О наиболее вероятном энерговыделении в структурированных средах
- Авторы: Романовский М.Ю.1,2,3
-
Учреждения:
- ЧУ “Наука и инновации”
- АНО Национальный центр физики и математики
- Российский национальный исследовательский медицинский университет имени Н.И. Пирогова
- Выпуск: Том 516, № 1 (2024)
- Страницы: 93-100
- Раздел: ТЕХНИЧЕСКИЕ НАУКИ
- URL: https://journal-vniispk.ru/2686-7400/article/view/272115
- DOI: https://doi.org/10.31857/S2686740024030138
- EDN: https://elibrary.ru/JYZAOS
- ID: 272115
Цитировать
Полный текст
Аннотация
Исследуется вопрос о выделении энергии в иерархически организованных средах, представляющих собой “куски” вещества различного размера, включающие в себя значительные количества вступающих в реакцию частиц, например молекул. Предельными средами здесь являются одномолекулярные (некластеризованные) газы этих веществ, с одной стороны, и однородные конденсированные вещества – с другой. При естественных предположениях о разном количестве частиц вещества, могущих вступить в реакцию энерговыделения (горения, взрыва и др.) в силу их расположения на поверхности/внутри структуры, динамике доступа к реагирующим частицам и очевидном вероятностном характере процесса проводится комбинаторная процедура определения наивероятнейшего распределения энерговыделения. В некотором простом приближении энерговыделение определяется одним параметром комбинаторной схемы. Наивероятнейшее распределение оказывается совпадающим с распределением безусловно минимальных значений энерговыделения. Результат может быть использован для количественной интерпретации отличия величин энерговыделения при горении, взрыве и других процессах при различных условиях.
Ключевые слова
Полный текст
Процесс энерговыделения в любой реакции – химической, ядерной, термоядерной – имеет статистический характер. Молекулы/атомы/ядра/частицы, находящиеся в определенном объеме вещества, могут вступать в реакцию (фактически всегда при соударении), а могут и не вступать вплоть до завершения процесса. Очевидно, что количество молекул и т.п. в этом объеме, принявших участие в реакции, есть случайная величина. Эта случайная величина определяет энерговыделение. Все вступающее в реакцию вещество можно разделить на группы молекул, распадающихся ядер и пр.1, энерговыделение в первой группе может быть ϵ1 при количестве частиц в ней p1, во второй – ϵ2 при количестве частиц в ней p2, и т.д. Так может быть определена функция распределения (или плотность вероятности распределения) энерговыделения. Наблюдаемыми величинами при этом будут некоторые средние – на одну молекулу, на одно ядро, на единицу объема и т.п. Этими средними могут быть величины размерности энергии, тогда можно говорить о характерных энерговыделениях в рассматриваемых реакциях.
Искомые функции распределения и их средние будут в настоящей работе определены с использованием комбинаторных схем. Простейшая комбинаторная схема, исходящая из равнораспределения по энергии одинаковых частиц при наличии определенного полного количества молекул и величины полной энергии, как известно [1, 2] сводится к выводу экспоненциального распределения Больцмана с помощью формулы Стирлинга. Cам процесс энерговыделения в простейшем случае предположения о равновероятности участия в реакции всех частиц и существовании конечной энергии при энерговыделении очевидно дает в качестве наивероятнейшей плотности вероятности распределения частиц по выделенной энергии
,
где Teff – нормировочный коэффициент, имеющий смысл некоторой средней, или эффективной, энергии процесса в этом же объеме. Как уже указывалось, можно рассчитывать эту энергию на одну частицу, вступающую в реакцию, или как-то еще.
Если же вступление в реакцию частиц в телах неравновероятно (одни, например, находятся на поверхности, другие – в толще вещества), то можно ожидать отличий в распределениях энерговыделений. Соответственно, энерговыделения в однотипных процессах в таких веществах, а тем более энерговыделения в различных процессах – горения и взрыва [3] – различаются. Об этом также пойдет речь в предлагаемой работе.
Вступление в реакцию зависит от многих параметров – плотности вещества, структуры вещества (степени дисперсности, специальных мер защиты и т.п.), температуры вещества и других характеристик. Покажем, что с точки зрения предлагаемой комбинаторной схемы расчета все эти параметры можно в грубом приближении свести к одному – эффективной работе выхода частицы из массива вещества для последующего вступления в реакцию, и затем учесть это в функции распределения. Действительно, в химической реакции могут “гореть” только частицы, находящиеся на поверхности твердого образца вещества (тела), в ядерные реакции будут вступать только те частицы, до которых долетят нейтроны, при химическом взрыве в реакцию вступают частицы на фронте ударной волны и т.п. В общем случае наше рассмотрение будет применимо к квазистационарным процессам – горению вещества с постепенным отделением реагирующих молекул от тела, эффектам на фронте ударной волны и т.д. В самом грубом приближении все эти процессы и могут быть учтены в единственном параметре работы выхода частицы из блока вещества со вступлением в энерговыделение в результате реакции.
Если реакции энерговыделения (взаимодействия молекул, в том числе сложные – цепные [3] и т.д.) происходят быстро, то получаемая функция распределения будет иметь смысл текущей, т.е. определенной в данный конкретный момент времени. Соответственно, работа выхода тоже должна быть взята в этот же момент времени. Если работа выхода меняется гораздо медленнее скорости реакции энерговыделения, она может войти в ответ в виде зависящей от (медленного) времени величины. Затем этот параметр – работу выхода – возможно использовать в комбинаторной схеме. Следующий шаг – использование еще одного параметра, соответствующее усложнение комбинаторной схемы и т.д.
Существуют различные теоретико-вероятностные схемы расчетов распределений вероятностей, например, прямой метод расчета плотности вероятности Р.Л. Стратоновича [4], хорошо подходящий для получения плотностей вероятности распределений плазменных микрополей [5–7], потенциалов [8, 9] прямо из микроскопических соотношений. В работе будет использована еще одна комбинаторная схема с одним вышеупомянутым дополнительным параметром [10]. Она описывает более сложные системы, состоящие из неразличимых с точки зрения энерговыделения тел, имеющих внутреннюю структуру, состоящую, в свою очередь, также из неразличимых частиц. Эта неразличимость здесь понимается не в смысле бозе- и фермичастиц, но в том смысле, что нам безразлично, какая частица прореагировала – нас интересует только выделившаяся энергия. Поэтому естественно возникает вопрос, что будет происходить с распределениями по энерговыделению в самом общем случае – если определенные группы частиц отграничены от других, или одни тела – частицы (назовем их частицами верхнего уровня) содержат другие (нижнего уровня, также неразличимые).
Решение задачи подсказывает комбинаторная проблема о количестве комбинаций при распределении предметов по группам. Покажем также, что к тем же результатам приведет рассмотрение некоторого специального распределения минимальных значений по энергии частиц нижнего уровня в частицах верхнего уровня по выборке частиц верхнего уровня.
Комбинаторная задача
Пусть имеется набор {mi} тел – назовем их частицами верхнего уровня такими, что в m1 таких неразличимых частицах содержится по p1 молекул (частиц нижнего уровня), вступающих в реакцию энерговыделения, в m2 – по p2, и т.д. вплоть до N молекулы – частицы нижнего уровня. Эти N молекул составляют M тел – частиц верхнего уровня. Далее введем n – общее количество различных расстановок молекул – частиц нижнего уровня, осуществивших энерговыделение, т.е. прореагировавших, по телам – частицам верхнего уровня. Полное количество N таких молекул
(1)
распределено по всем M телам
(2)
При этом общее количество перестановок всех таких молекул по всем телам есть W20 [11, 12]:
(3а)
а при условии упомянутой неразличимости тел с точки зрения энерговыделения
(3б)
Обычно пользуются выражением lnW1′ :
(4)
Заметим, что если здесь mi ≡ 1, то для задачи вычисления наивероятнейшего распределения, определяемого условиями (1, 2, 3б), мы имеем формулировку, аналогичную формулировке задачи о получении экспоненциального распределения Больцмана.
Далее задача может быть поставлена различными способами. Мы воспользуемся тем, который сведет задачу к [10]. В результате состоявшегося энерговыделения от одной частицы нижнего уровня выделяется энергия ϵ, она (в простейшем случае реакций [3], иначе надо специально дополнительно определять участвующие в реакции частицы) для всех таких частиц всех тел одна и та же. Как уже указывалось, количество реализованных энерговыделений в группе частиц pi в некотором теле mi меньше самой величины pi и составляет Pi. Тогда энерговыделение в теле mi составит ϵPi = ϵi, а полное энерговыделение системы
Мы, таким образом, считаем, что группа молекул pi произвела энерговыделение ϵi, не останавливаясь уже на реакции энерговыделения отдельной частицы нижнего уровня.
Теперь следует получить функции распределения групп молекул pi и тел mi по энергии ϵi. Для отыскания наивероятнейшего распределения по этим энергиям при произвольном mi следует учесть, что, кроме выражения (3) или (4а) и связей (1) и (2), еще имеются условия конечности полного энерговыделения всей системы “частицы нижнего уровня в телах”
(5)
которое практически означает, что существует среднее “энерговыделение” одной частицы нижнего уровня ⟨ϵi⟩:
(5а)
Эти средние ⟨ϵi⟩ различаются для разных процессов и могут быть связаны с наблюдаемыми энерговыделениями в данных процессах.
Решим комбинаторную задачу. Для этого сначала образуем вариацию от выражения (4) с учетом простейших связей (1), (2) и (5). Для этого в уравнение (4) надо в правую часть добавить члены αN + βM + γE с лагранжевыми множителями α, β, и γ:
(5б)
Используем также первое приближение формулы Стирлинга по m! и p! и произведем варьирование по δpi и δmi. Тогда получим для вариации наивероятнейшего распределения lnW1:
(6)
Соберем члены при независимых вариациях δpi и δmi. Для первой вариации, сократив все слагаемые на ненулевые величины δpi и mi, получим первое уравнение системы:
(7)
Для второй вариации, сократив на ненулевую величину δmi и использовав уравнение (7), получим
(8)
Уравнения (7) и (8) дают решение комбинаторной задачи.
Решение уравнения (7) точно соответствует обычному представлению Больцмана–Гиббса [1, 2]. Решения системы (7) и (8) очевидны:
(9)
и, в свою очередь,
(10)
Таким образом, истинная функция наивероятнейшего распределения групп частиц нижнего уровня pi по энерговыделению оказывается точно такой же, как и наивероятнейшая функция распределения Больцмана: это плотность вероятности найти группы частиц нижнего уровня с энерговыделением ϵi.
Однако эта функция не является прямо наблюдаемой и прямо измеримой. Для того, чтобы измерить эту функцию распределения, следует иметь прибор, измеряющий pi в зависимости от ϵi. Сделать это в какой-то одной определенной частице верхнего уровня нельзя в силу неразличимости mi с точки зрения энерговыделения.
Какие функции будут наблюдаемыми? Для выяснения этого перепишем систему (7) и (8), образовав простейшие линейные комбинации уравнений:
(11)
где мы воспользовались выражением (10). Таким образом, рассматриваться должны две функции – pimi и pi / mi, которые являются решениями системы (7) и (8).
Сделаем некоторые замечания относительно величин α, β и γ. Последняя определяет некоторую обратную среднюю энергию (5а), или “эффективную температуру” (Введение) рассматриваемого процесса энерговыделения. Как уже указывалось, при mi ≡ 1, т.е. для однородных газов, величина γ может быть интерпретирована как обратное характерное энерговыделение при горении в реакции на одну молекулу. Ниже увидим, что из всех характерных энерговыделений в процессах эта является наибольшей.
Смысл двух других величин определится при нормировке pimi:
(12)
Нормированная на 1 функция этого распределения, описывающая некоторую плотность вероятности, есть
(12а)
Требование нормировки на 1 автоматически приводит к соотношению β = 0. Из других нормировок могут быть использованы, например, β = lnN – в этом случае (12) нормируется на полное число частиц нижнего уровня во всех телах. Принципиальной оказывается величина α, смысл которой проясним ниже.
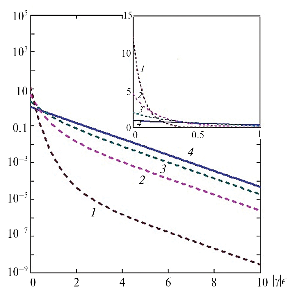
Очевидно, что функция pimi (или ее моменты) потенциально должна наблюдаться, поскольку она описывает распределение числа частиц (1). Эта функция значительно отличается от pi (рис. 1), которая для α = 0.5 (1), 1.5 (2) и 2.5 (3) приведена на рис. 1 в виде штриховых кривых. При увеличении α/|γ|, т.е., например, при уменьшении “эффективной температуры” при постоянном α, значение функции (12а) в нуле по сравнению с прямой 4 резко возрастает, а асимптотическое при умеренных и больших ϵi – очень сильно падает (рис. 1). Таким образом, плотность вероятности pimi (или нормированная плотность вероятности (pimi)norm на рис. 1) описывает сдвиг энерговыделения групп частиц pi в телах mi в сторону меньших (и вообще нулевых) значений. Наблюдаемость этой функции лучше всего реализуется как раз в многочастичных эффектах типа горения и взрыва, когда “все” тела (верхнего уровня) участвуют в процессе. Здесь2 ситуация не зависит качественно от величины α.
Рис. 1. Нормированные на 1 функции распределения pimi (штриховые кривые 1, 2 и 3) при различных параметрах нормировки α: α = 2.5 (1), α = 1.5 (2), α = 0.5 (3), а также pi = |γ|eγϵi (4). Принято |γ| = 1. Полулогарифмический масштаб. На врезке – то же в равномерных координатах.
Таким образом, двухступенчатая иерархическая система, в которой группы частиц pi нижнего уровня отграничены в телах mi верхнего уровня, дает функцию плотности вероятности распределения энерговыделения, зависящей от работы (пропорционально описываемой величиной α в (9)–(12а)), необходимой для того, чтобы “освободить” частицу для участия в реакции. При энерговыделении в ядерном реакторе основная работа тратится на замедление реакторных нейтронов, именно ее можно трактовать как α – “работу обеспечения выхода нейтронов (необходимой энергии)”3. Очевидно, что в эту величину α входит вся динамика процесса – распространение (волна) горения, ударные волны при взрыве и т.п. при условии, что все эти процессы гораздо более медленные, чем реакция взаимодействия молекул/частиц при элементарном энерговыделении. Сюда же входят и более простые вещи, типа величины дисперсности исходного вещества, вступающего в реакцию, т.е. размер зерна, его форма, концентрация различных присадок, катализаторы, замедлители нейтронов при ядерной реакции и прочее.
Количественно при возрастании α плотность вероятности распределения энерговыделения конденсируется возле оси ординат, т.е. при возрастании α энерговыделение становится все меньше и меньше (см. ниже).
Комбинаторная задача в постановке на распределение вероятности минимальных значений
Комбинаторная задача допускает другую постановку. В ней процесс решения и получаемые результаты, во-первых, совпадают с продемонстрированными выше, а во-вторых, проясняют смысл полученных результатов.
Будем считать, что комбинаторная задача теперь обобщается таким образом, что имеется плотность вероятности распределения энерговыделения групп pi частиц нижнего внутри каждого тела (частицы верхнего уровня) из набора mi. Считая теперь этот набор mi выборкой, определим функцию распределения (и затем плотность вероятности) минимального значения pi по всем выборкам mi. Будем придерживаться процедуры [10, 13].
Рассмотрим функцию pimi. Известно [13], что функция плотности вероятности распределения минимальных значений pi в выборке mi (или распределение по энергии частиц нижнего уровня в частицах верхнего уровня) есть (мы ввели переменную |γ|ϵi = x).
Построим новую функцию плотности вероятности, описывающую минимальную случайную величину энерговыделения, возникающую каждый раз при сравнении энерговыделения в группах молекул pi в выборке тел mi. Количество этих тел варьируется от двух до полного значения mi, всякий раз выбирается минимальное энерговыделение. Возьмем сначала полную выборку mi (т.е. все тела верхнего уровня). Поскольку нам безразлично, в каком теле будет минимальное энерговыделение, следует взять эту плотность вероятности со статистическим весом комбинаторных перестановок с повторением, т.е. с 1/(mi!). Это даст член
и он будет первым членом нашей будущей суммы – финального значения некоторой функции плотности вероятности.
В неполных на одно тело mi – 1 реализациях (частицах верхнего уровня) плотность вероятности распределения минимального значения будет . Мы возьмем эту функцию с весом, по тем же самым соображениям, 1/[(mi − 1)!], получим член будущей суммы и вклад в некоторую функцию плотности вероятности
и проделаем эту процедуру в общей сложности mi – 1 раз. Все полученные функции плотности вероятности вида при предельном переходе
дадут в сумме некоторую искомую функцию плотности вероятности
. (13)
Функция pimi точно совпадает с f(x).
Таким образом, плотность вероятности распределения безусловно4 минимального значения энерговыделения совпадает с плотностью вероятности наивероятнейшего распределения. Практически эта функция означает, что при любой физике процесса – дисперсии частиц, волнах горения и взрыва – всегда реализуется наименьшее энерговыделение как раз в силу совпадения pimi с f(x). Это – фундаментальный результат решения комбинаторной задачи.
Наблюдаемые величины комбинаторной задачи
Наблюдаемыми величинами задачи о плотности вероятности распределения энерговыделения в рассматриваемой иерархической системе являются средние. Для определения среднего функции pimi нужно сначала выбрать ее нормировку. Для простоты целесообразно это сделать на одну молекулу (на одно ядро) (12а). Тогда среднее S(α) нормированной функции распределения
(14)
будет представлять из себя характерное энерговыделение в соответствующем процессе – горения, взрыва, рассчитанное на одну молекулу (ядро) реагирующего вещества. В (14) Ei(x) – интегральная показательная функция [14], C = 0.577 – постоянная Эйлера. Зависимость S от параметра α приведена на рис. 2.
Рис. 2. Зависимость среднего S нормированной функции распределения от параметра α, сплошная кривая. Для сравнения штриховой кривой приведена функция . На врезке – та же зависимость в полулогарифмических координатах.
Заметим, что даже при α = 0, т.е. при нулевой работе отрыва молекулы от тела для вступления в реакцию энерговыделения, S(0) ≈ 0.77/|γ| < 1. Напоминаем, что |γ|−1 – по определению, некоторая средняя энергия, которая, при расчете на одну частицу, и будет теоретическим энерговыделением при горении. Это означает, что среднее энерговыделение на частицу нижнего уровня всегда меньше теоретического значения даже при нулевой работе отрыва молекулы, так как все равно наличествует некоторая динамика процесса горения/взрыва. При α → ∞, пользуясь асимптотикой Ei(x), получим S → e−α|γ|−1. Качественно это означает, что если в тела верхнего уровня mi объединены очень большие количества молекул и работа отрыва их поэтому велика, наивероятнейшее энерговыделение будет весьма слабым. Это характерно для атомных реакторов, где у замедляемых нейтронов отбирается большая энергия, т.е. работа их выхода велика, на рис. 2 она лежит в области асимптоты S(α). Самое сильное энерговыделение наблюдается при α = 0, т.е. в однородных газах.
Обсуждение результатов
Таким образом, решение комбинаторной задачи дает значение среднего энерговыделения на одну частицу нижнего уровня в различно структурированных средах. При увеличении работы выхода от соответствующего тела вступающей в реакцию частицы (или сложной динамики последней) это энерговыделение экспоненциально быстро уменьшается. Поэтому самое простое с практической точки зрения – дробить тела верхнего уровня mi так, чтобы они содержали минимально возможное (с точки зрения технологического процесса, где идет энерговыделение) количество частиц5 – тогда энерговыделение на одну прореагировавшую частицу будет значительным (хотя и меньшим соответствующего характерного энерговыделения в процессе). Кроме этого, макроскопическая динамика реагирующих молекул в телах не должна приводить к их быстрому выводу из зоны реакции, т.е. надо, в общем, не терять замедленные нейтроны, бороться с линейными динамическими образованиями типа ударных волн, а организовывать различные (микро)вихревые движения для лучшего вовлечения молекул в реакции.
По-видимому, уменьшение среднего энерговыделения (14) с ростом работы выхода ~ α является очевидным фундаментальным фактом в физике горения и взрыва. Это среднее энерговыделение, очевидно, и есть эффективное энерговыделение соответствующего процесса, которое всегда меньше, чем γ−1. Эта величина сравнивается с γ−1 только при стремлении работы выхода к бесконечной отрицательной величине, что, вероятно, означает, что в α физически учитывается не только “прямая” работа отделения частицы от тела для энерговыделения, но и сопутствующая этому динамика.
Другим фундаментальным фактом является совпадение плотности вероятности распределения безусловно минимального значения энерговыделения (см. выше) с наивероятнейшим. Это означает, что реализующееся энерговыделение в процессе, нужное для поддержания процесса, всегда наименьшее.
Еще одним результатом может стать незапрещенная медленная зависимость α от времени. Таким образом, характерное энерговыделение в процессе может меняться со временем в соответствии с (14) и рис. 2, где α = α(t) и соответственно S = S(t).
Источник финансирования
Работа выполнена в рамках научной программы Национального центра физики и математики.
1 В дальнейшем будем говорить о вступающих в реакцию частицах, или просто частицах.
2 Вторая функция, являющаяся решением (11), – функция pi / mi, это распределение группы частиц pi в расчете на одно тело верхнего уровня из набора mi, в рассматриваемой задаче неприменима.
3 Мы рассматриваем упрощенную картину энерговыделения в атомных реакторах только в результате процессов с U-235. Кроме этого, в реакторах ВВЭР энергия замедляющихся нейтронов используется для нагрева теплоносителя первого контура. Тем не менее работа обеспечения выхода нейтронов оказывается значительной, но не потерянной.
4 Безусловно минимальное значение здесь понимается в точном смысле – сколько бы ни было взято реализаций, в которых можно выбирать – от 2 до m1 – 1, всегда наивероятнейшим будет минимальное из них.
5 Для ядерных реакторов это означает, что лучше использовать реакторы с максимально возможным количеством топливных сборок.
Об авторах
М. Ю. Романовский
ЧУ “Наука и инновации”; АНО Национальный центр физики и математики; Российский национальный исследовательский медицинский университет имени Н.И. Пирогова
Автор, ответственный за переписку.
Email: MYRomanovsky@rosatom.ru
Россия, Москва; Москва; Москва
Список литературы
- Исихара А. Статистическая физика. М.: Мир, 1973. 465 с.
- Ландау Л.Д., Лифшиц Е.М. Статистическая физика. Ч. 1. 5-е изд., стереот. М.: Физматлит, 2002. 616 с.
- Зельдович Я.Б., Баренблатт Г.И., Либрович В.Б., Махвиладзе Г.М. Математическая теория горения и взрыва. М.: Наука, 1980. 479 с.
- Стратонович Р.Л. Нелинейная неравновесная термодинамика. М.: Наука, 1985. 480 с.
- Holtsmark J. Uber die Verbreiterung von Spektrallinien // Ann. Phys. 1919. V. 58. P. 577–630.
- Romanovsky M.Yu. Distibutions of Magnetic Microfiled in Plasmas // Physics Letters A. 1998. V. 249. P. 99–109.
- Likalter A.A. Ionization and Electron Transport in Nonideal Plasma / In: Transport and Optical Properties of Nonideal Plasma. Eds. G.A. Kobzev, I.T. Iakubov, M.M. Popovich. N.Y.: Springer, 1995. 318 p.
- Romanovsky M.Yu. Model space of economic events // Physica A. 1999. V. 265. P. 264–278.
- Romanovsky M.Yu. Truncated Levy distribution of S&P 500 stock index fluctuations. Distribution of one-share fluctuations in a model space // Physica A. 2000. V. 287. P. 450–460.
- Romanovsky M.Yu. Most probable distributions and distributions of extremes for particle systems with hierarchical structures // Chaos, Solitons and Fractals. 2022. 159. 112170.
- Виленкин Н.Я. Комбинаторика. М.: Наука, 1969. 331 с.
- Виленкин Н.Я. Популярная комбинаторика. М.: Наука, 1975. 209 с.
- Гумбель Е. Статистика экстремальных значений. М.: Мир, 1965. 450 с.
- Справочник по специальным функциям / Под ред. М. Абрамовица и И. Стиган. М.: Наука, 1979. 832 с.
Дополнительные файлы
Примечание
Представлено академиком РАН Б.Ю. Шарковым 05.03.2024 г.





