Одно-, дву- и многостенные углеродные нанотрубки как электропроводящие добавки в катоды литий-ионных аккумуляторов
- Авторы: Бабкин А.В.1, Кубарьков А.В.1, Дрожжин О.А.1, Урванов С.А.2, Филимоненков И.С.2, Ткачев А.Г.3, Мордкович В.З.2, Сергеев В.Г.1, Антипов Е.В.1,4
-
Учреждения:
- Московский государственный университет имени М.В. Ломоносова, Химический факультет
- Государственный научный центр Российской Федерации “Технологический институт сверхтвердых и новых углеродных материалов”
- ФГБОУ ВО “Тамбовский государственный технический университет”
- Сколковский институт науки и технологий
- Выпуск: Том 508, № 1 (2023)
- Страницы: 26-34
- Раздел: ХИМИЯ
- URL: https://journal-vniispk.ru/2686-9535/article/view/135954
- DOI: https://doi.org/10.31857/S268695352260074X
- EDN: https://elibrary.ru/EWASMU
- ID: 135954
Цитировать
Полный текст
Аннотация
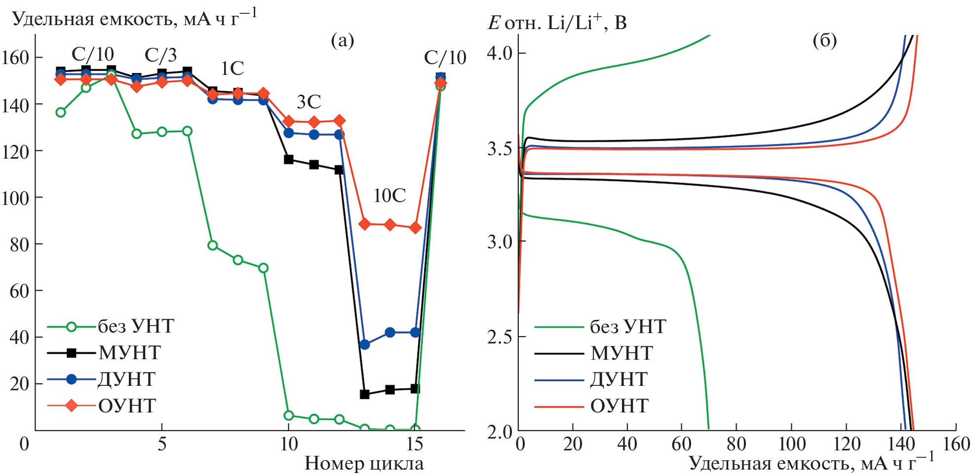
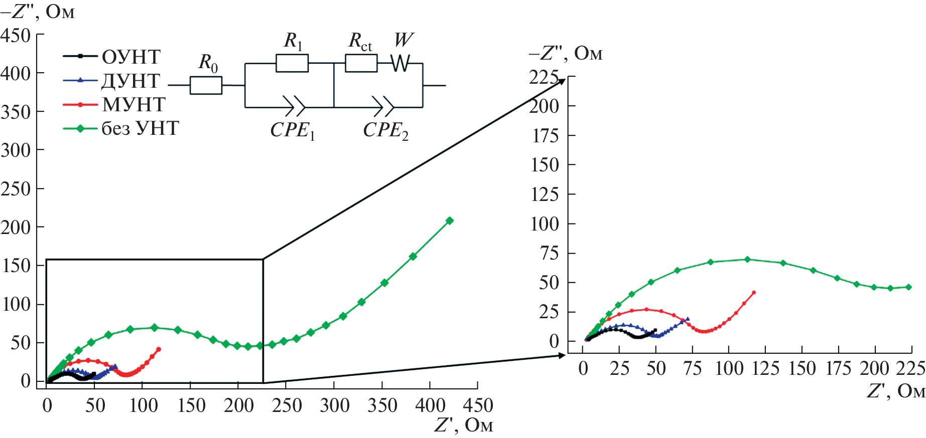
В работе проведено сравнительное исследование характеристик положительных электродов на основе феррофосфата лития, содержащих добавки различных типов коммерчески доступных углеродных нанотрубок – одностенных (ОУНТ), двустенных (ДУНТ) и многостенных (МУНТ). Электрохимические характеристики катодных материалов были исследованы с помощью спектроскопии электрохимического импеданса и гальваностатического заряда/разряда. Оценена циклическая устойчивость при различных плотностях тока. Наилучшими электрохимическими характеристиками обладают катодные материалы с ОУНТ (преимущество перед ДУНТ при высоких скоростях разряда от 10С) и ДУНТ (преимущество перед ОУНТ при длительном циклировании) в составе. При длительном циклировании при плотности тока 1С наибольшую потерю емкости демонстрирует электрод на основе МУНТ. При этом электроды с ОУНТ и ДУНТ демонстрируют удовлетворительное сохранение емкости после 50 циклов заряда/разряда: свыше 94 и свыше 98% соответственно.
Ключевые слова
Об авторах
А. В. Бабкин
Московский государственный университетимени М.В. Ломоносова, Химический факультет
Автор, ответственный за переписку.
Email: A.V.Babkin93@yandex.ru
Россия,
119991, Москва
А. В. Кубарьков
Московский государственный университетимени М.В. Ломоносова, Химический факультет
Email: evgeny.antipov@gmail.com
Россия,
119991, Москва
О. А. Дрожжин
Московский государственный университетимени М.В. Ломоносова, Химический факультет
Email: evgeny.antipov@gmail.com
Россия,
119991, Москва
С. А. Урванов
Государственный научный центр Российской Федерации “Технологический институт сверхтвердых и новых углеродных материалов”
Email: evgeny.antipov@gmail.com
Россия, 108840, Москва
И. С. Филимоненков
Государственный научный центр Российской Федерации “Технологический институт сверхтвердых и новых углеродных материалов”
Email: evgeny.antipov@gmail.com
Россия, 108840, Москва
А. Г. Ткачев
ФГБОУ ВО “Тамбовский государственный технический университет”
Email: evgeny.antipov@gmail.com
Россия, 392000, Тамбов
В. З. Мордкович
Государственный научный центр Российской Федерации “Технологический институт сверхтвердых и новых углеродных материалов”
Email: evgeny.antipov@gmail.com
Россия, 108840, Москва
В. Г. Сергеев
Московский государственный университетимени М.В. Ломоносова, Химический факультет
Email: evgeny.antipov@gmail.com
Россия,
119991, Москва
Е. В. Антипов
Московский государственный университетимени М.В. Ломоносова, Химический факультет; Сколковский институт науки и технологий
Автор, ответственный за переписку.
Email: evgeny.antipov@gmail.com
Россия,
119991, Москва; Россия,
121205, Москва
Список литературы
- Natarajan S., Aravindan V. // ACS Energy Lett. 2018. V. 3. № 9. P. 2101–2103. https://doi.org/10.1021/acsenergylett.8b01233
- Heidari E.K., Kamyabi-Gol A., Sohi M.H., Ataie A. // J. Ultrafine Grained Nanostruct. Mater. 2018. V. 51. № 1. P. 1–12. https://doi.org/10.22059/JUFGNSM.2018.01.01
- Satyavani T.V.S.L, Ramya Kiran B., Rajesh Kumar V., Srinivas Kumar A., Naidu S.V. // Eng. Sci. Technol., Int. J. 2016. V. 19. № 1. P. 40–44. https://doi.org/10.1016/j.jestch.2015.05.011
- Shih J., Lin G., James Li Y., Tai-Feng Hung, Rajan J., Karuppiah C., Chun-Chen Y. // Electrochim. Acta. 2022. V. 419. 140356. https://doi.org/10.1016/j.electacta.2022.140356
- Rajoba S.J., Jadhav L.D., Patil P.S., Tyagi D.K., Varma S., Wani B.N. // J. Electron. Mater. 2017. V. 46. P. 1683–1691. https://doi.org/10.1007/s11664-016-5212-z
- Zhou X., Wang F., Zhu Y., Liu Z. // J. Mater. Chem. 2011. V. 21. P. 3353–3358. https://doi.org/10.1039/C0JM03287E
- Liu T., Sun S., Zhao Z., Li X., Sun X., Cao F., Wu J. // RSC Adv. 2017. V. 7. P. 20882–20887. https://doi.org/10.1039/C7RA02155K
- Qi X., Blizanac B., DuPasquier A., Miodrag Ol., Li J., Winter M. // Carbon. 2013. V. 64. P. 334–340. https://doi.org/10.1016/j.carbon.2013.07.083
- Ji X., Mu Y., Liang J., Jiang T., Zeng J., Lin Z., Lin Y., Yu J. // Carbon. 2021. V. 176. P. 21–30. https://doi.org/10.1016/j.carbon.2021.01.128
- Juarez-Yescas C., Ramos-Sánchez G., González I. // J. Solid State Electrochem. 2018. V. 22. P. 3225–3233. https://doi.org/10.1007/s10008-018-4021-0
- Chen Y., Zhang H., Chen Y., Qin G., Lei X., Liu L. // Mater. Sci. Forum. 2018. V. 913. P. 818–830. https://doi.org/10.4028/www.scientific.net/msf.913.818
- Fiyadh S.S., AlSaadi M.A., Jaafar W.Z., AlOmar M.Kh., Fayaed S.S., Mohd N.S., Hin L.S., El-Shafie A. // J. Cleaner Prod. 2019. V. 230. P. 783–793. https://doi.org/10.1016/j.jclepro.2019.05.154
- Zhang R., Zhang Y., Zhang Q., Xie H., Qian W., Wei F. // ACS Nano. 2013.V. 7. № 7. P. 6156–6161. https://doi.org/10.1021/nn401995z
- Garg A., Chalak H.D., Belarbi M-O., Zenkour A.M., Sahoo R. // Compos. Struct. 2021. V. 272 P. 114234. https://doi.org/10.1016/j.compstruct.2021.114234
- Zhang S., Hao A., Nguyen N., Oluwalowo A., Liu Z., Dessureault Y., Gyu J.P., Liang R. // Carbon. 2019. V. 144. P. 628–638. https://doi.org/10.1016/j.carbon.2018.12.091
- Li J., Ma P., Chow W., To C., Tang B. Kim J.-K. // Adv. Funct. Mater. 2007. V. 17. P. 3207–3215. https://doi.org/10.1002/adfm.200700065
- Wang K., Wu Y., Luo S., He X., Wang J., Jiang K., Fan S. // J. Power Sources. 2013. V. 233. P. 209–215. https://doi.org/10.1016/j.jpowsour.2013.01.102
- Belharouak I., Johnson C., Amine K. // Electrochem. Commun. 2005. V. 7. № 10. P. 983–988. https://doi.org/10.1016/j.elecom.2005.06.019
- Filimonenkov I.S., Urvanov S.A., Zhukova E.A., Karae-va A.R., Skryleva E.A., Mordkovich V.Z., Tsirlina G.A. // J. Electroanal. Chem. 2018. V. 827. P. 58–63. https://doi.org/10.1016/j.jelechem.2018.09.004
- Filimonenkov I.S., Urvanov S.A., Kazennov N.V., Tarelkin S.A., Tsirlina G.A., Mordkovich V.Z. // J. Appl. Electrochem. 2022. V. 52. P. 487–498. https://doi.org/10.1007/s10800-021-01652-z
- Meddings N., Heinrich M., Overney F., Lee J.S., Ruiz V., Napolitano E., Seitz S., Hinds G., Raccichini R., Gaberšček M., Park J. // J. Power Sources. 2020. V. 480. P. 228742. https://doi.org/10.1016/j.jpowsour.2020.228742
- Zhao N., Zhi X., Wang L., Liu Y., Liang G. // J. Alloys Compd. 2015. V. 645. P. 301–308. https://doi.org/10.1016/j.jallcom.2015.05.097
- Jin B., Gu H.B., Zhang W., Park K.H., Sun G. // J. Solid State Electrochem. 2008. V. 12. P. 1549–1554. https://doi.org/10.1007/s10008-008-0509-3
- Wei X., Guan Y., Zheng X., Zhu Q., Shen J., Qiao N., Zhou S., Xu B. // Appl. Surf. Sci. 2018, V. 440. P. 748–754. https://doi.org/10.1016/j.apsusc.2018.01.201
- Tian R., Alcala N., O’Neill S.J., Horvath D.V., Coelho J., Griffin A.J., Zhang Y., Nicolosi V., O`Dwyer C., Cole-man J.N. // ACS Appl. Energy Mater. 2020. V. 3. № 3. P. 2966–2974. https://doi.org/10.1021/acsaem.0c00034
- Dreyer W., Jamnik J., Guhlke C., Huth R., Moskon J., Gaberscer M. // Nat. Mater. 2010. V. 9. P. 448–453. https://doi.org/10.1038/nmat2730
- Fu Y., Wei Q., Zhang G., Zhong Y., Moghimian N., Tong X., Sun S. // Materials. 2019. V. 12. P. 842. https://doi.org/10.3390/ma12060842
- Zeng H., Ji X., Tsai F., Zhang Q., Jiang T., Li R. K.Y., Shi H., Luan S., Shi D. // Solid State Ionics. 2018. V. 320. P. 92–99. https://doi.org/10.1016/j.ssi.2018.02.040
- Li J., Ma P., Chow W., To C., Tang B., Kim J.-K. // Adv. Funct. Mater. 2007. V.17. P. 3207–3215. https://doi.org/10.1002/adfm.200700065
- Liu X-M., Huang D.Z., Oh S.-W., Zhang B., Ma P.-C., Yuen M.M.F., Kim J.‑K. // Compos. Sci. Technol. 2012. V. 72. № 2. P. 121–144. https://doi.org/10.1016/j.compscitech.2011.11.019
- Napolskiy F., Avdeev M., Yerdauletov M., Ivankov O., Bocharova S., Ryzhenkova S., Kaparova B., Mirono-vich K., Burlyaev D., Krivchenko V. // Energy Technol. 2020. V. 8. № 6. P. 2000146. https://doi.org/10.1002/ente.202000146
- Yoo J.-K., Oh Y., Park T., Lee K.E., Um M.-K., Yi J.-W. // Energy Technol. 2019. V. 7. № 5. 1800845. https://doi.org/10.1002/ente.201800845
Дополнительные файлы








