ТУРБУЛЕНТНЫЙ ПОГРАНИЧНЫЙ СЛОЙ НА ПРОНИЦАЕМОЙ ПЛАСТИНЕ В СВЕРХЗВУКОВОМ ПОТОКЕ С ПОЛОЖИТЕЛЬНЫМ ГРАДИЕНТОМ ДАВЛЕНИЯ ПРИ ВДУВЕ ИНОРОДНОГО ГАЗА
- Авторы: Леонтьев А.И.1,2, Лущик В.Г.1, Макарова М.С.1
-
Учреждения:
- Научно-исследовательский институт механики Московского государственного университета имени М.В. Ломоносова
- Московский государственный технический университет имени Н.Э. Баумана
- Выпуск: Том 510, № 1 (2023)
- Страницы: 64-69
- Раздел: МЕХАНИКА
- URL: https://journal-vniispk.ru/2686-7400/article/view/135947
- DOI: https://doi.org/10.31857/S2686740023030124
- EDN: https://elibrary.ru/OYZVDL
- ID: 135947
Цитировать
Полный текст
Аннотация
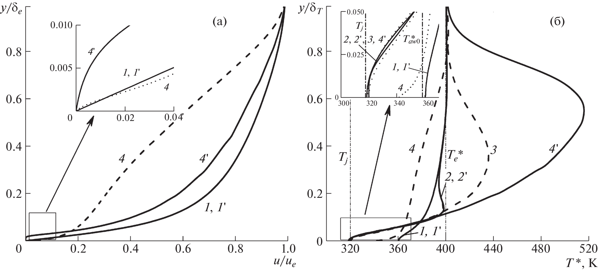
Проведено численное моделирование турбулентного пограничного слоя на проницаемой пластине при вдуве гелия в сверхзвуковой поток ксенона при наличии положительного продольного градиента давления. Рассмотрены режимы вдува, при которых температура вдуваемого газа ниже температуры адиабатной непроницаемой стенки и температуры торможения набегающего потока. Подтверждено существование минимума температуры проницаемой стенки, при котором температура стенки ниже температуры вдуваемого газа, при этом существуют два сечения по длине проницаемой пластины, в которых выполняются условия адиабатности. Результаты расчетов сверхзвукового течения с продольным градиентом давления существенно отличаются от результатов, полученных для безградиентного обтекания пластины, как для докритического, так и для критического вдува.
Об авторах
А. И. Леонтьев
Научно-исследовательский институт механики Московского государственного университетаимени М.В. Ломоносова; Московский государственный технический университет имени Н.Э. Баумана
Email: mariia.makarova@gmail.com
Россия, Москва; Россия, Москва
В. Г. Лущик
Научно-исследовательский институт механики Московского государственного университетаимени М.В. Ломоносова
Автор, ответственный за переписку.
Email: vgl_41@mail.ru
Россия, Москва
М. С. Макарова
Научно-исследовательский институт механики Московского государственного университетаимени М.В. Ломоносова
Автор, ответственный за переписку.
Email: mariia.makarova@gmail.com
Россия, Москва
Список литературы
- Shirokow M. // Technical Physics of the USSR. 1936. V. 3. № 12. P. 1020.
- Neumann R.D., Freeman D.C. // J. of Spacecraft and Rockets. 2012. V. 49. № 6. P. 1080–1087.
- Gomes A., Niehuis R. // Proc. of ASME Turbo Expo. 2013. P. 1–8.
- Леонтьев А.И., Лущик В.Г., Макарова М.С., Попович С.С. // Теплофизика высоких температур. 2022. Т. 60. № 3. С. 455–480.
- Pohlhausen E. // ZAMM, Journal Applyed Mathemantics /Zeitschrift für Angewandte Mathematik und Mechanik. 1921. V. 1. P. 115–121.
- Eckert E.R.G. // Int. Commun. Heat Mass Transf. 1986. V. 13. P. 127–143.
- Kulkarni K.S., Madanan U., Goldstein R.J. // Int. J. HeatMass Transfer. 2020. V. 152. 119498.
- Stinson M., Goldstein R.J. // First Thermal and Fluids Engineering Summer Conference, 2016. P. 945.
- Hayes J.R., Neumann R.D. // Tactical Missile Aerodynamics. Progress in Astronautics and Aeronautics Series. V. 142. Washington: AIAA, 1992. P. 63.
- Леонтьев А.И. // Теплофизика высоких температур. 1997. Т. 35. № 1. С. 157.
- Волчков Э.П., Макаров М.С. // Изв. РАН. Энергетика. 2006. № 2. С. 9–31.
- Ковальногов Н.Н. // Изв. вузов. Авиационная техника. 2010. № 3. С. 28.
- Макаров М.С., Макарова С.Н. // Теплофизика и аэромеханика. 2013. Т. 20. № 6. С. 777.
- Бурцев С.А. // Теплофизика высоких температур. 2014. Т. 52. № 1. С. 14.
- Leontiev A.I., Lushchik V.G., Makarova M.S. // Proc. 16th International Heat Transfer Conference. IHTC-16 August 10–15, 2018. Beijing, China. 2018. № 24138.
- Bunker R.S. // J. Heat Transfer. 2005. V. 127. P. 441–453.
- Johnson H., Rubesin M.W. // Trans. ASME. 1949. V. 75. № 5. P. 447.
- Ackerman G. // Forschung auf dem Gebiete des Ingenieurwesens. 1942. Bd. 13. S. 226.
- El-Genk M.S., Tournier J.M. // Energy Convers. Manag. 2008. V. 49. P. 1882–1891.
- Belcher J.R., Slaton W.V., Raspet R., Bass H.E., Lightfoot J. // J. Acoust. Soc. Am. 1999. V. 105. P. 2677–2684.
- Киров В.С., Кожелупенко Ю.Д., Тетельбаум С.Д. // Инженерно-физический журнал. 1974. Т. 26. № 2. С. 226–228.
- Александров А.А., Григорьев Б.А. Таблицы теплофизических свойств воды и водяного пара. Справочник. М.: Издательство МЭИ, 1999. 168 с.
- Варгафтик Н.Б. Справочник по теплофизическим свойствам газов и жидкостей. М.: Наука, 1972. 720 с.
- Leontiev A.I., Lushchik V.G., Makarova M.S. // Int. J. Heat Mass Transfer. 2020. V. 147. № 118959. P. 1–7.
- Леонтьев А.И., Лущик В.Г., Макарова М.С. // Доклады Академии наук. 2018. Т. 482. № 1. С. 38–41.
- Лущик В.Г., Макарова М.С. // Изв. РАН. Механика жидкости и газа. 2020. № 5. С. 61–64.
- Леонтьев А.И., Лущик В.Г., Макарова М.С. // Доклады Академии наук. 2022. Т. 502. № 1. С. 60–64.
- Лущик В.Г., Макарова М.С. // Теплофизика и аэромеханика. 2018. Т. 25. № 2. С. 177–190.
- Leontiev A.I., Lushchik V.G., Makarova M.S. // Computational Thermal Sciences. 2019. V. 11. № 1–2. P. 41–49.
- Лущик В.Г., Макарова М.С. // Изв. РАН. Механика жидкости и газа. 2022. № 3. С. 102–114.
- Makarova M.S., Lushchik V.G. // Journal of Physics: Conference Series. 2017. V. 891. № 012066.
- Рид Р., Праусниц Дж., Шервуд Г. Свойства газов и жидкостей. Л.: Химия, 1982. 592 с.
- Clauser F.H. // Journal of the Aeronautical Sciences. 1954. V. 21. P. 91–108.
Дополнительные файлы






