Расклинивающее давление в тонких сферических жидких пленках и паровых прослойках при учете молекулярных корреляций
- Авторы: Щёкин А.К.1, Гостева Л.А.1
-
Учреждения:
- Санкт-Петербургский государственный университет
- Выпуск: Том 509, № 1 (2023)
- Страницы: 69-75
- Раздел: ФИЗИЧЕСКАЯ ХИМИЯ
- URL: https://journal-vniispk.ru/2686-9535/article/view/135965
- DOI: https://doi.org/10.31857/S2686953522600854
- EDN: https://elibrary.ru/OVWUAG
- ID: 135965
Цитировать
Полный текст
Аннотация
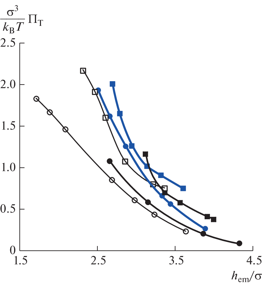
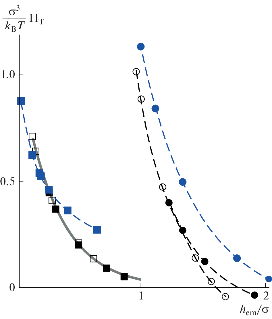
На основе выражения для большого термодинамического потенциала как функционала молекулярной плотности рассчитаны расклинивающие давления в тонких жидких пленках вокруг наноразмерных смачиваемых сферических частиц и в тонких паровых прослойках вокруг несмачиваемых частиц в зависимости от степени лиофильности, толщины пленок и размера частиц. Характерными особенностями расчета являются полный учет жесткосферных молекулярных корреляций по теории фундаментальной меры в методе функционала плотности и построение полной зависимости большого термодинамического потенциала системы от размера равновесной капли или пузырька. Хотя в работе показано качественное согласие рассчитанных зависимостей расклинивающего давления с полученными в рамках более простого градиентного метода функционала молекулярной плотности, новые результаты существенно отличаются количественно. Подтверждено, что расклинивающее давление в жидкой пленке вокруг наноразмерной лиофильной частицы растет с увеличением размера и лиофильности частицы.
Об авторах
А. К. Щёкин
Санкт-Петербургский государственный университет
Автор, ответственный за переписку.
Email: akshch@list.ru
Россия, 199034, Санкт-Петербург
Л. А. Гостева
Санкт-Петербургский государственный университет
Email: akshch@list.ru
Россия, 199034, Санкт-Петербург
Список литературы
- Дерягин Б.В., Чураев Н.В., Муллер В.М. Поверхностные силы. М.: Наука, 1985. 398 с.
- Русанов А.И. // Журн. общей химии. 2022. Т. 92. № 4. С. 497–546. https://doi.org/10.31857/S0044460X22040011
- Rusanov A.I., Kuni F.M. // Colloids Surf. 1991. V. 61. P. 349–351. https://doi.org/10.1016/0166-6622(91)80320-N
- Kuni F.M., Shchekin A.K., Rusanov A.I., Widom B. // Adv. Colloid Interface Sci. 1996. V. 65. P. 71–124. https://doi.org/10.1016/0001-8686(96)00290-4
- Куни Ф.М., Щекин А.К., Гринин А.П. // УФН. 2001. V. 171. P. 345–385.
- Gjennestad M.A., Wilhelmsen Ø. // Langmuir. 2020. V. 36. P. 7879−7893. https://doi.org/10.1021/acs.langmuir.0c00960
- Русанов А.И. // Коллоид. журн. 2019. Т. 81. № 6. С. 767. https://doi.org/10.1134/S0023291219060156
- Kubochkin N., Gambaryan-Roisman T. // Phys. Rev. Fluids. 2021. V. 6. P. 093603. https://doi.org/10.1103/PhysRevFluids.6.093603
- Napari I., Laaksonen A. // J. Chem. Phys. 2003. V. 119. P. 10363. https://doi.org/10.1063/1.1619949
- Bykov T.V., Zeng X.C. // J. Chem. Phys. 2002. V. 117. P. 1851. https://doi.org/10.1063/1.1485733
- Bykov T.V., Zeng X.C. // J. Chem. Phys. 2006. V. 125. P. 144515. https://doi.org/10.1063/1.2357937
- Щекин А.К., Лебедева Т.С., Татьяненко Д.В. // Коллоид. журн. 2016. Т. 78. С. 520–533. https://doi.org/10.7868/S0023291216040169
- Shchekin A.K., Lebedeva T.S. // J. Chem. Phys. 2017. V. 146. P. 094702. https://doi.org/10.1063/1.4977518
- Svetovoy V.B., Dević I., Snoeijer J.H., Lohse D. // Langmuir. 2016. V. 32. P. 11188–11196. https://doi.org/10.1021/acs.langmuir.6b01812
- Huang D.B., Quan X.J., Cheng P. // International Communications in Heat and Mass Transfer. 2018. V. 93. P. 66–73. https://doi.org/10.1016/j.icheatmasstransfer.2018.03.005
- Yatsyshin P., Durán-Olivencia M.-A., Kalliadasis S. // J. Phys.: Condens. Matter. 2018. V. 30. P. 274003. https://doi.org/10.1088/1361-648X/aac6fa
- Yatsyshin P., Kalliadasis S. // J. Fluid Mech. 2021. V. 913. P. A45. https://doi.org/10.1017/jfm.2020.1167
- Щёкин А.К. // Изв. АН. Сер. хим. 2023. Т. 72. № 2. С. 295–311.
- Bhatt D., Newman J., Radke C.J. // J. Phys. Chem. B. 2002. V. 106. P. 6529–6537. https://doi.org/10.1021/jp0202136
- Hu H., Sun Y. // Appl. Phys. Lett. 2013. V. 103. P. 263110. https://doi.org/10.1063/1.4858469
- Zou A., Maroo S.C. // Phys. Fluids. 2021. V. 33. 042007. https://doi.org/10.1063/5.0044938
- Bryukhanov V.M., Baidakov V.G., Protsenko S.P. // Interfacial Phenomena and Heat Transfer. 2017. V. 5. P. 153–163. https://doi.org/10.1615/InterfacPhenomHeatTransfer.2018025452
- Protsenko K.R., Baidakov V.G. // Phys. Fluids. 2023. V. 35. P. 014111. https://doi.org/10.1063/5.0134778
- Shchekin A., Gosteva L., Tatyanenko D. // Colloids Surf. A. 2021. V. 615. P. 126277. https://doi.org/10.1016/j.colsurfa.2021.126277
- Щёкин А.К., Гостева Л.А., Лебедева Т.С., Татьяненко Д.В. // Коллоид. журн. 2021. Т. 83. № 2. С. 235–241. https://doi.org/10.31857/S0023291221010122
- Evans R. // Adv. Phys. 1979. V. 28. P. 143–200. https://doi.org/10.1080/00018737900101365
- Evans R. Density Functionals in the Theory of Nonuniform Fluids. In: Fundamentals of Inhomogeneous Fluids. D. Henderson (Ed.). Marcel Dekker, New York, 1992. P. 85–175.
- Evans R. Density functional theory for inhomogeneous fluids I: Simple Fluids in Equilibrium. In: Lecture notes at 3rd Warsaw School of Statistical Physics. Cichocki B., Napiorkowski M., Piasecki J. (Eds.). Warsaw University Press., Warsaw, 2010. P. 43−85. ISBN 978-83-235-0602-7
- Lutsko J.F. // Adv. Chem. Phys. 2010. V. 144. P. 1–92. https://doi.org/10.1002/9780470564318.ch1
- Kierlik E., Rosinberg M.L. // Phys. Rev. A. 1990. V. 42. P. 3382–3387. https://doi.org/10.1103/PhysRevA.42.3382
- Lutsko J.F. // J. Chem. Phys. 2008. V. 128. P. 184711. https://doi.org/10.1063/1.2916694
- Roth R. // J. Chem. Phys.: Condens. Matter. 2010. V. 22. P. 063102. https://doi.org/10.1088/0953-8984/22/6/063102
- Shchekin A.K., Shabaev I.V., Rusanov A.I. // J. Chem. Phys. 2008. V. 129. P. 214111. https://doi.org/10.1063/1.3021078
- Rusanov A.I., Shchekin A.K. // Mol. Phys. 2005. V. 103. № 21–23. P. 2911−2922. https://doi.org/10.1080/00268970500151510
- Weeks J.D., Chandler D., Andersen H.C. // J. Chem. Phys. 1971. V. 54. P. 5237–5247. https://doi.org/10.1063/1.1674820
- Lutsko J.F. classicalDFT. GitHub repository. Доступно по: https://github.com/jimlutsko/classicalDFT. Ссылка активна на: 18.02.2023.
Дополнительные файлы








