THE PROBABILISTIC MODEL OF ULTRASHORT PULSES SCATTERING ON A FREE ELECTRON
- Authors: Bugaev A.S.1, Khramov E.S.1, Astapenko V.A.1
-
Affiliations:
- Moscow Institute of Physics and Technology (National Research University)
- Issue: Vol 510, No 1 (2023)
- Pages: 6-9
- Section: ФИЗИКА
- URL: https://journal-vniispk.ru/2686-7400/article/view/135926
- DOI: https://doi.org/10.31857/S2686740023030045
- EDN: https://elibrary.ru/OYIPRJ
- ID: 135926
Cite item
Full Text
Abstract
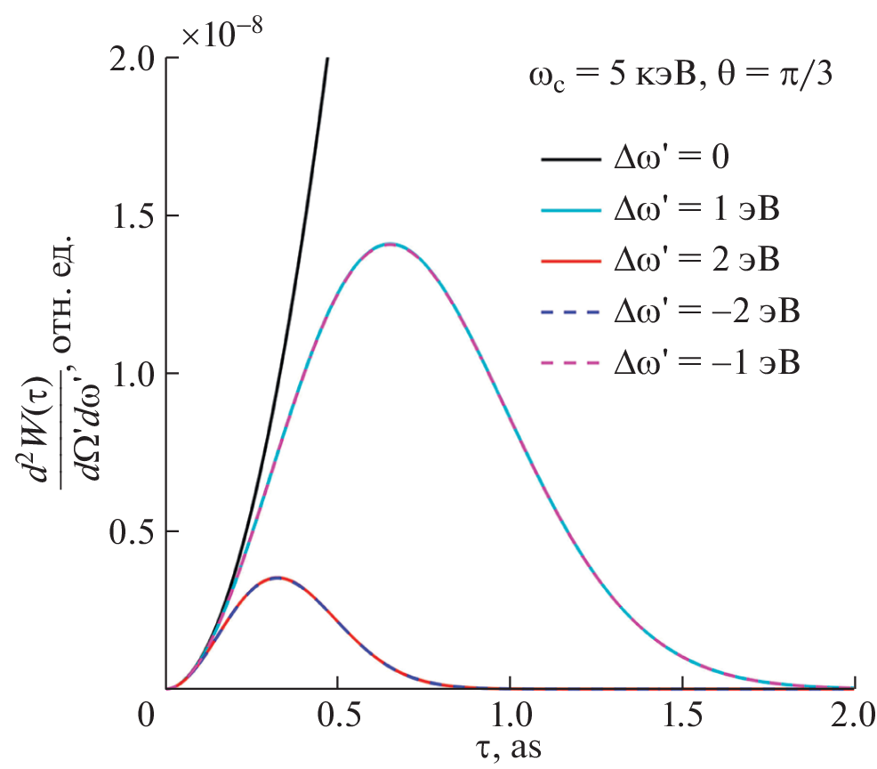
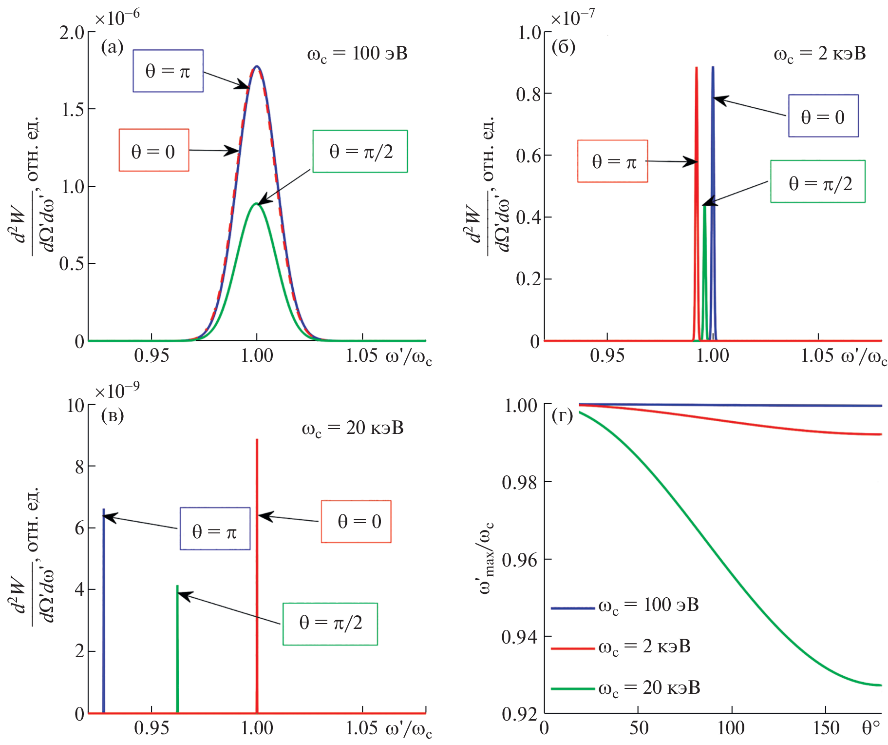
We devoted our study to the generalization of the traditional approach for the description of photon scattering on free electrons in the case of ultrashort laser pulses (USLP). In the framework of the second order of quantum mechanical perturbation theory with the use of the Klein–Nishina formula, we derived the expression for the total scattering probability during the whole time of the pulse action that is applicable in the relativistic limit. The redshift of scattered pulse spectra at the scattering angle increase in the relativistic case was studied. The trends of the total scattering probability on the USLP duration were categorized.
About the authors
A. S. Bugaev
Moscow Institute of Physics and Technology (National Research University)
Email: Egor.Khramov@phystech.edu
Russia, Moscow
E. S. Khramov
Moscow Institute of Physics and Technology (National Research University)
Author for correspondence.
Email: Egor.Khramov@phystech.edu
Russia, Moscow
V. A. Astapenko
Moscow Institute of Physics and Technology (National Research University)
Email: Egor.Khramov@phystech.edu
Russia, Moscow
References
- Lawrence J.R., Waugh D. Laser Surface Engineering: Processes and Applications. Elsevier, 2014.
- Varro S. Free Electron Lasers. Intech, Rijeka, 2012.
- Kang H.S., Ko I.S. // Nat. Photonics. 2020. V. 14. P. 7–8.
- Kida Y., Kinjo R., Tanaka T. // Appl. Phys. Lett. 2016. V. 109. 151107.
- McNeil B.W.J., Thompson N.R. // Nat. Photonics. 2010. V. 4. P. 814–821.
- Klein O., Nishina T. // Z. Phys. 1929. V. 52. P. 11–12.
- Nelms A.T. Graphs of the Compton energy-angle relationship and the Klein–Nishina formula from 10 keV to 500 MeV // US Government Printing Office, Washington, 1953. V. 542.
- Chao C.Y. // Phys. Rev. 1930. V. 36. 10.
- Read J., Lauritsen C.C. // Phys. Rev. 1934. V. 45. P. 7.
- Astapenko V.A. // Phys. Lett. A. 2010. V. 374. P. 1585–1590.
- Астапенко В.А. // ЖЭТФ. 2011. Т. 139. С. 228.
- Astapenko V.A., Rosmej F.B., Lisitsa V.S., Khramov E.S. // Phys. Plasmas. 2020. V. 27. 083301.




