Хиральные N-(октагидро-2H-хромен-4-ил)-2-(диалкиламино)ацетамиды: синтез и анальгетическая активность
- Авторы: Ли-Жуланов Н.С.1, Николайчук К.М.1,2, Гатилов Ю.В.1, Волчо К.П.1, Хвостов М.В.1, Толстикова Т.Г.1, Салахутдинов Н.Ф.1
-
Учреждения:
- Новосибирский институт органической химии им. Н.Н. Ворожцова СО РАН
- Новосибирский государственный университет
- Выпуск: Том 512, № 1 (2023)
- Страницы: 32-38
- Раздел: ХИМИЯ
- URL: https://journal-vniispk.ru/2686-9535/article/view/247178
- DOI: https://doi.org/10.31857/S2686953522600751
- EDN: https://elibrary.ru/UYUMVC
- ID: 247178
Цитировать
Полный текст
Аннотация
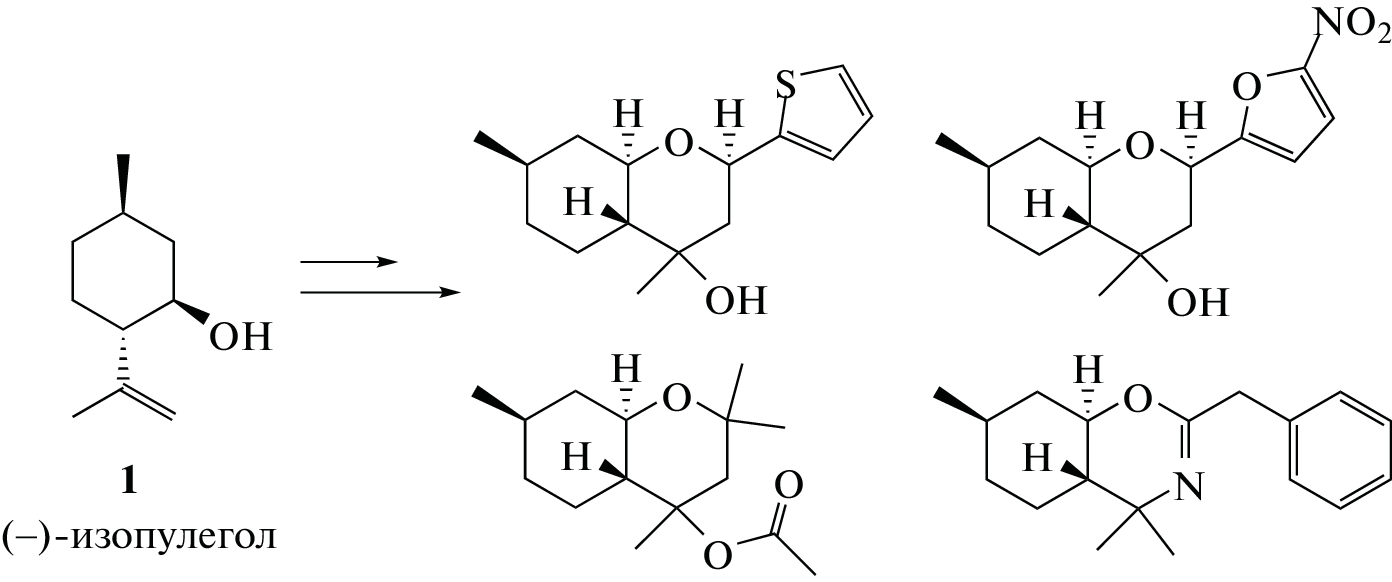
Синтезирован ряд новых производных октагидро-2Н-хромена на основе монотерпеноида (–)-изопулегола. Состав и структура продуктов установлены с использованием спектроскопии ЯМР, масс-спектрометрии высокого разрешения и рентгеноструктурного анализа. Показано, что большинство полученных соединений проявляет высокую анальгетическую активность в тестах in vivo. Наибольшую эффективность в обоих тестах (уксусные корчи и горячая пластина) показали (4S)‑диастереомеры морфолиноацетамидных производных октагидро-2H-хромена.
Ключевые слова
Об авторах
Н. С. Ли-Жуланов
Новосибирский институт органической химииим. Н.Н. Ворожцова СО РАН
Email: volcho@nioch.nsc.ru
Россия, 630090, Новосибирск
К. М. Николайчук
Новосибирский институт органической химииим. Н.Н. Ворожцова СО РАН; Новосибирский государственный университет
Email: volcho@nioch.nsc.ru
Россия, 630090, Новосибирск; Россия,
630090, Новосибирск
Ю. В. Гатилов
Новосибирский институт органической химииим. Н.Н. Ворожцова СО РАН
Email: volcho@nioch.nsc.ru
Россия, 630090, Новосибирск
К. П. Волчо
Новосибирский институт органической химииим. Н.Н. Ворожцова СО РАН
Автор, ответственный за переписку.
Email: volcho@nioch.nsc.ru
Россия, 630090, Новосибирск
М. В. Хвостов
Новосибирский институт органической химииим. Н.Н. Ворожцова СО РАН
Email: volcho@nioch.nsc.ru
Россия, 630090, Новосибирск
Т. Г. Толстикова
Новосибирский институт органической химииим. Н.Н. Ворожцова СО РАН
Email: volcho@nioch.nsc.ru
Россия, 630090, Новосибирск
Н. Ф. Салахутдинов
Новосибирский институт органической химииим. Н.Н. Ворожцова СО РАН
Email: volcho@nioch.nsc.ru
Россия, 630090, Новосибирск
Список литературы
- Melnikova I. // Nat. Rev. Drug Discov. 2010. V. 9. P. 589–590. https://doi.org/10.1038/nrd3226
- Nizamov I.S., Al’metkina L.A., Gabdullina G.T., Sha-milo, R.R., Sofronov A.V., Nikitina L.E., Lisovskaya S.A., Glushko N.I., Cherkasov R.A. // Russ. Chem. Bull. 2012. V. 61. № 12. P. 2370–2371. https://doi.org/10.1007/s11172-012-0336-7
- Zielińska-Błajet M., Feder-Kubis J. // Int. J. Mol. Sci. 2020. V. 21. № 19. P. 7078. https://doi.org/10.3390/ijms21197078
- Salakhutdinov N.F., Volcho K.P., Yarovaya O.I. // Pure Appl. Chem. 2017. V. 89. № 8. P. 1105–1117. https://doi.org/10.1515/pac-2017-0109
- Do Amaral J.F., Silva M.I.G., Neto M.R.A., Neto P.F.T., Moura B.A., de Melo C.T.V., de Araujo F.L.O., de Sousa D.P., de Vasconcelos P.F., de Vasconcelos S.M.M., de Sou-sa F.C.F. // Biol. Pharm. Bull. 2007. V. 30. P. 1217–1220. https://doi.org/10.1248/bpb.30.1217
- Kaimoto T., Hatakeyama Y., Takahashi K., Imagawa T., Tominaga M., Ohta T. // Eur. J. Pain. 2016. V. 20. P. 1155–1165. https://doi.org/10.1002/ejp.840
- Lima D.F., Brandão M.S., Moura J.B., Leitão J.M.R.S., Carvalho F.A.A., Miúra L.M.C.V., Leite J.R.S.A., Sou-sa D.P., Almeida F.R.C. // J. Pharmacy Pharmacol. 2012. V. 64. P. 283–292. https://doi.org/10.1111/j.2042-7158.2011.01401.x
- Him A., Ozbek H., Turel I., Oner A.C. // Pharmacologyonline. 2008. V. 3. P. 363–369.
- Asanova Zh.K., Suleimenov E.M., Atazhanova G.A., Dembitskii A.D., Pak R.N., Dar A., Adekenov S.M. // Pharm. Chem. J. 2003. V. 37. P. 28–30. https://doi.org/10.1023/A:1023699012354
- Li Z., Zhang H., Wang Y., Li Y., Li Q., Zhang L. // Front. Mol. Neurosci. 2022. V. 15. 1006908.
- Andrade Próspero D.F., Reis Filho A.C., Piauilino C.A., Lopes E.M., de Sousa D.P., de Castro Almeida F.R. // Chem.-Biol. Interact. 2018. V. 293. P. 55–60. https://doi.org/10.1016/j.cbi.2018.07.019
- Peana A.T., De Montis M.G., Nieddu E., Spano M.T., D’Aquila P.S., Pippia P. // Eur. J. Pharmacol. 2004. V. 485. P. 165–174. https://doi.org/10.1016/j.ejphar.2003.11.066
- Brito R.G., Santos P.L., Prado D.S., Santana M.T., Araújo A.A.S., Bonjardim L.R., Santos M.R.V., de Lucca Júnior W., Oliveira A.P., Quintans-Júnior L.J. // Basic Clin. Pharmacol. Toxicol. 2013. V. 112. P. 215–221. https://doi.org/10.1111/bcpt.12018
- Santos P.L., Brito R.G., Oliveira M.A., Quintans J.S.S., Guimarães A.G., Santos M.R.V., Menezes P.P., Serafini M.R., Menezes I.R.A., Coutinho H.D.M., Araújo A.A.S., Quintans-Júnior L.J. // Phytomedicine. 2016. V. 23. P. 948–957. https://doi.org/10.1016/j.phymed.2016.06.007
- La Rocca V., da Fonsêca D.V., Silva-Alves K.S., Ferreira-da-Silva F.W., de Sousa D.P., Santos P.L., Quintans-Júnior L.J., Leal-Cardoso J.H., de Almeida R.N. // Basic Clin. Pharmacol. Toxicol. 2017. V. 120. P. 22–29. https://doi.org/10.1111/bcpt.12630
- Nishijima C.M., Ganev E.G., Mazzardo-Martins L., Martins D.F., Rocha L.R.M., Santos A.R.S., Hiruma-Lima C.A. // Eur. J. Pharmacol. 2014. V. 736. P. 16–25. https://doi.org/10.1016/j.ejphar.2014.04.029
- Nazimova E., Pavlova A., Mikhalchenko O., Il’ina I., Korchagina D., Tolstikova T., Salakhutdinov N. // Med. Chem. Res. 2016. V. 25. № 7. P. 1369–1383. https://doi.org/10.1007/s00044-016-1573-3
- Il’ina I.V., Korchagina D.V., Morozova E.A., Tolstikova T.G., Volcho K.P., Salakhutdinov N.F. // Russ. Chem. Bull. 2019. V. 68. № 5. P. 1061–1066. https://doi.org/10.1007/s11172-019-2520-5
- Il’ina I.V., Morozova E.A., Korchogina D.V., Volcho K.P., Tolstikova T.G., Salakhutdinov N.F. // Lett. Drug Des. Discov. 2020. V. 17. P. 68–78. https://doi.org/10.2174/1570180816666181114131220
- Li-Zhulanov N.S., Pavlova A.V., Korchagina D.V., Gatilov Yu.V., Volcho K.P., Tolstikova T.G., Salakhutdi-nov N.F. // Chem. Heterocycl. Compd. 2020. V. 56. № 7. P. 936–941. https://doi.org/10.1007/s10593-020-02753-x
- Sarmah B., Baishya G., Baruah R.K. // RSC Advances. 2014. V. 4. № 43. P. 22387–22397. https://doi.org/10.1039/c4ra02124j
- Sidorenko A.Yu., Li-Zhulanov N.S., Mäki-Arvela P., Sandberg T., Kravtsova A.V., Peixoto A.F., Freire C., Volcho K.P., Salakhutdinov N.F., Agabekov V.E., Mur-zin D.Yu. // ChemCatChem. 2020. V. 12. P. 2605–2609. https://doi.org/10.1002/cctc.202000070
- Khvostov M.V., Borisov S.A., Tolstikova T.G., Dushkin A.V., Tsyrenova B.D., Chistyachenko Yu.S., Polyakov N.E., Dultseva G.G., Onischuk A.A., An’kov S.V. // Eur. J. Drug Metab. Pharmacokinet. 2017. V. 42. P. 431–440.
- Eddy N.B., Leimbach D.J. // J. Pharmacol. Exp. Therap. 1953. V. 107. P. 385–393.
Дополнительные файлы

















