Солнечный элемент на основе перовскита в структуре с таммовским плазмон-поляритоном
- Авторы: Пыхтин Д.А.1,2, Бикбаев Р.Г.1,2, Тимофеев И.В.1,2, Ветров С.Я.1,2, Шабанов В.Ф.1
-
Учреждения:
- Институт физики им. Л.В. Киренского Сибирского отделения Российской академии наук – обособленное подразделение ФИЦ КНЦ СО
- Сибирский федеральный университет
- Выпуск: Том 514, № 1 (2024)
- Страницы: 29-33
- Раздел: ФИЗИКА
- URL: https://journal-vniispk.ru/2686-7400/article/view/261441
- DOI: https://doi.org/10.31857/S2686740024010042
- EDN: https://elibrary.ru/OTTDCA
- ID: 261441
Цитировать
Полный текст
Аннотация
Исследованы спектральные свойства солнечного элемента с фоточувствительным слоем перовскита в структуре с таммовским плазмон-поляритоном, локализованным на границе золотой нанорешетки и одномерного фотонного кристалла. Исследовано влияние параметров золотой решетки на поверхностную плотность тока и эффективность предложенного устройства. Показано, что при замене алюминиевой подложки на фотонный кристалл возбуждается таммовский плазмон-поляритон, обеспечивающий увеличение поверхностной плотности тока на 33.7%, а эффективности – на 35.1%.
Ключевые слова
Полный текст
Фотонными кристаллами (ФК) [1] называют среды, в которых показатель преломления изменяется в пространстве с периодом, сопоставимым с длиной волны света. В результате в спектральном составе прошедших через кристалл световых волн образуются пробелы, которые называют запрещенными зонами (ЗЗ). Их появление означает, что в этом спектральном диапазоне свет не может войти в фотонный кристалл или выйти из него в заданном направлении. Фотонные кристаллы легли в основу нанофотонных устройств, таких как миниатюрные лазеры [2], фотодетекторы [3], сенсоры [4]. Кроме этого, фотонные кристаллы активно используются для увеличения эффективности солнечных элементов (СЭ). Это обеспечивается за счет того, что ФК выступает в качестве отражающей подложки. Благодаря высокому коэффициенту отражения в пределах ЗЗ практически 100% излучения, падающего на ФК, отражается и проходит через фоточувствительный слой (ФЧС) повторно, увеличивая эффективность СЭ. В этом случае открывается возможность использования более тонких металлических пленок в качестве контактов и, как следствие, уменьшения нежелательных потерь в СЭ.
Использование перовскитов в качестве ФЧС позволяет увеличить эффективность СЭ за счет их высокой поглощательной способности. Так, с 2009 г. эффективность СЭ на основе перовскитов возросла с 3.8% [5] до 25% [6], что делает СЭ на основе перовскитов более перспективными в использовании.
Дополнительное увеличение поглощения в ФЧС возможно за счет возбуждения таммовского плазмон-поляритона (ТПП) [7], локализованного на границе раздела ФЧС–ФК. Возбуждение ТПП в СЭ приводит к возникновению дополнительной полосы поглощения падающего на структуру излучения и, как следствие, увеличению эффективности СЭ [8]. Принципиально новой была идея использования допированного плазмонными наночастицами ФЧС в формировании ТПП [9]. Авторами было показано, что при конструировании таких солнечных элементов можно полностью отказаться от использования металлических контактов, что позволяет избежать нежелательных потерь в системе. Однако в литературе не исследованы структуры, в которых планарная металлическая пленка в СЭ на основе ФК была бы заменена на двумерную решетку нанополос. В связи с этим в данной работе исследовано влияние параметров двумерной решетки на энергетические характеристики СЭ на основе пленки перовскита в структуре с ТПП.
ОПИСАНИЕ ИССЛЕДУЕМОЙ СТРУКТУРЫ
Схематическое изображение исследуемого солнечного элемента представлено на рис. 1.
Рис. 1. Схематическое изображение солнечного элемента на основе пленки перовскита с фотоннокристаллической подложкой.
Слой перовскита CH3NH3PbI3 (MAPbI3) толщиной 200 нм размещен между слоями с электронной (SnO2) и дырочной (Spiro-OMeTAD) проводимостью толщинами 20 нм. Ширина hstr и толщина dstr нанополосы в золотой решетке варьировалась при постоянном значении периода p = 300 нм. Элементарная ячейка ФК сформирована из диоксида кремния SiO2 и диоксида титана TiO2 с показателями преломления nSiO2 = 1.45, nTiO2 = 2.5 и толщинами dSiO2 = 120 нм, dTiO2 = 80 нм соответственно. Количество слоев ФК N = 10.
Зависимость действительной и мнимой части комплексного показателя преломления слоя перовскита изображена на рис. 2.
Рис. 2. Зависимости действительной и мнимой части комплексного показателя преломления перовскита MAPbI3 от длины волны (а); спектры отражения и пропускания исходного ФК (б).
Из рис. 2 видно, что в интервале длин волн от 600 до 800 нм мнимая часть комплексного показателя преломления принимает значения близкие к 0.1, в результате чего поглощение в этом спектральном диапазоне минимально. Эти данные были использованы для расчета спектров поглощения исследуемых структур и соответствующих им интегральных поглощений. Следует отметить, что под интегральным поглощением подразумевается поглощение в слое перовскита, нормированное на спектр солнечного излучения. Энергетические спектры структуры были рассчитаны методом конечных разностей во временной области (Finite-Difference Time-Domain – FDTD [10]). Расчетная область показана на рис. 1. Структура освещается сверху плоской волной с вектором E, направленным вдоль оси x. Коэффициент отражения R и пропускания T рассчитываются в верхней и нижней части расчетной области соответственно. Периодические граничные условия были применены к боковым границам, в то время как на верхней и нижней границах расчетной области было обеспечено идеальное поглощение (идеально поглощающий слой, Perfectly Matched Layer – PML). Поглощение A в ФЧС рассчитывалось с помощью дополнительного монитора. Спектры отражения и пропускания исходного фотонного кристалла представлены на рис. 2б. Запрещенная зона ФК находится в интервале длин волн от 600 до 850 нм.
РЕЗУЛЬТАТЫ РАСЧЕТА
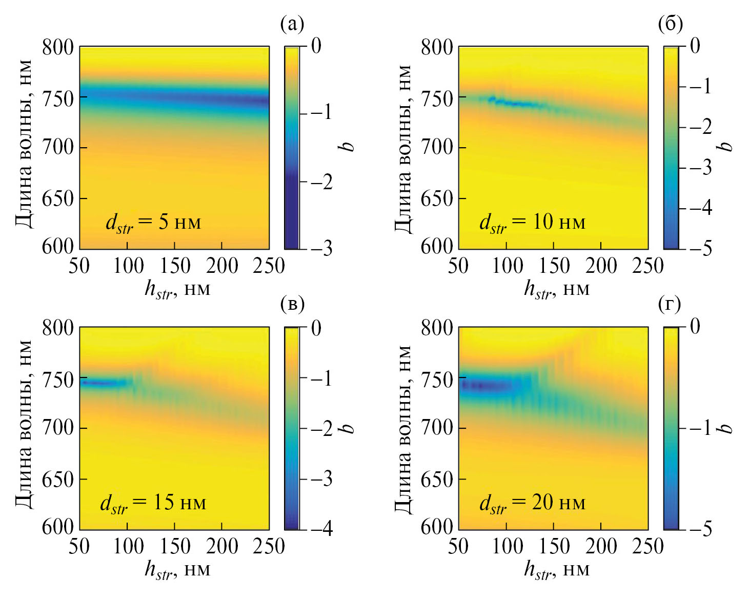
Зависимости коэффициента отражения структуры от длины волны, ширины и толщины нанополосы изображены на рис. 3.
Рис. 3. Зависимости коэффициента отражения структуры от длины волны и ширины при толщинах нанополос: a – 15 нм, б – 20 нм, в – 25 нм, г – 30 нм, где b – десятичный логарифм от коэффициента отражения.
Уменьшение ширины и толщины нанополосы приводит к уменьшению коэффициента отражения внутри запрещенной зоны фотонного кристалла. Видно, что коэффициент отражения минимален при hstr = 90 нм и dstr = 10 нм (cм. рис. 3б). Это объясняется тем, что при данных параметрах нанополос обеспечивается выполнение условия критической связи [11] падающего поля с ТПП, локализованным на границе ФЧС–ФК. В точке критической связи 85% падающего на структуру излучения поглощается в ФЧС (см. рис. 4). Расчеты показали, что возбуждение ТПП приводит к увеличению интегрального поглощения на 33.7% в сравнении со структурой на основе алюминия.
Рис. 4. Зависимость коэффициента отражения структуры на основе ФК (1) и поглощения в ФЧС в структурах на основе ФК (2) и на основе алюминия (3) от длины волны падающего света.
Для расчета эффективности СЭ было использовано уравнение энергетического баланса [12]:
(1)
здесь V – напряжение на элементе; J – поверхностная плотность тока; q – заряд электрона; Fs – излучательная генерация электронно-дырочных пар под действием падающего солнечного света; Fc(V) – излучательная рекомбинация электронно-дырочных пар.
Эффективность солнечного элемента может быть рассчитана по следующей формуле:
(2)
где FF – коэффициент заполнения солнечного элемента, а Pinc – мощность падающего света. Коэффициент заполнения – это параметр, который в сочетании с Voc и Jsc определяет максимальную мощность солнечного элемента. FF определяется как отношение максимальной мощности солнечного элемента к произведению Voc и Jsc:
(3)
Результаты расчетов представлены в табл. 1.
Таблица 1. Сравнение поверхностной плотности тока и эффективности для СЭ на основе Al и ФК
Структура | Jsc, А/м2 | η, % |
СЭ на основе Al | 51.33 | 24.19 |
СЭ на основе ФК | 69.98 | 33.06 |
Замена алюминиевой подложки на ФК приводит к увеличению поверхностной плотности тока на 36.3%, а эффективности на 36.6% в исследуемом интервале длин волн.
ЗАКЛЮЧЕНИЕ
В работе исследованы зависимости интегрального поглощения пленки перовскита, расположенной на границе фотонного кристалла и решетки золотых нанополос. Показано, что в такой структуре возбуждается таммовский плазмон-поляритон, который приводит к формированию дополнительной полосы поглощения внутри запрещенной зоны фотонного кристалла. Показано, что возбуждение локализованного состояния приводит к увеличению эффективности устройства на 36.6% в сравнении с солнечным элементом на основе пленки алюминия.
ИСТОЧНИК ФИНАНСИРОВАНИЯ
Работа выполнена в рамках научной тематики Госзадания Института физики им. Л.В. Киренского Сибирского отделения Российской академии наук.
КОНФЛИКТ ИНТЕРЕСОВ
Авторы данной работы заявляют, что у них нет конфликта интересов.
Об авторах
Д. А. Пыхтин
Институт физики им. Л.В. Киренского Сибирского отделения Российской академии наук – обособленное подразделение ФИЦ КНЦ СО; Сибирский федеральный университет
Автор, ответственный за переписку.
Email: dmitry_pykhtin@iph.krasn.ru
Россия, Красноярск; Красноярск
Р. Г. Бикбаев
Институт физики им. Л.В. Киренского Сибирского отделения Российской академии наук – обособленное подразделение ФИЦ КНЦ СО; Сибирский федеральный университет
Email: bikbaev@iph.krasn.ru
Россия, Красноярск; Красноярск
И. В. Тимофеев
Институт физики им. Л.В. Киренского Сибирского отделения Российской академии наук – обособленное подразделение ФИЦ КНЦ СО; Сибирский федеральный университет
Email: tiv@iph.krasn.ru
Россия, Красноярск; Красноярск
С. Я. Ветров
Институт физики им. Л.В. Киренского Сибирского отделения Российской академии наук – обособленное подразделение ФИЦ КНЦ СО; Сибирский федеральный университет
Email: svetrov@sfu-kras.ru
Россия, Красноярск; Красноярск
В. Ф. Шабанов
Институт физики им. Л.В. Киренского Сибирского отделения Российской академии наук – обособленное подразделение ФИЦ КНЦ СО
Email: shabanov@ksc.krasn.ru
академик РАН
Россия, КрасноярскСписок литературы
- Шабанов В.Ф., Ветров С.Я. Оптика реальных фотонных кристаллов. Жидкокристаллические дефекты, неоднородности. Новосибирск: Издательство СО РАН, 2005. 209 с.
- Shahed-E-Zumrat, Shahid S., Talukder M.A. Dual-wavelength hybrid Tamm plasmonic laser // Optics Express. 2022. V. 30. № 14. P.25234. https://doi.org/10.1364/OE.456249
- Huang С., Wu С., Bikbaev R.G. Wavelength-and- Angle-Selective Photodetectors Enabled by Graphene Hot Electrons with Tamm Plasmon Polaritons // Nanomaterials. 2023. V. 13. № 4. P. 693. https://doi.org/10.3390/nano13040693
- Huang S., Chen K., Jeng S. Phase sensitive sensor on Tamm plasmon devices // Optical Materials Express. 2017. V. 7. № 4. P. 1267. https://doi.org/10.1364/OME.7.001267
- Kojima A., Teshima K., Shirai Y. Organometal Halide Perovskites as Visible-Light Sensitizers for Photovoltaic Cells // J. Amer. Chem. Soc. 2009. V. 131. № 17. P. 6050. https://doi.org/10.1021/ja809598r
- Sahli F., Werner J., Kamino B.A. Fully textured monolithic perovskite/silicon tandem solar cells with 25.2% power conversion efficiency // Nature Materials. 2018. V. 17. № 9. P. 820. https://doi.org/10.1038/s41563-018-0115-4
- Kaliteevski M., Iorsh I., Brand S. Tamm plasmon-polaritons: Possible electromagnetic states at the interface of a metal and a dielectric Bragg mirror // Phys. Rev. B. 76. 2007. P. 165415. https://doi.org/10.1103/PhysRevB.76.165415
- Bikbaev R.G., Vetrov S.Ya., Timofeev I.V. Tamm Plasmon Polaritons for Light Trapping in Organic Solar Cells // Doklady Physics. 2020. V. 65. № 5. P. 161. https://doi.org/
- Bikbaev R.G., Vetrov S.Ya., Timofeev I.V. Nanoparticle Shape Optimization for Tamm-Plasmon-Polariton-Based Organic Solar Cells in the Visible Spectral Range // Photonics. 2022. V. 9. № 11. P. 786. https://doi.org/10.3390/photonics9110786
- Taflove A., Hagness S. Computational electrodynamics. Norwood (MA): Artech House, 2005. 169 р.
- Haus H.A. Waves and Fields in Optoelectronics. Prentice-Hall series in solid state physical electronics. Old Tappan (NJ): Prentice Hall, 1983. 402 р.
- Sandhu S., Yu Z., Fan S. Detailed balance analysis of nanophotonic solar cells // Opt. Express 21. 2013. P. 1209–1217. https://doi.org/10.1364/OE.21.001209
Дополнительные файлы







