Y-Структурированные флуорофоры на основе N(2)-aрил-1,2,3-триазолов: синтез, исследование фотофизических и хемосенсорных свойств для обнаружения нитроароматических соединений
- Авторы: Лавринченко И.А.1, Мосеев Т.Д.1, Вараксин М.В.1,2, Селезнев Ю.А.1, Садиева Л.К.1, Зырянов Г.В.1,2, Цмокалюк А.Н.1, Чарушин В.Н.1,2, Чупахин О.Н.1,2
-
Учреждения:
- Уральский федеральный университет имени первого президента России Б.Н. Ельцина
- Институт органического синтеза имени И.Я. Постовского Уральского отделения Российской академии наук, Уральское отделение Российской академии наук
- Выпуск: Том 512, № 1 (2023)
- Страницы: 21-31
- Раздел: ХИМИЯ
- URL: https://journal-vniispk.ru/2686-9535/article/view/247177
- DOI: https://doi.org/10.31857/S2686953522600702
- EDN: https://elibrary.ru/CLZCVS
- ID: 247177
Цитировать
Полный текст
Аннотация
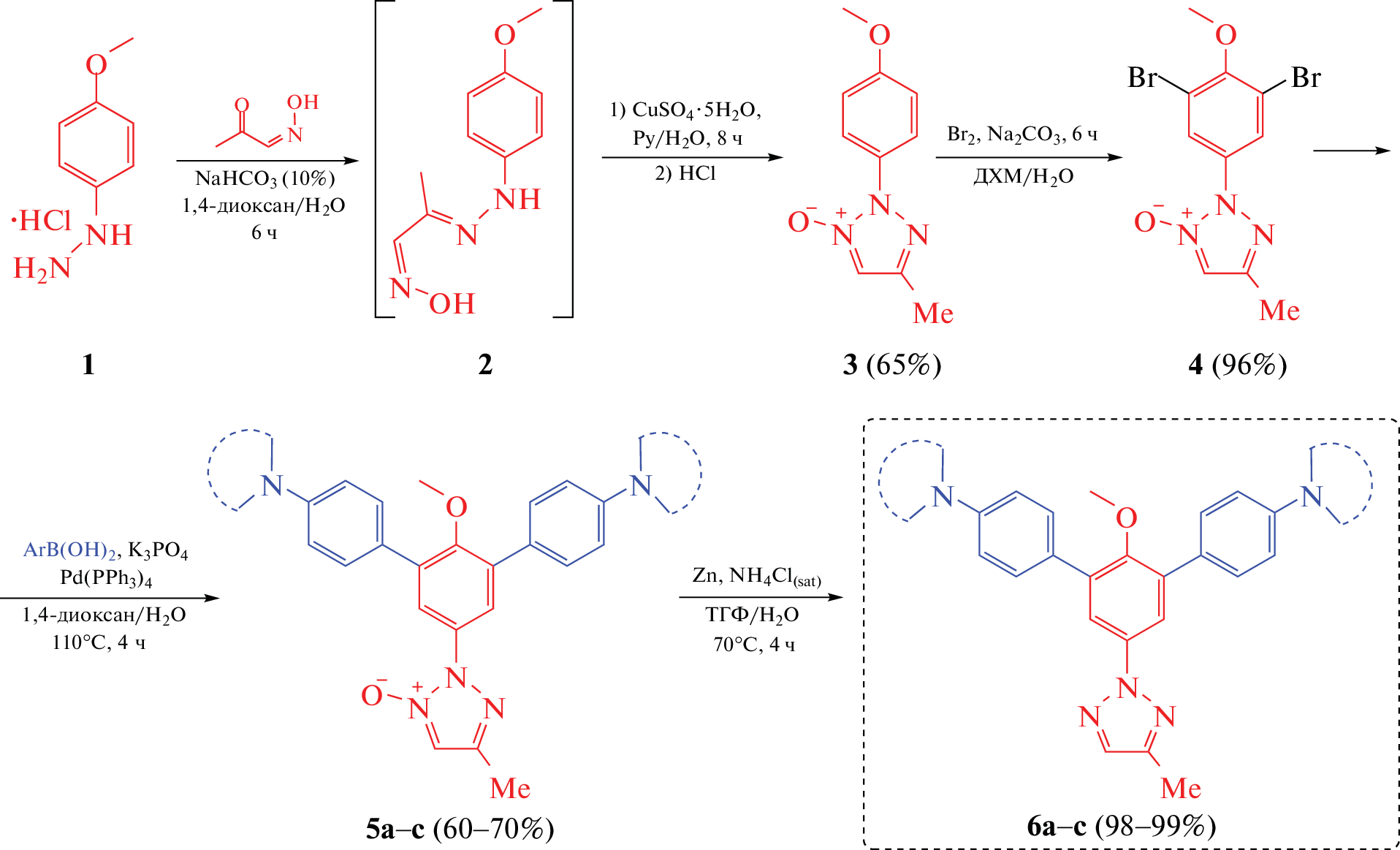
Предложен пятистадийный метод синтеза Y-структурированных “push-pull” флуорофоров на основе 2-(4'-метоксифенил)-1,2,3-триазола, которые характеризуются эмиссией в диапазоне от 350 до 450 нм и высокими квантовыми выходами QY 90–99% в растворителях различной полярности. Определена возможность применения полученных соединений в качестве хемосенсоров для определения как ароматических, так и алифатических нитроаналитов в концентрациях от 300 млрд–1.
Ключевые слова
Об авторах
И. А. Лавринченко
Уральский федеральный университет именипервого президента России Б.Н. Ельцина
Email: chupakhin@ios.uran.ru
Россия,
620002, Екатеринбург
Т. Д. Мосеев
Уральский федеральный университет именипервого президента России Б.Н. Ельцина
Email: chupakhin@ios.uran.ru
Россия,
620002, Екатеринбург
М. В. Вараксин
Уральский федеральный университет именипервого президента России Б.Н. Ельцина; Институт органического синтеза
имени И.Я. Постовского Уральского отделения Российской академии наук, Уральское отделение Российской академии наук
Автор, ответственный за переписку.
Email: m.v.varaksin@urfu.ru
Россия,
620002, Екатеринбург; Россия, 620108, Екатеринбург
Ю. А. Селезнев
Уральский федеральный университет именипервого президента России Б.Н. Ельцина
Email: chupakhin@ios.uran.ru
Россия,
620002, Екатеринбург
Л. К. Садиева
Уральский федеральный университет именипервого президента России Б.Н. Ельцина
Email: chupakhin@ios.uran.ru
Россия,
620002, Екатеринбург
Г. В. Зырянов
Уральский федеральный университет именипервого президента России Б.Н. Ельцина; Институт органического синтеза
имени И.Я. Постовского Уральского отделения Российской академии наук, Уральское отделение Российской академии наук
Email: chupakhin@ios.uran.ru
Россия,
620002, Екатеринбург; Россия, 620108, Екатеринбург
А. Н. Цмокалюк
Уральский федеральный университет именипервого президента России Б.Н. Ельцина
Email: chupakhin@ios.uran.ru
Россия,
620002, Екатеринбург
В. Н. Чарушин
Уральский федеральный университет именипервого президента России Б.Н. Ельцина; Институт органического синтеза
имени И.Я. Постовского Уральского отделения Российской академии наук, Уральское отделение Российской академии наук
Email: chupakhin@ios.uran.ru
Россия,
620002, Екатеринбург; Россия, 620108, Екатеринбург
О. Н. Чупахин
Уральский федеральный университет именипервого президента России Б.Н. Ельцина; Институт органического синтеза
имени И.Я. Постовского Уральского отделения Российской академии наук, Уральское отделение Российской академии наук
Автор, ответственный за переписку.
Email: chupakhin@ios.uran.ru
Россия,
620002, Екатеринбург; Россия, 620108, Екатеринбург
Список литературы
- Bureš F. // RSC Adv. 2014. V. 4. № 102. P. 58826–58851. https://doi.org/10.1039/C4RA11264D
- Li K., Ren T.-B., Huan S., Yuan L., Zhang X.-B. // J. Am. Chem. Soc. 2021. V. 143. № 50. P. 21143–21160. https://doi.org/10.1021/jacs.1c10925
- Pucher N., Rosspeintner A., Satzinger V., Schmidt V., Gescheidt G., Stampfl J., Liska R. // Macromolecules. 2009. V. 42. № 17. P. 6519–6528. https://doi.org/10.1021/ma9007785
- Grabowski Z.R., Rotkiewicz K., Rettig W. // Chem. Rev. 2003. V. 103. № 10. P. 3899–4032. https://doi.org/10.1021/cr940745l
- Escudero D. // Acc. Chem. Res. 2016. V. 49. № 9. P. 1816–1824. https://doi.org/10.1021/acs.accounts.6b00299
- Sekar R.B., Periasamy A. // J. Cell Biol. 2003. V. 160. № 5. P. 629–633. https://doi.org/10.1083/jcb.200210140
- Shen Q., Wang S., Yang N.-D., Zhang C., Wu Q., Yu C. // J. Lumin. 2020. V. 225. P. 117338. https://doi.org/10.1016/j.jlumin.2020.117338
- Zheng Q., Juette M.F., Jockusch S., Wasserman M.R., Zhou Z., Altman R.B., Blanchard S.C. // Chem. Soc. Rev. 2014. V. 43. № 4. P. 1044–1056. https://doi.org/10.1039/C3CS60237K
- Martynov V.I., Pakhomov A.A. // Russ. Chem. Rev. 2021. V. 90. № 10. P. 1213–1262. https://doi.org/10.1070/RCR4985
- Misra R., Bhattacharyya S.P. Intramolecular Charge Transfer. Weinheim, Germany: Wiley-VCH Verlag GmbH & Co. KGaA, 2018. https://doi.org/10.1002/9783527801916
- Long Y., Chen H., Wang H., Peng Z., Yang Y., Zhang G., Li N., Liu F., Pei J. // Anal. Chim. Acta. 2012. V. 744. P. 82–91. https://doi.org/10.1016/j.aca.2012.07.028
- Mauricio F.G.M., Silva J.Y.R., Talhavini M., Júnior S.A., Weber I.T. // Microchem. J. 2019. V. 150. P. 104037. https://doi.org/10.1016/j.microc.2019.104037
- Tretyakov E.V., Ovcharenko V.I., Terent’ev A.O., Krylov I.B., Magdesieva T.V., Mazhukin D.G., Gritsan N.P. // Russ. Chem. Rev. 2022. V. 91. № 2. RCR5025. https://doi.org/10.1070/RCR5025
- Fu H.-Y., Liu X.-J., Xia M. // RSC Adv. 2017. V. 7. № 80. P. 50720–50728. https://doi.org/10.1039/C7RA10432D
- Miura Y., Kobayashi K., Yoshioka N. // New J. Chem. 2021. V. 45. № 2. P. 898–905. https://doi.org/10.1039/D0NJ05323F
- Du F., Li D., Ge S., Xie S., Tang M., Xu Z., Wang E., Wang S., Tang B.Z. // Dye. Pigment. 2021. V. 194. P. 109640. https://doi.org/10.1016/j.dyepig.2021.109640
- Fu H.-Y., Xu N., Pan Y.-M., Lu X.-L., Xia M. // Phys. Chem. Chem. Phys. 2017. V. 19. № 18. P. 11563–11570. https://doi.org/10.1039/C7CP01281K
- Khamrang T., Kathiravan A., Ponraj C., Saravanan D. // J. Mol. Struct. 2021. V. 1238. P. 130442. https://doi.org/10.1016/j.molstruc.2021.130442
- Chen S.-H., Jiang K., Lin J.-Y., Yang K., Cao X.-Y., Luo X.-Y., Wang Z.‑Y. // J. Mater. Chem. C. 2020. V. 8. № 24. P. 8257–8267. https://doi.org/10.1039/D0TC01870H
- Lai Q., Liu Q., Zhao K., Shan C., Wojtas L., Zheng Q., Shi X., Song Z. // Chem. Commun. 2019. V. 55. № 32. P. 4603–4606. https://doi.org/10.1039/C9CC00262F
- Govdi A., Tokareva V., Rumyantsev A.M., Panov M.S., Stellmacher J., Alexiev U., Danilkina N.A., Balova I.A. // Molecules. 2022. V. 27. № 10. P. 3191. https://doi.org/10.3390/molecules27103191
- Wong M.Y., Leung L.M. // Dyes Pigm. 2017. V. 145. P. 542–549. https://doi.org/10.1016/j.dyepig.2017.06.054
- Ahmadi F., Tisseh Z.N., Dabiri M., Bazgir A. // C. R. Chim. 2013. V. 16. № 12. P. 1086–1090. https://doi.org/10.1016/j.crci.2013.05.006
- Chen Z., Yan Q., Yi H., Liu Z., Lei A., Zhang Y. // Chem. Eur. J. 2014. V. 20. № 42. P. 13692–13697. https://doi.org/10.1002/chem.201403515
- Begtrup M., Holm J. // J. Chem. Soc. Perkin Trans. 1. 1981. P. 503–513. https://doi.org/10.1039/p19810000503
- Beletskaya I.P., Alonso F., Tyurin V. // Coord. Chem. Rev. 2019. V. 385 P. 137–173. https://doi.org/10.1016/j.ccr.2019.01.012
- Chen C., Lu X., Holland M. C., Lv S., Ji X., Liu W., Liu J., Depre D., Westerduin P. // Eur. J. Org. Chem. 2020. V. 2020. № 5. P. 548–551. https://doi.org/10.1002/ejoc.201901519
- Gaussian 16, Revision C.01. Frisch M.J., Trucks G.W., Schlegel H.B., Scuseria G.E., Robb M.A., Cheese-man J.R., Scalmani G., Barone V., Petersson G.A., Nakatsuji H., Li X., Caricato M., Marenich A.V., Bloino J., Janesko B.G., Gomperts R., Mennucci B., Hratchian H.P., Ortiz J.V., Izmaylov A.F., Sonnenberg J.L., Williams-Young D., Ding F., Lipparini F., Egidi F., Goings J., Peng B., Petrone A., Henderson T., Ranasinghe D., Zakrzewski V.G., Gao J., Rega N., Zheng G., Liang W., Hada M., Ehara M., Toyota K., Fukuda R., Hasegawa J., Ishida M., Nakajima T., Honda Y., Kitao O., Nakai H., Vreven T., Throssell K., Montgomery J.A. Jr., Peralta J.E., Ogliaro F., Bearpark M.J., Heyd J.J., Brothers E.N., Kudin K.N., Staroverov V.N., Keith T.A., Kobayashi R., Normand J., Raghavachari K., Rendell A.P., Burant J.C., Iyengar S.S., Tomasi J., Cossi M., Millam J.M., Klene M., Adamo C., Cammi R., Ochterski J.W., Martin R.L., Morokuma K., Farkas O., Foresman J.B. Fox, D. J. Gaussian, Inc., Wallingford CT, 2016.
- Weigend F., Ahlrichs R. // Phys. Chem. Chem. Phys. 2005. V.7. P. 3297–3305.
- Weigend F. // Phys. Chem. Chem. Phys. 2006. V. 8. P. 1057–1065. https://doi.org/10.1039/B515623H
- Grimme S., Ehrlich S., Goerigk L. // Theor. J. Comput. Chem. 2011. V. 32. P. 1456–1465. https://doi.org/10.1002/jcc.21759
- Grimme S., Antony J., Ehrlich S., Krieg H. // J. Chem. Phys. 2010. V. 132. P. 154104. https://doi.org/10.1063/1.3382344
- libint2 library // Доступно по ссылке: http://libint.valeyev.net/ (ссылка активна на 09.01.2023)
- Libxc library // Доступно по ссылке: https://tddft.org/programs/libxc/ (ссылка активна на 09.01.2023).
- Lakowicz J.R. Principles of Fluorescence Spectroscopy, Third Edition. Springer New York, 2017. https://doi.org/10.1007/978-0-387-46312-4
- Campbell K., Zappas A., Bunz U., Thio Y.S., Buck-nall D.G. // J. Photochem. Photobiol. A Chem. 2012. V. 249. P. 41–46. https://doi.org/10.1016/j.jphotochem.2012.08.015
Дополнительные файлы











