thermal and Magmatic Evolution of the Moon // Reviews in Mineralogy & Geochemistry. 2006. V. 60. P. 365–518. https://doi.org/10.2138/rmg.2006.60.4
- Solomon S., Head J. W. Lunar mascon basins: Lava filling, tectonics, and evolution of the lithosphere // Rev Geophys Space Phys. 1980. V. 18. P. 107–141.
- Hood L.L., Zuber M.T. Recent refinements in geophysical constraints on lunar origin and evolution / In: Origin of the Earth and Moon. Canup R.M., Righter K. (eds). Univ Arizona Press, 2000. P. 397–412.
- Elkins-Tanton L.T. Magma Oceans in the Inner Solar System // Annual Review Earth Planetary Science. 2012. V. 40. P. 113–139.
- Воропаев С.А., Джианго Я., Барриот Ж.-П. Разрыв вытянутого малого тела приливными силами при подлете: возможные сценарии // Астрономический вестник. 2020. Т. 54. № 2. С. 171–182.
- Теркот Д., Шуберт Дж. Геодинамика. Геологические приложения физики сплошных сред. М.: Мир, 1985. Т. 1. 381 с.
- Лыков А.В. Теория теплопроводности. М.: Высшая школа, 1987. 602 с.
- Воропаев С.А., Нугманов И.И., Душенко Н.В., Джинго Я. Зависимость упругих свойств Н5-хондритов (NWA 12370) от давления // ДАН. Физика, Технические науки. 2020. Т. 495. С. 14–17.
- Жарков В.Н., Трубицын В.П., Самсоненко Л.В. Физика Земли и планет. Фигуры и внутреннее строение. М.: Наука, 1971. 383 с.
Дополнительные файлы





