Синтез меченного дейтерием салицил-карнозина
- Авторы: Шевченко В.П.1, Нагаев И.Ю.1, Куликова О.И.2, Мясоедов Н.Ф.1
-
Учреждения:
- Федеральное государственное бюджетное учреждение Институт молекулярной генетики Национального исследовательского центра “Курчатовский институт” (НИЦ “Курчатовский институт” – ИМГ)
- Федеральное государственное бюджетное научное учреждение “Научный центр неврологии” (ФГБНУ НЦН)
- Выпуск: Том 511, № 1 (2023)
- Страницы: 42-46
- Раздел: ХИМИЯ
- URL: https://journal-vniispk.ru/2686-9535/article/view/135983
- DOI: https://doi.org/10.31857/S2686953523600058
- EDN: https://elibrary.ru/ZBEHEF
- ID: 135983
Цитировать
Полный текст
Аннотация
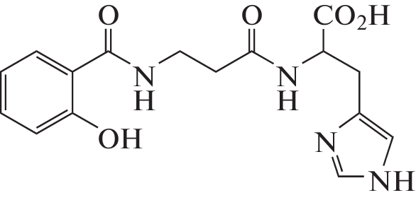
Изучено влияние температуры на эффективность введения дейтерия в новое биологически активное соединение салицил-карнозин (СК). В качестве источника дейтерия использовали газообразный дейтерий и тяжелую воду. Синтез меченого СК твердофазным методом при 190°C приводит к получению [D]СК с выходом 53% и содержанием дейтерия около 4.8 атомов на молекулу. При проведении изотопного обмена с дейтериевой водой показано, что после предварительной обработки катализатора при комнатной температуре газообразным дейтерием изотопный обмен между протонами СК и дейтериевой водой происходит более эффективно. [D]СК образуется с выходом 46% и содержит около 7.3 атомов дейтерия на молекулу. При проведении препаративного синтеза меченого СК по этой методике при 190°C выход [D]СК составил 60–70% при содержании дейтерия около 6.2 атомов на молекулу. Новая методика активизации включения дейтерия в пептиды открывает дополнительные возможности при получении высокомеченных препаратов.
Ключевые слова
Об авторах
В. П. Шевченко
Федеральное государственное бюджетное учреждение Институт молекулярной генетики Национального исследовательского центра “Курчатовский институт” (НИЦ “Курчатовский институт” – ИМГ)
Автор, ответственный за переписку.
Email: nagaev@img.ras.ru
Россия,
123182, Москва
И. Ю. Нагаев
Федеральное государственное бюджетное учреждение Институт молекулярной генетики Национального исследовательского центра “Курчатовский институт” (НИЦ “Курчатовский институт” – ИМГ)
Email: kulikova@neurology.ru
Россия,
123182, Москва
О. И. Куликова
Федеральное государственное бюджетное научное учреждение “Научный центр неврологии” (ФГБНУ НЦН)
Автор, ответственный за переписку.
Email: kulikova@neurology.ru
Россия, 125367, Москва
Н. Ф. Мясоедов
Федеральное государственное бюджетное учреждение Институт молекулярной генетики Национального исследовательского центра “Курчатовский институт” (НИЦ “Курчатовский институт” – ИМГ)
Email: kulikova@neurology.ru
Россия,
123182, Москва
Список литературы
- Ekinci D., Şentürk M., Küfrevioğlu O.I. // Expert Opin. Ther. Pat. 2011. V. 21. № 12. P. 1831–1841. https://doi.org/10.1517/13543776.2011.636354
- Berezhnoy D.S., Stvolinsky S.L., Lopachev A.V., Devyatov A.A., Lopacheva O.M., Kulikova O.I., Abaimov D.A., Fedorova T.N. // Amino Acids. 2019. V. 51. № 1. P. 139–150. https://doi.org/10.1007/s00726-018-2667-7
- Танашян М.М., Федорова Т.Н., Стволинский С.Л., Андреева Л.А., Нагаев И.Ю., Мигулин В.А., Шабалина А.А., Трубицына И.Е., Лопачев А.В., Куликова О.И., Абаимов Д.А. Патент РФ 2694061. 2019.
- Kulikova O.I., Stvolinsky S.L., Migulin V.A., Andre-eva L.A., Nagaev I.Yu., Lopacheva O.M., Kulichenko-va K.N., Lopachev A.V., Trubitsina I.E., Fedorova T.N. // DARU J. Pharm. Sci. 2020. V. 28. P. 119–130. https://doi.org/10.1007/s40199-019-00323-x
- Стволинский С.Л., Федорова Т.Н., Хуторова А.В., Лопачев А.В., Тимошина Ю.А., Куликова О.И., Танашян М.М. Патент РФ 2780112. 2022.
- Шевченко В.П., Нагаев И.Ю., Федорова Т.Н., Мясоедов Н.Ф. // Докл. Российской академии наук. Науки о жизни. 2023. Т. 508. С. 23–29. https://doi.org/10.31857/S2686738922700020
- Шевченко В.П., Нагаев И.Ю., Шапошников А.И., Шевченко К.В., Белимов А.А., Баташева С.Н., Гоголева Н.Е., Гоголев Ю.В., Мясоедов Н.Ф. // ДАН. 2018. Т. 483. № 3. С. 274–278. https://doi.org/10.31857/S086956520003247-4
- Шевченко В.П., Нагаев И.Ю., Лопачев А.В., Мясоедов Н.Ф. // Хим-фарм. журн. 2022. Т. 56. № 11. С. 48–52. https://doi.org/10.30906/0023-1134-2022-56-11-48-52
- Шевченко В.П., Нагаев И.Ю., Мясоедов Н.Ф. // Радиохимия. 2005. Т. 47. № 4. С. 368–373.
- Myasoedov N.F., Sidorov G.V., Kramerov V.N., Mi-shin V.I. // J. Label. Compd. Radiopharm. 1999. V. 42. № 9. P. 859–866. https://doi.org/10.1002/(SICI)1099-1344(199909) 42:9<859::AID-JLCR248>3.0.CO;2-5
- Шевченко В.П., Нагаев И.Ю., Мясоедов Н.Ф. Меченные тритием липофильные соединения. М.: Наука, 2003. 246 с.





