ВЛИЯНИЕ НАПРАВЛЕННОСТИ ИСТОЧНИКОВ НА ФАЗОВЫЕ ИНВАРИАНТЫ ВЕКТОРНО-СКАЛЯРНЫХ ПОЛЕЙ В МЕЛКОМ МОРЕ
- Авторы: Кузнецов Г.Н.1, Степанов А.Н.1,2
-
Учреждения:
- Институт общей физики им. А.М. Прохорова Российской академии наук
- Самарский национальный исследовательский университет имени академика С.П. Королева
- Выпуск: Том 512, № 1 (2023)
- Страницы: 17-23
- Раздел: ФИЗИКА
- URL: https://journal-vniispk.ru/2686-7400/article/view/232958
- DOI: https://doi.org/10.31857/S2686740023050073
- EDN: https://elibrary.ru/OVJEMS
- ID: 232958
Цитировать
Полный текст
Аннотация
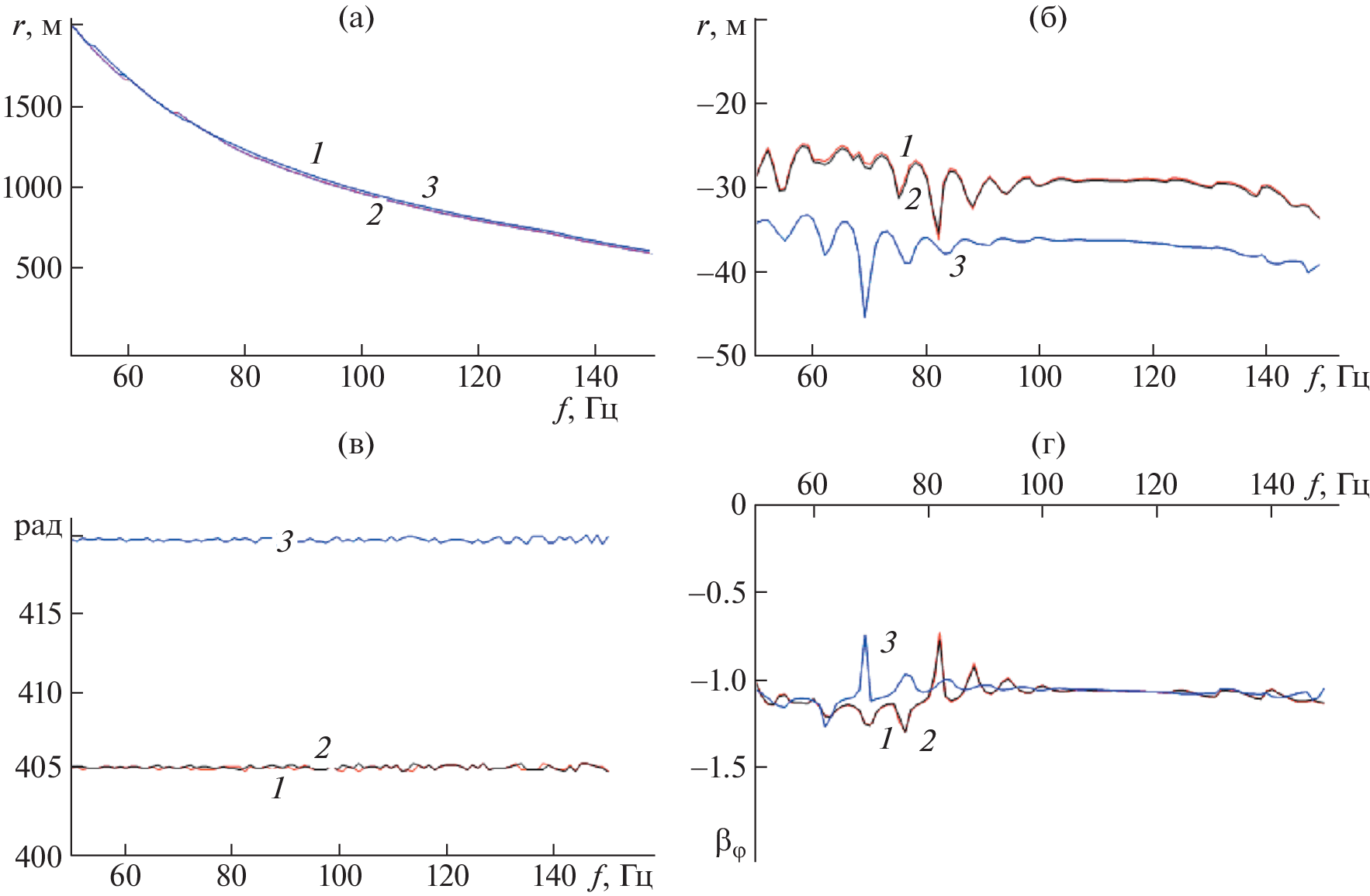
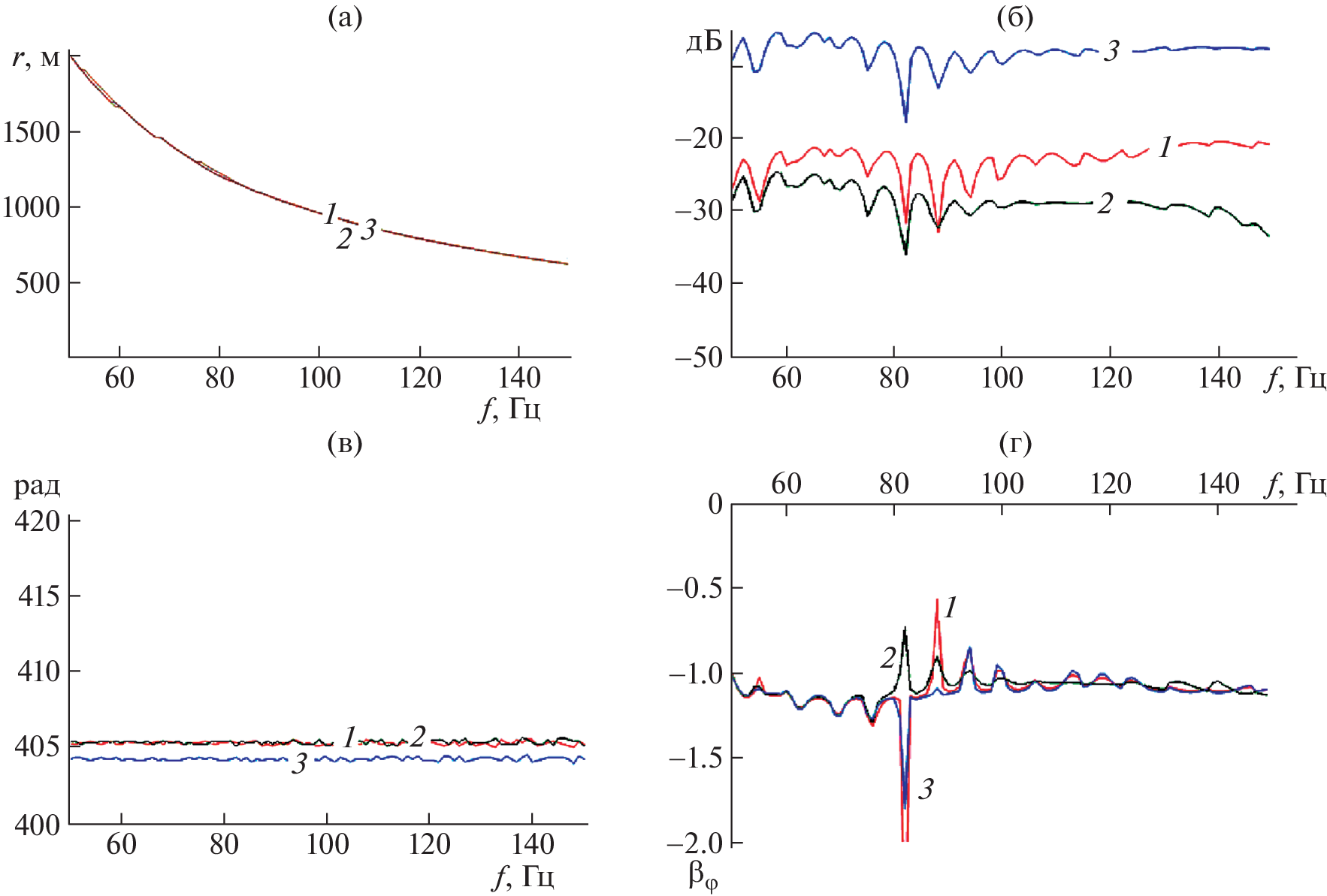
Впервые исследуются свойства фазового инварианта звукового поля применительно к векторно-скалярным полям, образованным в волноводе направленными – мультипольными источниками. Показано, что при использовании даже таких сложных источников фазовый инвариант справедлив для звукового давления и для проекций вектора колебательной скорости. Он практически не зависит от направленности и частоты источника, расстояния и от параметров волновода.
Об авторах
Г. Н. Кузнецов
Институт общей физики им. А.М. Прохорова Российской академии наук
Автор, ответственный за переписку.
Email: skbmortex@mail.ru
Россия, Москва
А. Н. Степанов
Институт общей физики им. А.М. Прохорова Российской академии наук; Самарский национальный исследовательский университет имени академика С.П. Королева
Email: skbmortex@mail.ru
Россия, Москва; Россия, Самара
Список литературы
- Чупров С.Д. Интерференционная структура звукового поля в слоистом океане // Акустика океана. Современное состояние. М.: Наука, 1982. С. 71–91.
- Kuznetsov G.N., Stepanov A.N. Interference and Phase Invariants of Sound Fields // Physics of Wave Phenomena. 2021. V. 29. № 3. P. 285–292.
- Бреховских Л.М. Волны в слоистых средах. М.: Наука, 1973. 279 с.
- Кузнецов Г.Н., Степанов А.Н. Векторно-скалярные поля мультипольных гидроакустических источников, эквивалентных шумоизлучению морских объектов. М.: Буки-Веди, 2022. 304 с.
Дополнительные файлы







