SYNCHRONIZED ACTIVE ANTENNA ARRAYS FOR STUDYING THE PASSAGE OF ULTRA-WIDEBAND SIGNALS IN THE ATMOSPHERE AND IONOSPHERE
- Authors: Lebedev E.F.1, Ostashev V.E.1, Ulyanov A.V.1, Fedorov V.M.1, Shurupov M.A.1
-
Affiliations:
- Joint Institute for High Temperatures of the Russian Academy of Sciences
- Issue: Vol 510, No 1 (2023)
- Pages: 30-34
- Section: ФИЗИКА
- URL: https://journal-vniispk.ru/2686-7400/article/view/135933
- DOI: https://doi.org/10.31857/S2686740023030112
- EDN: https://elibrary.ru/OYWDHI
- ID: 135933
Cite item
Full Text
Abstract
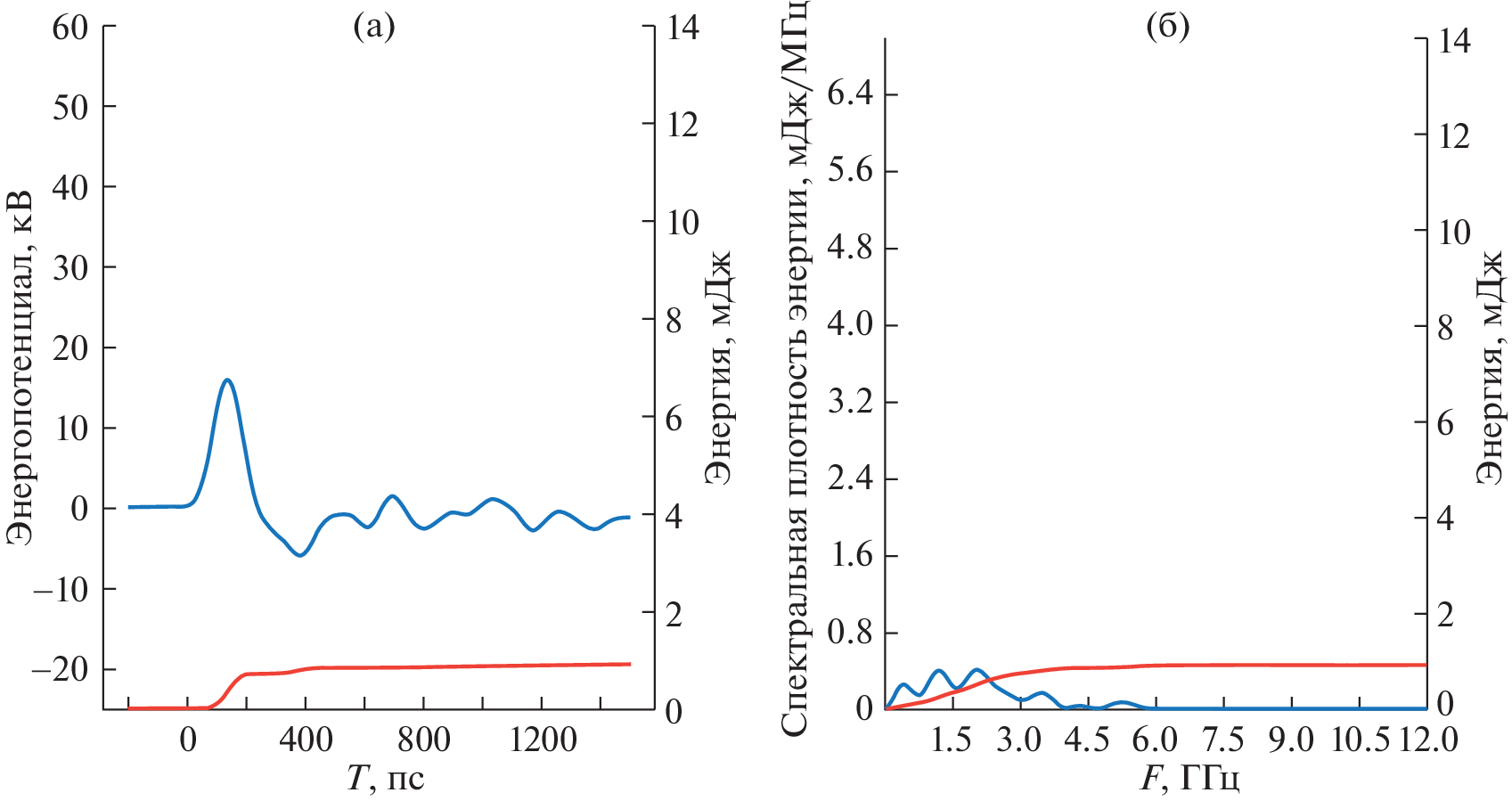
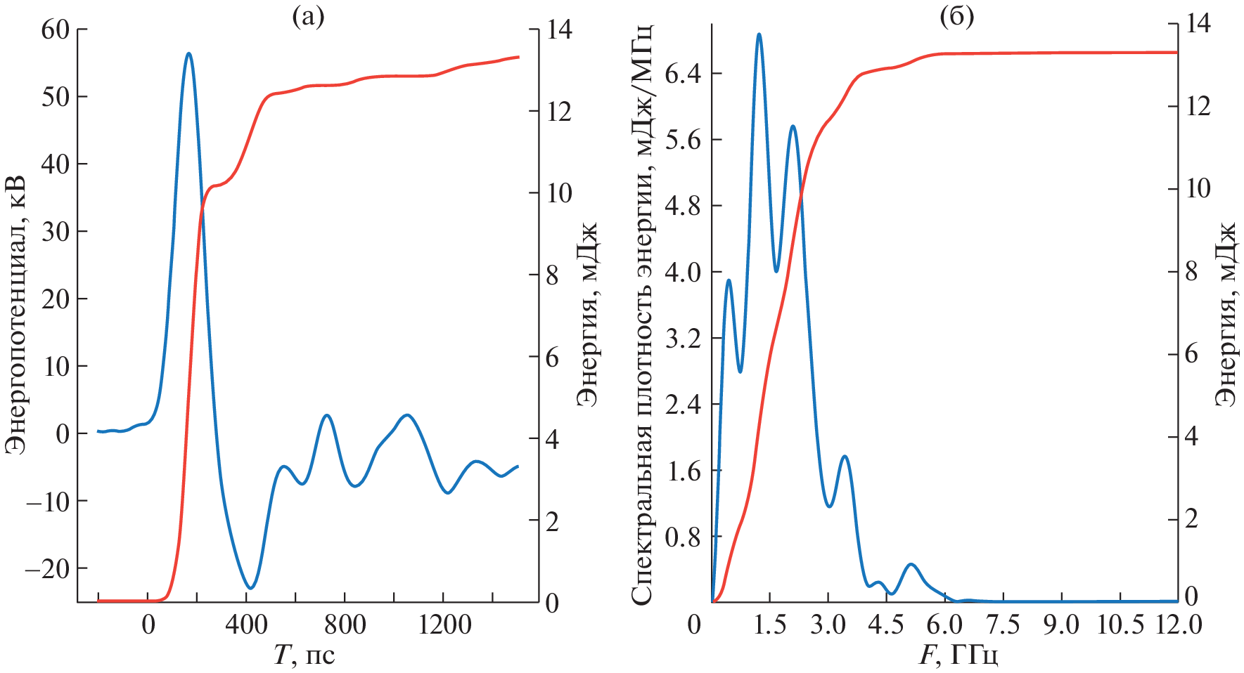
Active synchronized antenna arrays generating ultra-wideband radiation with an electric field strength of about 1 V/m at a distance of several hundred kilometers have been studied. They are designed to study the passage of ultra-wideband signals in the surface layer of the atmosphere and through ionosphere. Synchronous antenna arrays with 4 and 9 radiating modules have been created. Their radiation has a symmetrical radiation pattern along the X and Y axes with a pulse duration at half-height of about 100 ps. They have a pulse energy potential (E × R) of about 60 and 150 kV, with a gross weight of 50 and 100 kg, respectively. Such characteristics allow these arrays to be placed on air carriers. The option of using air balloons when radiating in the surface layer of the atmosphere and the option of the meteorological rockets placing when radiating from a height of 300 km to the Earth surface is considered.
About the authors
E. F. Lebedev
Joint Institute for High Temperatures of the Russian Academy of Sciences
Author for correspondence.
Email: lebedev@ihed.ras.ru
Russia, Moscow
V. E. Ostashev
Joint Institute for High Temperatures of the Russian Academy of Sciences
Email: lebedev@ihed.ras.ru
Russia, Moscow
A. V. Ulyanov
Joint Institute for High Temperatures of the Russian Academy of Sciences
Email: lebedev@ihed.ras.ru
Russia, Moscow
V. M. Fedorov
Joint Institute for High Temperatures of the Russian Academy of Sciences
Email: lebedev@ihed.ras.ru
Russia, Moscow
M. A. Shurupov
Joint Institute for High Temperatures of the Russian Academy of Sciences
Email: lebedev@ihed.ras.ru
Russia, Moscow
References
- Yalandin M.I., Luybutin S.K., Rukin S.N. et al. Formation of nano- and subnanosecond width high-PRF powerful voltage pulses by using a hybrid modulator schemes // Proc. of 13th Intern. Symp. on High Current Electronics. Tomsk, Russia. 25–29 July 2004. P. 153.
- Koshelev V.I., Gubanov V.P., Efremov A.M. et al. High-Power ultrawideband radiation source with multielement array antenna // Proc. of 13th Intern. Symp. on High Current Electronics. Tomsk, Russia. 25–29 July 2004. P. 258.
- Efanov V.M. Gigawatt all solid state nano- and picosecond pulse generators for radar applications // Proc. on 14th IEEE Int. Pulsed Power Conf. Dallas. TX. June 2003. P. 100.
- Prather W.D., Baum C.E., Torres R.J. et al. Survey of worldwide high-power wideband capabilities // IEEE Trans. on Electromagnetic Compatibility. V. 46. № 3. August 2004. P. 335–344.
- Mesyats G.A., Rukin S.N., Shpak V.G., Yalandin M.I. Generation of high-power sub-nanosecond pulses // Ultra-Wideband, Short-Pulse Electromagnetics 4 / Ed. by E. Heyman, B. Mandelbaum, and J Shiloh. N.Y.: Plenum, 1999.
- Efanov V.M., Fedorov V.M., Grekhov I.V. et al. Multiunit UWB Radiator of Electro-Magnetic Waves with Controlled Directional Pattern //Proc. of 13th Intern. Symp. on High Current Electronics. Tomsk, Russia. 25–29 July 2004. P. 262.
- Сахаров К.Ю. Излучатели сверхкоротких электромагнитных импульсов и методы измерений их параметров. М.: МИЭМ, 2006. 159 с.
- Fedorov V.M., Efanov M.V., Ostashev V.Ye. et al. Antenna Array with TEM-Horn for Radiation of High-Power Ultra Short Electromagnetic Pulses // Electronics. 2021. 10 (9), 1011. https://doi.org/10.3390/electronics10091011
- Ефанов М.В., Лебедев Е.Ф., Ульянов А.В. и др. Излучательно-измерительный комплекс для исследования прохождения сверхширокополосных сигналов в атмосфере и ионосфере земли // Теплофиз. выс. темп. 2021. Т. 59. № 6. С. 877–884. https://doi.org/10.31857/S0040364421060028
- Гарнов С.В., Селемир В.Д., Букин В.В., Долматов Т.В., Горбенко Д.А., Жданов В.С., Ефанов М.В., Лебедев Е.Ф., Осташев В.Е., Семенов В.А., Ульянов А.В., Федо-ров В.М., Шурупов М.А. Прямой эксперимент по прохождению сверхширокополосных импульсов субнаносекундной длительности в атмосфере Земли // Доклады РАН. Физика, технические науки. 2023. Т. 509. С. 9–14.
Supplementary files






