NEW MARKERS FOR DETERMINATION OF CAROTENOID MOLECULES ISOMERISM USING RAMAN SPECTROSCOPY
- Authors: Vasimov D.D.1, Ashikhmin A.A.2, Bolshakov M.A.2, Moskovskiy M.N.3, Gudkov S.V.1, Yanykin D.V.1,2, Novikov V.S.1
-
Affiliations:
- Prokhorov General Physics Institute of the Russian Academy of Sciences
- FRC PSCBR, Russian Academy of Sciences
- Federal Scientific Agroengineering Center VIM
- Issue: Vol 513, No 1 (2023)
- Pages: 10-17
- Section: ФИЗИКА
- URL: https://journal-vniispk.ru/2686-7400/article/view/247137
- DOI: https://doi.org/10.31857/S2686740023060147
- EDN: https://elibrary.ru/HSYSNV
- ID: 247137
Cite item
Full Text
Abstract
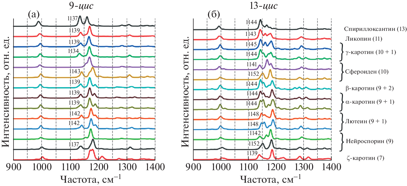
The paper presents an analysis of the experimental and calculated Raman spectra of plant and bacterial carotenoids: neurosporin, spheroiden, lycopene, spirilloxanthin, β-carotene, lutein, ζ-carotene, α-carotene and γ-carotene. A number of characteristic features in the Raman spectra of carotenoids are described for the first time, which make it possible to determine the structure of end groups of molecules and to distinguish their isomers.
About the authors
D. D. Vasimov
Prokhorov General Physics Institute of the Russian Academy of Sciences
Email: vs.novikov@kapella.gpi.ru
Russia, Moscow
A. A. Ashikhmin
FRC PSCBR, Russian Academy of Sciences
Email: vs.novikov@kapella.gpi.ru
Russia, Moscow Region, Pushchino
M. A. Bolshakov
FRC PSCBR, Russian Academy of Sciences
Email: vs.novikov@kapella.gpi.ru
Russia, Moscow Region, Pushchino
M. N. Moskovskiy
Federal Scientific Agroengineering Center VIM
Email: vs.novikov@kapella.gpi.ru
Russia, Moscow
S. V. Gudkov
Prokhorov General Physics Institute of the Russian Academy of Sciences
Email: vs.novikov@kapella.gpi.ru
Russia, Moscow
D. V. Yanykin
Prokhorov General Physics Institute of the Russian Academy of Sciences; FRC PSCBR, Russian Academy of Sciences
Email: vs.novikov@kapella.gpi.ru
Russia, Moscow; Russia, Moscow Region, Pushchino
V. S. Novikov
Prokhorov General Physics Institute of the Russian Academy of Sciences
Author for correspondence.
Email: vs.novikov@kapella.gpi.ru
Russia, Moscow
References
- Thomas D.B. et al. Non-destructive descriptions of carotenoids in feathers using Raman spectroscopy // Anal. Methods. 2014. V. 6. № 5. P. 1301–1308. https://doi.org/10.1039/C3AY41870G
- Elvira-Torales L.I., García-Alonso J., Periago-Castón M.J. Nutritional Importance of Carotenoids and Their Effect on Liver Health: A Review // Antioxidants. 2019. V. 8. № 7. P. 229. https://doi.org/10.3390/antiox8070229
- Meléndez-Martínez A.J., Stinco C.M., Mapelli-Brahm P. Skin Carotenoids in Public Health and Nutricosmetics: The Emerging Roles and Applications of the UV Radiation-Absorbing Colourless Carotenoids Phytoene and Phytofluene // Nutrients. 2019. V. 11. № 5. P. 1093. https://doi.org/10.3390/nu11051093
- Mohanty I. et al. Lycopene prevents sugar-induced morphological changes and modulates antioxidant status of human lens epithelial cells // Br. J. Nutr. 2002. V. 88. № 4. P. 347–354. https://doi.org/10.1079/BJN2002659
- Brown L. et al. A prospective study of carotenoid intake and risk of cataract extraction in US men // Am. J. Clin. Nutr. 1999. V. 70. № 4. P. 517–524. https://doi.org/10.1093/ajcn/70.4.517
- Johnson E.J. The Role of Carotenoids in Human Health // Nutr. Clin. Care. 2002. V. 5. № 2. P. 56–65. https://doi.org/10.1046/j.1523-5408.2002.00004.x
- Böhm V. et al. Trolox Equivalent Antioxidant Capacity of Different Geometrical Isomers of α-Carotene, β-Carotene, Lycopene, and Zeaxanthin // J. Agric. Food Chem. 2002. V. 50. № 1. P. 221–226. https://doi.org/10.1021/jf010888q
- Demmig-Adams B., Gilmore A.M., Iii W.W.A. In vivo functions of carotenoids in higher plants // FASEB J. 1996. V. 10. № 4. P. 403–412. https://doi.org/10.1096/fasebj.10.4.8647339
- Khoo H.-E. et al. Carotenoids and Their Isomers: Color Pigments in Fruits and Vegetables // Molecules. 2011. V. 16. № 2. P. 1710–1738. https://doi.org/10.3390/molecules16021710
- Guo W.-H.H., Tu C.-Y.Y., Hu C.-H.H. Cis–Trans Isomerizations of β-Carotene and Lycopene: A Theoretical Study // J. Phys. Chem. B. 2008. V. 112. № 38. P. 12158–12167. https://doi.org/10.1021/jp8019705
- Britton G. Carotenoids // Natural Food Colorants. Boston, MA: Springer US, 1996. P. 197–243. https://doi.org/10.1007/978-1-4615-2155-6_7
- Stahl W. et al. Separation of beta-carotene and lycopene geometrical isomers in biological samples. // Clin. Chem. 1993. V. 39. № 5. P. 810–814.
- Boileau T.W.-M., Boileau A.C., Erdman J.W. Bioavailability of all-trans and cis–Isomers of Lycopene // Exp. Biol. Med. 2002. V. 227. № 10. P. 914–919. https://doi.org/10.1177/153537020222701012
- Wang H. et al. Antioxidant, anticancer activity and molecular docking study of lycopene with different ratios of Z-isomers // Curr. Res. Food Sci. 2023. V. 6. P. 100455. https://doi.org/10.1016/j.crfs.2023.100455
- Lademann J. et al. Carotenoids in human skin // Exp. Dermatol. 2011. V. 20. № 5. P. 377–382. https://doi.org/10.1111/j.1600-0625.2010.01189.x
- Smith G.D., Jaffe R.L. Quantum chemistry study of conformational energies and rotational energy barriers in n-alkanes // J. Phys. Chem. 1996. V. 100. № 48. P. 18718–18724. https://doi.org/10.1021/jp960413f
- Новиков В.С., Кузнецов С.М., Кузьмин В.В., Прохоров К.А., Сагитова Е.А., Дарвин М.Е., Ладеманн Ю., Устынюк Л.Ю., Николаева Г.Ю. Анализ природных и синтетических соединений, содержащих полиеновые цепи, методом спектроскопии комбинационного рассеяния // Доклады РАН. Физика, технические науки. 2021. Т. 500. С. 26–33. https://doi.org/10.31857/S2686740021050060
- Darvin M.E., Gersonde I., Ey S., Brandt N. N., Albrecht H., Gonchukov S.A., Sterry W. and J.L. Noninvasive selective detection of lycopene and β-carotene in human skin using Raman spectroscopy // Laser Phys. 2004. V. 14. № 2. P. 231–233.
- Ishigaki M. et al. Unveiling the Aggregation of Lycopene in Vitro and in Vivo: UV-Vis, Resonance Raman, and Raman Imaging Studies // J. Phys. Chem. B. 2017. V. 121. № 34. P. 8046–8057. https://doi.org/10.1021/acs.jpcb.7b04814
- Novikov V.S. et al. Relations between the Raman spectra and molecular structure of selected carotenoids: DFT study of α-carotene, β-carotene, γ-carotene and lycopene // Spectrochim. Acta Part A Mol. Biomol. Spectrosc. Elsevier, 2022. V. 270. P. 120755. https://doi.org/10.1016/j.saa.2021.120755
- Novikov V.S. et al. DFT study of Raman spectra of polyenes and ß-carotene: Dependence on length of polyene chain and isomer type // Spectrochim. Acta Part A Mol. Biomol. Spectrosc. Elsevier B.V. 2021. V. 255. P. 119668. https://doi.org/10.1016/j.saa.2021.119668
- Ashikhmin A., Makhneva Z., Moskalenko A. The LH2 complexes are assembled in the cells of purple sulfur bacterium Ectothiorhodospira haloalkaliphila with inhibition of carotenoid biosynthesis // Photosynth. Res. 2014. V. 119. № 3. P. 291–303. https://doi.org/10.1007/s11120-013-9947-6
- Ashikhmin A. et al. Incorporation of spheroidene and spheroidenone into light-harvesting complexes from purple sulfur bacteria // J. Photochem. Photobiol. B Biol. 2017. V. 170. P. 99–107. https://doi.org/10.1016/j.jphotobiol.2017.03.020
- Nanba O., Satoh K. Isolation of a photosystem II reaction center consisting of D-1 and D-2 polypeptides and cytochrome b-559 // Proc. Natl. Acad. Sci. 1987. V. 84. № 1. P. 109–112. https://doi.org/10.1073/pnas.84.1.109
- Laikov D.N., Ustynyuk Y.A. PRIRODA-04: a quantum-chemical program suite. New possibilities in the study of molecular systems with the application of parallel computing // Russ. Chem. Bull. 2005. V. 54. № 3. P. 820–826. https://doi.org/10.1007/s11172-005-0329-x
- Lunde K., Zechmeister L. Infrared Spectra and cis-trans Configurations of Some Carotenoid Pigments // J. Am. Chem. Soc. 1955. V. 77. № 6. P. 1647–1653. https://doi.org/10.1021/ja01611a071
- Koyama Y. et al. Raman and infrared spectra of the all-trans, 7-cis, 9-cis, 13-cis and 15-cis isomers of β-carotene: Key bands distinguishing stretched or terminal-bent configurations form central-bent configurations // J. Raman Spectrosc. 1988. V. 19. № 1. P. 37–49. https://doi.org/10.1002/jrs.1250190107
- Koyama Y. et al. Configuration of the carotenoid in the reaction centers of photosynthetic bacteria. Comparison of the resonance Raman spectrum of the reaction center of Rhodopseudomonas sphaeroides G1C with those of cis-trans isomers of β-carotene // Biochim. Biophys. Acta – Bioenerg. 1982. V. 680. № 2. P. 109–118. https://doi.org/10.1016/0005-2728(82)90001-9
- Saito S., Tasumi M., Eugster C.H. Resonance Raman spectra (5800–40 cm–1) of All-trans and 15-cis isomers of β-carotene in the solid state and in solution. Measurements with various laser lines from ultraviolet to red // J. Raman Spectrosc. 1983. V. 14. № 5. P. 299–309. https://doi.org/10.1002/jrs.1250140503
- Telfer A. What is β–carotene doing in the photosystem II reaction centre? // Philos. Trans. R. Soc. London. Ser. B Biol. Sci. / ed. Barber J., Anderson J.M. 2002. V. 357. № 1426. P. 1431–1440. https://doi.org/10.1098/rstb.2002.1139
- Bialek-Bylka G.E. et al. 15-cis-carotenoids found in the reaction center of a green sulfur bacterium Chlorobium tepidum and in the Photosystem I reaction center of a cyanobacterium Synechococcus vulcanus // Photosynth. Res. 1998. V. 58. № 2. P. 135–142. https://doi.org/10.1023/A:1006112323144
Supplementary files







