Ионные жидкости – новые газохроматографические фазы с уникальными свойствами. Обзор
- Авторы: Шашков М.В.1,2, Сидельников В.Н.1,2, Пармон В.Н.1
-
Учреждения:
- ФГБУН Федеральный исследовательский центр “Институт катализа им. Г.К. Борескова Сибирского отделения Российской академии наук”
- ФГАОУ ВПО Национальный исследовательский Новосибирский государственный университет
- Выпуск: Том 508, № 1 (2023)
- Страницы: 79-96
- Раздел: ФИЗИЧЕСКАЯ ХИМИЯ
- URL: https://journal-vniispk.ru/2686-9535/article/view/135969
- DOI: https://doi.org/10.31857/S2686953522600556
- EDN: https://elibrary.ru/EVXOFJ
- ID: 135969
Цитировать
Полный текст
Аннотация
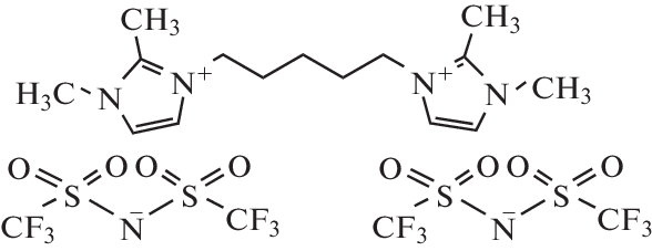
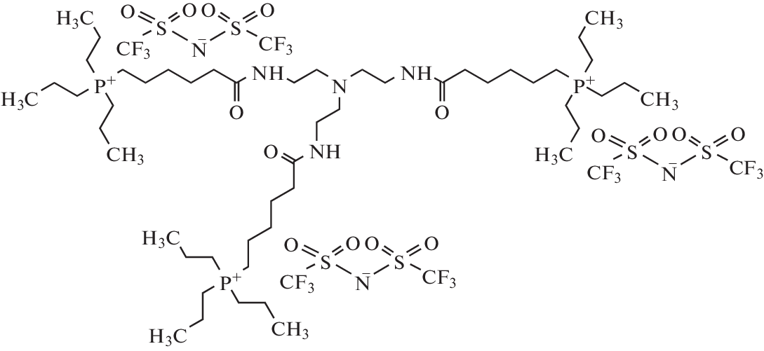
Необходимым и при этом наиболее сложным элементом исследования многих химических процессов является достоверный химический анализ как исходных реагентов, так и продуктов их превращения. Один из наиболее распространенных методов такого анализа – газовая хроматография, которая, к сожалению, имеет ряд ограничений. К таким ограничениям относится, например, низкая термостабильность высокополярных неподвижных жидких фаз (НЖФ). Данное ограничение можно преодолеть использованием ионных жидкостей (ИЖ) в качестве НЖФ. В данном обзоре мы акцентируем внимание на использовании НЖФ на основе ИЖ с катионами различных химических классов. Свойства таких НЖФ рассмотрены с точки зрения их возможной хроматографической селективности и приведены примеры использования колонок с ИЖ для решения конкретных аналитических задач. Обсуждаются характеристики доступных в настоящее время коммерческих колонок, где ИЖ использованы в качестве НЖФ.
Об авторах
М. В. Шашков
ФГБУН Федеральный исследовательский центр “Институт катализа им. Г.К. БоресковаСибирского отделения Российской академии наук”; ФГАОУ ВПО Национальный исследовательский Новосибирский государственный университет
Автор, ответственный за переписку.
Email: shashkov@catalysis.ru
Россия, 630090, Новосибирск; Россия,
630090, Новосибирск
В. Н. Сидельников
ФГБУН Федеральный исследовательский центр “Институт катализа им. Г.К. БоресковаСибирского отделения Российской академии наук”; ФГАОУ ВПО Национальный исследовательский Новосибирский государственный университет
Email: shashkov@catalysis.ru
Россия, 630090, Новосибирск; Россия,
630090, Новосибирск
В. Н. Пармон
ФГБУН Федеральный исследовательский центр “Институт катализа им. Г.К. БоресковаСибирского отделения Российской академии наук”
Email: shashkov@catalysis.ru
Россия, 630090, Новосибирск
Список литературы
- GC consumables SGE catalog. 2020. Access on: http://www.sge.com/products Ссылка активна на 15.01.2023.
- Han X., Armstrong D.W. // Acc. Chem. Res.2007. V. 40. № 11. P. 1079–1086. https://doi.org/10.1021/ar700044y
- Anderson J.L., Armstrong D.W. // Anal. Chem. 2003. V. 75. № 18. P. 4851–4858. https://doi.org/10.1021/ac0345749
- Poole C.F., Poole S.K. // J. Sep. Sci.2011.V. 3. № 8. P. 888–900. https://doi.org/10.1002/jssc.201000724
- Poole C.F., Lenca N. // J. Chromatogr. A. 2014. V. 1357. P. 87–109. https://doi.org/10.1016/j.chroma.2014.03.029
- Ragonese C., Sciarrone D., Tranchida P.Q., Dugo P., Mondello L. // J. Chromatogr. A. 2012. V. 1255. P. 130–144. https://doi.org/10.1016/j.chroma.2012.04.069
- Nan H., Anderson J.L. // TrAC, Trends Anal. Chem. 2018. V. 105. P. 367–379. https://doi.org/10.1016/j.trac.2018.03.020
- Abraham M.H., Poole C.F., Poole S.K. // J. Chromatogr. A. 1999. V. 842. № 1–2. P. 79–114. https://doi.org/10.1016/S0021-9673(98)00930-3
- Carda-Broch S., Berthod A., Angel M.J.R. // 2008. V. 1184. P. 6–18. https://doi.org/10.1016/j.chroma.2007.11.109
- Nasirpour N., Mohammadpourfard M., Zeinali Heris S. // Chem. Eng. Res. Des. 2020. V. 160. № LC. P. 264–300. https://doi.org/10.1016/j.cherd.2020.06.006
- Shamsi S.A., Danielson N.D. // J. Sep. Sci. 2007. P. 1729–1750. https://doi.org/10.1002/jssc.200700136
- Berthod A., Carda-Broch S. // Actual. Chim. 2004. № 271. P. 24–30. https://www.researchgate.net/publication/283925239. Ссылка активна на 04.02.2023.
- Koel M. // Crit. Rev. Anal.Chem. 2005. № 3. V. 35. P. 177–192. https://www.researchgate.net/publication/283925239. Ссылка активна на 04.02.2023.
- Pandey S. // Anal.Chim.Acta. 2006. V. 556 № 1. P. 38–45. https://doi.org/10.1016/j.aca.2005.06.038
- Stalcup A.M., Cabovska B. // J. Liq. Chromat. Relat. Tech. 2004. V. 27. № 7–9. P. 1443–1459. https://doi.org/10.1081/JLC-120030611
- Sun P., Armstrong D.W. // Anal. Chim. Acta 2010. V. 661. P. 1–16. https://doi.org/10.1016/j.aca.2009.12.007
- Joshi M.D., Anderson J.L. // RSC Adv. 2012. V. 2. № 13. P. 5470–5484. https://doi.org/10.1039/c2ra20142a
- Walden P. // Bull. Acad. Imper. Sci. 1914. V. 8. № 6. P. 405–422.
- Poole C.F., Furton K.G., Kersten B.R. // J. Chromatogr. Sci. 1986. V. 24. № 9. P. 400–409. https://doi.org/10.1093/chromsci/24.9.400
- Pacholec F., Pool C.F. // Chromatographia. 1983. V. 17. № 7. P. 370–374.
- Dhanesar S.C., Poole C.F. // Anal. Chem. 1984. V. 56. № 13. P. 2509–2512. https://doi.org/10.1021/ac00277a055
- Armstrong D.W., He L., Liu Y.S. // Anal. Chem. 1999. V. 71. № 17. P. 3873–3876. https://doi.org/10.1021/ac990443p
- Héberger K., Zenkevich I.G. // J. Chromatogr. A. 2010. V. 1217. № 17. P. 2895–2902. https://doi.org/10.1016/j.chroma.2010.02.037
- Modern Practice of Gas Chromatography. Grob R.L., Barry E.F. (Eds.). 4th Edition. Wiley & Sons, Inc., Hoboken, New Jersey, 2004. 1036 p.
- Kollie T.O., Poole C.F., Abraham M.H., Whiting G.S. // Anal. Chim. Acta. 1992. V. 259. № 1. P. 1–13. https://doi.org/10.1016/0003-2670(92)85067-G
- McReynolds W.O. // J. Chromatogr. Sci. 1970. V. 8. № 12. P. 685–691. https://doi.org/10.1093/chromsci/8.12.685
- Rohrschneider L. // J. Chromatogr. A. 1966. V. 22. P. 6–22. https://doi.org/10.1016/S0021-9673(01)97064-5
- Зайцева Е.А. // Сорбционные и хроматографические процессы. 2020. V. 20. № 2. P. 175–196. https://doi.org/10.17308/sorpchrom.2020.20/2772
- Abraham M.H. // Chem. Soc. Rev. 1993. V. 22. № 2. P. 73–83. https://doi.org/10.1039/CS9932200073
- Callihan B.K., Ballantine D.S. // J. Chromatogr. A. 2000. V. 893. № 2. P. 339–346. https://doi.org/10.1016/S0021-9673(00)00763-9
- Poole C.F., Atapattu S.N., Poole S.K., Bell A.K. // Anal. Chim. Acta. 2009. V. 652. № 1–2. P. 32–53. https://doi.org/10.1016/j.aca.2009.04.038
- Yao C., Anderson J.L. // J. Chromatogr. A. 2009. V. 1216. № 10. P. 1658–1712. https://doi.org/10.1016/j.chroma.2008.12.001
- Anderson J.L., Ding R., Ellern A., Armstrong D.W. // J. Am. Chem. Soc. 2005. V. 127. № 2. P. 593–604. https://doi.org/10.1021/ja046521u
- Wang Y., Qi M., Fu R. // RSC Adv. 2015. V. 5. № 93. P. 76007–76013. https://doi.org/10.1039/c5ra15020e
- Nan H., Peterson L., Anderson J.L. // Anal. Bioanal. Chem. 2018. V. 410. № 19. P. 4597–4606. https://doi.org/10.1007/s00216-017-0802-z
- Supelco; Sigma-Aldrich. Supelco Ionic Liquid GC Columns : Introduction to the Technology // Supelco Ion. Liq. GC Columns. 2014. P. 42.
- Shashkov M.V., Sidel’nikov V.N. // Prot. Met. Phys. Chem. Surfaces. 2015. V. 51. № 6. P. 1080–1086. https://doi.org/10.1134/S2070205115060210
- Shashkov M.V., Sidelnikov V.N., Bratchikova A.A. // Anal. Lett. 2020. V. 53. № 1. P. 84–101. https://doi.org/10.1080/00032719.2019.1638393
- Qiao L.Z., Lu K., Qi M.L., Fu R.N. // Chinese Chem. Lett. 2010. V. 21 № 9. P. 1133–1136. https://doi.org/10.1016/j.cclet.2010.04.003
- Aschenbrenner O., Supasitmongkol S., Taylor M., Sty-ring P. // Green Chem. 2009. V. 11. № 8. P. 1217–1221. https://doi.org/10.1039/b904407h
- Catalog SGE columns. 2020. Accesses on: http://www.sge.com/gc. Ссылка активна на 15.01.2023.
- Reetz M.T., Wiesenhöfer W., Francio G., Leitner W. // Chem. Commun. 2002. № 9. P. 992–993. https://doi.org/10.1039/B202322A
- Berthod A., Carda-Broch S. Uses of ionic liquids in analytical chemistry // Reactions. 2004. V. 1. P. 1–6.
- Werner S., Haumann M. Wasserscheid P. // Annu. Rev. Chem. Biomol. Eng. 2010. V. 1. P. 203–230. https://doi.org/10.1146/annurev-chembioeng-073009-100915
- Qi M., Armstrong D.W. // Anal. Bioanal. Chem. 2007. V. 388. № 4. P. 889–899. https://doi.org/10.1007/s00216-007-1290-3
- Payagala T., Zhang Y., Wanigasekara E., Huang K., Breitbach Z.S., Sharma P.S., Sidisky L.M., Armstrong D.W. // Anal. Chem. 2009. V. 81. № 1. P. 160–173. https://doi.org/10.1021/ac8016949
- Jaime González-Álvarez J., Blanco-Gomis D., Arias-Abrodo P., Díaz-Llorente D., Ríos-Lombardía N., Busto E., Gotor-Fernández V., Gutiérrez-Álvarez M.D. // J. Sep. Sci. 2012. V. 35. № 2. P. 273–279. https://doi.org/10.1002/jssc.201100830
- Huang K., Han X., Zhang X., Armstrong D.W. // Anal. Bioanal. Chem. 2007. V. 389. № 7–8. P. 2265–2275. https://doi.org/10.1007/s00216-007-1625-0
- Berthod A., Ruiz-Ángel M.J., Carda-Broch S. // J. Chromatogr. A. 2018. V. 1559. P. 2–16. https://doi.org/10.1016/j.chroma.2017.09.044
- Shashkov M.V., Sidelnikov V.N. // J. Chromatogr. A. 2013. V. 1309. P. 56–63. https://doi.org/10.1016/j.chroma.2013.08.030
- Shashkov M.V., Sidelnikov V.N. // Anal. Bioanal. Chem. 2012. V. 403. № 9. P. 2673–2682. https://doi.org/10.1007/s00216-012-6020-9
- Heydar K.T., Azadeh A.M., Yaghoubnejad S., Ghonouei N., Sharifi A., Rahnama M.A. // J. Chromatogr. A. 2017. V. 1511. P. 92–100. https://doi.org/10.1016/j.chroma.2017.05.037
- Jiang R., Liu T., Yang S., Sun L., Luo A. // Acta Chromatogr. 2017. V. 29. № 1. P. 25–43. https://doi.org/10.1556/1326.2017.29.1.2
- Nan H., Zhang C., O’Brien R.A., Benchea A., Davis J.H., Anderson J.L. // J. Chromatogr. A. 2017. V. 1481. P. 127–136. https://doi.org/10.1016/j.chroma.2016.12.032
- Talebi M., Patil R.A., Sidisky L.M., Berthod A., Armstrong D.W. // Anal. Bioanal. Chem. 2018. V. 410. № 19. P. 4633–4643. https://doi.org/10.1016/j.chroma.2016.12.032
- Talebi M., Patil R.A., Sidisky L.M., Berthod A., Armstrong D.W. // Anal. Chim. Acta. 2018. V. 1042. P. 155–164. https://doi.org/10.1016/j.aca.2018.07.047
- Nan H., Kuroda K., Takahashi K., Anderson J.L. // J. Chromatogr. A. 2019. V. 1603. P. 288–296. https://doi.org/10.1016/j.chroma.2019.06.021
- Pomaville R.M., Poole C.F. // Anal. Chem. 1988. V. 60. № 11. P. 1103–1108. https://doi.org/10.1021/ac00162a005
- Hai-Yan Z., Xian-Bo L., Yu-Zeng T., Ji-Ping C. // Chinese J. Anal. Chem. 2010. V. 38. № 7. P. 1003–1006. https://doi.org/10.1016/S1872-2040(09)60056-6
- Armstrong D.W., Breitbach Z.S. // Anal. Bioanal. Chem. 2008. V. 390. № 6. P. 1605–1617. https://doi.org/10.1007/s00216-008-1877-3
- Shashkov M.V., Sidel’Nikov V.N. // Russ. J. Phys. Chem. A. 2012. V. 86. № 1. P. 138–141. https://doi.org/10.1134/S0036024412010268
- Mazzucotelli M., Bicchi C., Marengo A., Rubiolo P., Galli S., Anderson J.L., Sgorbini B., Cagliero C. // J. Chromatogr. A. 2019. V. 1583. P. 124–135. https://doi.org/10.1016/j.chroma.2018.11.032
- Cagliero C., Mazzucotelli M., Rubiolo P., Marengo A., Galli S., Anderson J.L., Sgorbini B., Bicchi C. // J. Chromatogr. A. 2020. V. 1619. P. 460969. https://doi.org/10.1016/j.chroma.2020.460969
- Li M.W.H., Huang X., Zhu H., Kurabayashi K., Fan X. // J. Chromatogr. A. 2020. V. 1620. P. 461002. https://doi.org/10.1016/j.chroma.2020.461002
- Ronco N.R., Lancioni C., Romero L.M., Castells C.B. // J. Chromatogr. A. 2020. V. 1622. P. 461127. https://doi.org/10.1016/j.chroma.2020.461127
- Patil R.A., Talebi M., Sidisky L.M., Berthod A., Armstrong D.W. // J. Sep. Sci. 2018. V. 41. № 22. P. 4142–4148. https://doi.org/10.1002/jssc.201800695
- Anderson J.L., Ding J., Welton T., Armstrong D.W. // J. Am. Chem. Soc. 2002. V. 124. № 47. P. 14247–14254. https://doi.org/10.1021/ja028156h
- Martin S.D., Poole C.F., Abraham M.H. // J. Chroma-togr. A. 1998. V. 805. № 1–2. P. 217–235. https://doi.org/10.1016/S0021-9673(98)00007-7
- Shashkov M.V., Sidelnikov V.N. // J. Struct. Chem. 2014. V. 55. № 5. P. 980–985. https://doi.org/10.1134/S002247661405028X
- Shashkov M.V., Sidelnikov V.N. // Chromatographia. 2019. V. 82. № 2. P. 615–624. https://doi.org/10.1007/s10337-018-3672-4
- Shashkov M.V., Sidelnikov V.N. // J. Sep. Sci. 2016. V. 39. № 19. P. 3754–3760. https://doi.org/10.1002/jssc.201600431
- Shashkov M.V., Sidelnikov V.N., Zaikin P.A. // Russ. J. Phys. Chem. A. 2014. V. 88. № 4. P.717–721. https://doi.org/10.1134/S0036024414040268
- Qiao L., Lu K., Qi M., Fu R. // J. Chromatogr. A. 2013. V. 1276. P. 112–119. https://doi.org/10.1016/j.chroma.2012.12.039
- Wang X., Qi M., Fu R. // J. Chromatogr. A. 2014. V. 1371. P. 237–243. https://doi.org/10.1016/j.chroma.2014.10.066
- Wang L., Wang X., Qi M., Fu R. // J. Chromatogr. A. 2014. V. 1334. P. 112–117. https://doi.org/10.1016/j.chroma.2014.01.070
- Yuan Q., Qi M. // J. Chromatogr. A. 2020. V. 1621. P. 461084. https://doi.org/10.1016/j.chroma.2020.461084
- Shashkov M.V., Sidelnikov V.N., Bratchikova A.A., Nikolaeva O.A. // Russ. J. Phys. Chem. A. 2020. V. 94. № 7. P. 1494–1502. https://doi.org/10.1134/S0036024420070262
- Alekseeva M.V., Bulavchenko O.A., Saraev A.A., Kremneva A.M., Shashkov M. V, Zaikina O.O., Gulyaeva Y.K., Grachev A.N., Kikhtyanin O., Kubička D. // Catalysts. 2020. V. 10. № 11. P. 1273. https://doi.org/10.3390/catal10111273
- Hantao L.W., Najafi A., Zhang C., Augusto F., Ander-son J.L. // Anal. Chem. 2014. V. 86. № 8. P. 3717–3721. https://doi.org/10.1021/ac5004129
- Nan H., Zhang C., Venkatesh A., Rossini A.J., Ander-son J.L. // J. Chromatogr. A. 2017. V. 1523. P. 316–320. https://doi.org/10.1016/j.chroma.2017.06.024
- Huang K.P., Misra T.K., Wang G.R., Huang B.Y., Liu C.Y. // J. Chromatogr. A. 2008. V. 1215. № 1–2. P. 177–184. https://doi.org/10.1016/j.chroma.2008.11.018
- Ngo H.L., Lecompte K., Hargens L., Mcewen A.B. // Therm. Acta. 2000. V. 358. № 5. P. 97–102. https://doi.org/10.1016/S0040-6031(00)00373-7
- Crosthwaite J.M., Muldoon M.J., Dixon J.K., Ander-son J.L., Brennecke J.F. // J. Chem. Therm. 2005. V. 37. P. 559–568. https://doi.org/10.1016/j.jct.2005.03.013
- Wei Q.Q., Qi M.L., Fu R.N. // Chinese Chem. Lett. 2009. V. 20. № 9. P. 1111–1114. https://doi.org/10.1016/j.cclet.2009.04.002
- Sun X., Wu C., Xing J. // J. Sep. Sci. 2010. V. 33. № 20. P. 3159–3167. https://doi.org/10.1002/jssc.201000030
- Curat A., Tisse S., Andrieu A., Bar N., Villemin D., Cardinael P. // Chromatographia. 2014. V. 77. № 23–24. P. 1671–1681. https://doi.org/10.1007/s10337-014-2784-8
- Curat A., Tisse S., Agasse-Peulon V., Villemin D., Cardinael P. // Chromatographia. 2020. V. 83. № 3. P. 439–449. https://doi.org/10.1007/s10337-020-03854-7
- Pello-Palma J., González-Álvarez J., Gutiérrez-Álvarez M.D., Dapena de la Fuente E., Mangas-Alonso J.J., Méndez-Sánchez D., Gotor-Fernández V., Arias-Abrodo P. // Anal. Bioanal. Chem. 2017. V. 409. № 11. P. 3033–3041. https://doi.org/10.1007/s00216-017-0250-9
- Dai J.L., Zhao L.H., Shi J.H. // J. Sep. Sci. 2017. V. 40. № 13. P. 2769–2778. https://doi.org/10.1002/jssc.201700130
- González-Álvarez J., Arias-Abrodo P., Puerto M., Viguri M.E., Perez J., Gutiérrez-Álvarez M.D. // New J. Chem. 2015. V. 39. № 11. P. 8560–8568. https://doi.org/10.1039/c5nj01842k
- González-Álvarez J., Arias-Abrodo P., Puerto M., Viguri M.E., Pérez J., Gutiérrez-Álvarez M.D. // RSC Adv. 2013. V. 3. № 44. P. 21377–21380. https://doi.org/10.1039/c3ra43782e
- Zhang L.X., Liu T., Chen Z.H., Sun L.Q., Luo A.Q. // Adv. Mater. Res. 2011. V. 236–238. P. 2639–2642. https://doi.org/10.4028/www.scientific.net/AMR.236-238.2639
- Hsieh Y.N., Horng R.S., Ho W.Y., Huang P.C., Hsu C.Y., Whang T.J., Kuei C.H. // Chromatographia. 2008. V. 67. № 5–6. P. 413–420. https://doi.org/10.1365/s10337-008-0531-8
- Zhang C., Park R.A., Anderson J.L. // J. Chromatogr. A. 2016. V. 1440. P. 160–171. https://doi.org/10.1016/j.chroma.2016.02.039
- Roeleveld K., David F., Lynen F. // J. Chromatogr. A. 2016. V. 1451. P. 135–144. https://doi.org/10.1016/j.chroma.2016.05.007
- Wong Y.F., West R.N., Chin S.T., Marriott P.J. // J. Chromatogr. A. 2015. V. 1406. P. 307–315. https://doi.org/10.1016/j.chroma.2015.06.036
- Pojjanapornpun S., Nolvachai Y., Aryusuk K., Kulsing C., Krisnangkura K., Marriott P.J. // Anal. Bioanal. Chem. 2018. V. 410. № 19. P. 4669–4677. https://doi.org/10.1007/s00216-018-0944-7
- Sidisky L.M., Serrano G., Baney G.A., Desorcie J.L., Zheng X., Buchanan M.D. Improved inertness ionic liquid capillary columns // 40th ISCC & 13th GCxGC Symposium, 29 May – 3 June 2016, Riva del Garda, Italy. Chromaleont, 2016. P. B‑03.
- Sidisky L.M., Serrano G., Desorcie J.L., Baney G.A., Stenerson K.K., Halpenny M., Buchanan M.D. Evaluating the unique selectivity of ionic liquid capillary columns // 40th ISCC & 13th GCxGC Symposium, 29 May–3 June 2016, Riva del Garda, Italy. Chromaleont, 2016. P. LE 21.
- Rodríguez-Sánchez S., Galindo-Iranzo P., Soria A.C., Sanz M.L., Quintanilla-López J.E. Lebrón-Aguilar R. // J. Chromatogr. A. 2014. V. 1326. P. 96–102. https://doi.org/10.1016/j.chroma.2013.12.020
- Rood D. The troubleshooting and maintenance guide for gas chromatographers. John Wiley & Sons, 2007. https://doi.org/10.1002/9783527611300
- Weber W., Andersson J.T. // Anal. Bioanal. Chem. 2014. V. 406. № 22. P. 5347–5358. https://doi.org/10.1007/s00216-014-7972-8
- Zhao Q., Eichhorn J., Pitner W.R., Anderson J.L. // Anal. Bioanal. Chem. 2009. V. 395. № 1. P. 225–234. https://doi.org/10.1007/s00216-009-2951-1
- Weatherly C.A., Woods R.M., Armstrong D.W. // J. Agric. Food Chem. 2014. V. 62. № 8. P. 1832–1838. https://doi.org/10.1021/jf4050167
- Armstrong D.W. Measuring water: the expanding role of gas chromatography. // LC‑GC North America. 2017. V. 35. № 8. P. 503–505.
- Padivitage N.L.T., Smuts J.P., Armstrong D.W. Chap-ter 11. Water determination. In: Specification of Drug Substances and Products. Riley C.M., Rosanske T.W., Riley S.R.R. (Eds.) 2014. P. 223–241. https://doi.org/https://doi.org/10.1016/B978-0-08-098350-9.00011-4
- Sidisky L.M., Serrano G., Desorcie J.L., Stenerson K.K., Baney G., Halpenny M., Buchanan M.D. Mixing Water and Gas: The Quantitative Measurement of Water by Gas Chromatography Using Ionic Liquid Capillary Columns // Enviromental Technology-online. Mar. 08. 2016. Access on: https://www.envirotech-online.com/article/gc-mdgc/32/supelco/mixing-water-and-gas-the-quantitative-measurement-of-water-by-gas-chromatography-using-ionic-liquid-capillary-columns/2003. Ссылка активна на 04.02.2023.
- Frink L.A., Armstrong D.W. // Anal. Chem. 2016. V. 88. № 16. P. 8194–8201. https://doi.org/10.1021/acs.analchem.6b02006
- Fanali C., Micalizzi G., Dugo P., Mondello L. // Analyst. 2017. V. 142. № 24. P. 4601–4612. https://doi.org/10.1039/c7an01338h
- Villegas C., Zhao Y., Curtis J.M. // J. Chromatogr. A. 2010. V. 1217. № 5. P. 775–784. https://doi.org/10.1016/j.chroma.2009.12.011
- Weatherly C.A., Zhang Y., Smuts J.P., Fan H., Xu C., Schug K.A., Lang J.C., Armstrong D.W. // J. Agric. Food Chem. 2016. V. 64. № 6. P. 1422–1432 https://doi.org/10.1021/acs.jafc.5b05988
- Delmonte P., Fardin-Kia A.R., Kramer J.K.G., Mos-soba M.M., Sidisky L., Tyburczy C., Rader J.I. // J. Chromatogr. A. 2012. V. 1233. P. 137–146. https://doi.org/10.1016/j.chroma.2012.02.012
- Delmonte P., Fardin Kia A.R., Kramer J.K.G., Mos-soba M.M., Sidisky L., Rader J.I. // J. Chromatogr. A. 2011. V. 1218. № 3. P. 545–554. https://doi.org/10.1016/j.chroma.2010.11.072
- Ando Y., Sasaki T. // J. Am. Oil Chem. Soc. 2011. V. 88. № 6. P. 743–748. https://doi.org/10.1007/s11746-010-1733-4
- Turner T.D., Karlsson L., Mapiye C., Rolland D.C., Martinsson K., Dugan M.E.R. // Meat Sci. 2012. V. 91. № 4. P. 472–477. https://doi.org/10.1016/j.meatsci.2012.02.034
- Granafei S., Losito I., Salivo S., Tranchida P.Q., Mondello L., Palmisano F., Cataldi T.R.I. // Anal. Chim. Acta. 2015. V. 885. P. 191–198. https://doi.org/10.1016/j.aca.2015.05.028
- Destaillats F., Guitard M., Cruz-Hernandez C. // J. Chromatogr. A. 2011. V. 1218. № 52. P. 9384–9389. https://doi.org/10.1016/j.chroma.2011.10.095
- Ragonese C., Tranchida P.Q., Sciarrone D., Mondello L. // J. Chromatogr. A. 2009. V. 1216. № 51. P. 8992–8997. https://doi.org/10.1016/j.chroma.2009.10.066
- Cagliero C., Bicchi C., Cordero C., Liberto E., Sgorbini B., Rubiolo P. // J. Chromatogr. A. 2012. V. 1268. P. 130–138. https://doi.org/10.1016/j.chroma.2012.10.016
- Ragonese C., Sciarrone D., Tranchida P.Q., Dugo P., Dugo G., Mondello L., Farmaco-chimico D., Annunziata V., Messina À. // Anal. Chem. 2011. V. 83. P. 7947–7954. https://doi.org/10.1021/ac202012u
- Cagliero C., Bicchi C., Cordero C., Liberto E., Rubiolo P., Sgorbini B. // J. Chromatogr. A. 2017. V. 1495. P. 64–75. https://doi.org/10.1016/j.chroma.2017.03.029
- Cagliero C., Bicchi C. // Anal. Bioanal. Chem., 2020. V. 412. P. 17–25. https://doi.org/10.1007/s00216-019-02288-x
- Mazzucotelli M., Minteguiaga M.A., Sgorbini B., Sidisky L., Marengo A., Rubiolo P., Bicchi C., Cagliero C. // J. Chromatogr. A. 2020. V. 1610. P. 460567. https://doi.org/10.1016/j.chroma.2019.460567
- Odugbesi G.A., Nan H., Soltani M., Davis J.H., Anderson J.L. // J. Chromatogr. A. 2019. V. 1604. P. 460466. https://doi.org/10.1016/j.chroma.2019.460466
- Ros M., Escobar-Arnanz J., Sanz M.L., Ramos L. // J. Chromatogr. A. 2018. V. 1559. P. 156–163. https://doi.org/10.1016/j.chroma.2017.12.029
- Domínguez C., Reyes-Contreras C., Bayona J.M. // J. Chromatogr. A. 2012. V. 1230. P. 117–122. https://doi.org/10.1016/j.chroma.2012.01.054
- García Pinto C., Pérez Antón A., Pérez Pavón J.L., Moreno Cordero B. // J. Chromatogr. A. 2012. V. 1260. P. 200–205. https://doi.org/10.1016/j.chroma.2012.08.078
- Rodríguez-Sánchez S., Soria A.C., Lebrón-Aguilar R., Sanz M.L., Ruiz-Matute A.I. // Anal. Bioanal. Chem. 2019. V. 411. № 28. P. 7461–7472. https://doi.org/10.1007/s00216-019-02118-0
- Liu Z., Phillips J.B. // J. Chromatogr. Sci. 1991. V. 29. № 6. P. 227–231. https://doi.org/10.1093/chromsci/29.6.227
- Lambertus G.R., Crank J.A., McGuigan M.E., Kendler S., Armstrong D.W., Sacks R.D. // J. Chromatogr. A. 2006. V. 1135. № 2. P. 230–240. https://doi.org/10.1016/j.chroma.2006.09.086
- Delmonte P. // J. Chromatogr. A. 2016. V. 1460. P. 160–172. https://doi.org/10.1016/j.chroma.2016.07.019
- Nosheen A., Mitrevski B., Bano A., Marriott P.J. // J. Chromatogr. A. 2013. V. 1312. P. 118–123. https://doi.org/10.1016/j.chroma.2013.08.099
- Gu Q., David F., Lynen F., Vanormelingen P., Vyverman W., Rumpel K., Xu G., Sandra P. // J. Chromatogr. A. 2011. V. 1218. № 20. P. 3056–3063. https://doi.org/10.1016/j.chroma.2011.03.011
- Delmonte P., Kramer J.K.G., Hayward D.G., Mosso-ba M.M., Fardin-Kia A.R., Aldai N. // Lipid Technol. 2014. V. 26. № 11. P. 256–259. https://doi.org/10.1002/lite.201400064
- Zeng A.X., Chin S.T., Marriott P.J. // J. Sep. Sci. 2013. V. 36. № 5. P. 878–885. https://doi.org/10.1002/jssc.201200923
- Webster R.L., Rawson P.M., Evans D.J., Marriott P.J. // J. Sep. Sci. 2016. V. 39. № 13. P. 2537–2543. https://doi.org/10.1002/jssc.201600307
- Nolvachai Y., Kulsing C., Marriott P.J. // Anal. Chem. 2015. V. 87. № 1. P. 538–544. https://doi.org/10.1021/ac5030039
- Kulsing C., Nolvachai Y., Zeng A.X., Chin S.-T., Mitrevski B., Marriott P.J. // Chempluschem. 2014. V. 79. № 6. P. 790–797. https://doi.org/10.1002/cplu.201300410
- Purcaro G., Tranchida P.Q., Ragonese C., Conte L., Dugo P., Dugo G., Mondello L. // Anal. Chem. 2010. V. 82. № 20. P. 8583–8590. https://doi.org/10.1021/ac101678r
- Tranchida P.Q., Franchina F.A., Zoccali M., Pantò S., Sciarrone D., Dugo P., Mondello L. // J. Chromatogr. A. 2013. V. 1278. P. 153–159. https://doi.org/10.1016/j.chroma.2012.12.066
- Chikhoune A., Damjan Pavleca J., Shashkov M., Berroua Z., Chebbi K., Bougherra H., Zeroual B., Aliane K., Gagaoua M., Boudjellal A., Vovk I., Križman M. // J. Food Process. Preserv. 2017. V. 41. № 5. P. e13163. https://doi.org/10.1111/jfpp.13163
- Kupska M., Chmiel T., Jȩdrkiewicz R., Wardencki W., Namieśnik J. // Food Chem. 2014. V. 152. P. 88–93. https://doi.org/10.1016/j.foodchem.2013.11.129
- Wong Y.F., Uekane T.M., Rezende C.M., Bizzo H.R., Marriott P.J. // J. Chromatogr. A. 2016. V. 1477. P. 91–99. https://doi.org/10.1016/j.chroma.2016.11.038
- Chin S.T., Eyres G.T., Marriott P.J. // Food Chem. 2015. V. 185. P. 355–361. https://doi.org/10.1016/j.foodchem.2015.04.003
- Zhang C., Ingram I.C., Hantao L.W., Anderson J.L. // J. Chromatogr. A. 2015. V. 1386. P. 89–97. https://doi.org/10.1016/j.chroma.2015.01.074
- Krupčík J., Gorovenko R., Špánik I., Bočková I., Sandra P., Armstrong D.W. // J. Chromatogr. A. 2013. V. 1301. P. 225–236. https://doi.org/10.1016/j.chroma.2013.05.075
- Seeley J.V., Seeley S.K., Libby E.K., Breitbach Z.S., Armstrong D.W. // Anal. Bioanal. Chem. 2008. V. 390. № 1. P. 323–332. https://doi.org/10.1007/s00216-007-1676-2
- Siegler W.C., Crank J.A., Armstrong D.W., Synovec R.E. // J. Chromatogr. A. 2010. V. 1217. № 18. P. 3144–3149. https://doi.org/10.1016/j.chroma.2010.02.082
- Manzano C.A., Muir D., Marvin C. // Int. J. Environ. Anal. Chem. 2016. V. 96. № 10. P. 905–920. https://doi.org/10.1080/03067319.2016.1220007
- Mahé L., Courtiade M., Dartiguelongue C., Ponthus J., Souchon V., Thiébaut D. // J. Chromatogr. A. 2012. V. 1229. P. 298–301. https://doi.org/10.1016/j.chroma.2012.01.030
- Cappelli Fontanive F., Souza-Silva É.A., Macedo da Silva J., Bastos Caramão E., Alcaraz Zini C. // J. Chromatogr. A. 2016. V. 1461. P. 131–143. https://doi.org/10.1016/j.chroma.2016.07.025
Дополнительные файлы











